精密旋變數字轉換器測量角位置和速度
發布時間:2020-05-07 來源:Jakub Szymczak, Shane O’Meara, Johnny Gealon, 和 Christopher Nelson De La Rama 責任編輯:wenwei
【導讀】旋變器和機電傳感器可用來精確測量角位置,以可變耦合變壓器的方式工作,其初級繞組和兩個次級繞組之間的磁耦合量根據旋轉部件(轉子)位置而改變;轉子通常安裝在電機軸上。旋變器可部署在工業電機控製、伺服器、機器人、混hun合he動dong力li和he全quan電dian動dong汽qi車che中zhong的de動dong力li係xi統tong單dan元yuan以yi及ji要yao求qiu提ti供gong精jing確que軸zhou旋xuan轉zhuan的de其qi他ta許xu多duo應ying用yong中zhong。旋xuan變bian器qi在zai這zhe些xie應ying用yong中zhong可ke以yi長chang期qi耐nai受shou嚴yan苛ke條tiao件jian,是shi惡e劣lie環huan境jing下xia軍jun用yong係xi統tong的de完wan美mei選xuan擇ze。
標(biao)準(zhun)旋(xuan)變(bian)器(qi)的(de)初(chu)級(ji)繞(rao)組(zu)位(wei)於(yu)轉(zhuan)子(zi)上(shang),兩(liang)個(ge)次(ci)級(ji)繞(rao)組(zu)位(wei)於(yu)定(ding)子(zi)上(shang)。而(er)另(ling)一(yi)方(fang)麵(mian),可(ke)變(bian)磁(ci)阻(zu)旋(xuan)變(bian)器(qi)的(de)轉(zhuan)子(zi)上(shang)無(wu)繞(rao)組(zu),其(qi)初(chu)級(ji)和(he)次(ci)級(ji)繞(rao)組(zu)均(jun)在(zai)定(ding)子(zi)上(shang),但(dan)轉(zhuan)子(zi)的(de)凸(tu)極(ji)(裸露極點)將次級正弦變化耦合至角位置。圖 1 顯示經典和可變磁阻旋變器。

圖 1. 經典旋變器與可變磁阻旋變器
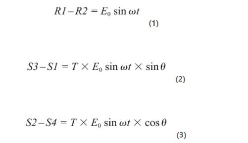
如等式 1 所示,當正弦信號激勵初級繞組R1 – R2時(shi),在(zai)次(ci)級(ji)繞(rao)組(zu)上(shang)會(hui)產(chan)生(sheng)一(yi)個(ge)感(gan)應(ying)信(xin)號(hao)。耦(ou)合(he)至(zhi)次(ci)級(ji)繞(rao)組(zu)的(de)信(xin)號(hao)大(da)小(xiao)與(yu)相(xiang)對(dui)於(yu)定(ding)子(zi)的(de)轉(zhuan)子(zi)位(wei)置(zhi)成(cheng)函(han)數(shu)關(guan)係(xi),其(qi)衰(shuai)減(jian)係(xi)數(shu)稱(cheng)為(wei)旋(xuan)變(bian)器(qi)轉(zhuan)換(huan)比(bi)。由(you)於(yu)次(ci)級(ji)繞(rao)組(zu)機(ji)械(xie)錯(cuo)位(wei) 90°,兩路正弦輸出信號彼此間的相位相差 90°。旋變器輸入和輸出電壓之間的關係如等式 2 和等式 3 所示。等式 2 為正弦信號,等式 3 為餘弦信號。

其中,θ是軸角,ω是激勵信號頻率, E0是激勵信號幅度, T是旋變器轉換比。
兩路輸出信號由軸角的正弦和餘弦信號調製。激勵信號以及正弦和餘弦輸出信號的圖示如圖 2 所示。正弦信號在 90°和 270°時具有最大幅度,餘弦信號在 0°和 180°時具有最大幅度。

圖 2. 旋變器電氣信號示意圖
旋變器傳感器有一組獨特的參數,在設計時應予以考慮。最重要的電氣參數以及相關的典型規格彙總在表 1 中。
表 1. 旋變器關鍵參數

旋變數字轉換器
采用正弦波參考信號激勵初級繞組會在次級繞組上產生兩路電磁感應差分輸出信號(正弦信號和餘弦信號)。旋變數字轉換器(RDC)在旋變器和係統微處理器之間實現接口,采用這些正弦和餘弦信號解碼電機軸的角位置和旋轉速度。
大部分RDC使用Type-II跟蹤環路計算位置和速度。Type-II環路采用二階濾波器,確保靜止或恒定速度輸入信號的穩態誤差為零。RDC對兩路輸入信號進行同步采樣,為跟蹤環路 提供數字化數據。使用這類環路的RDC最新實例,是ADI的完整 10 位至 16 位跟蹤轉換器AD2S1210其片內可編程正 弦振蕩器提供初級繞組的激勵信號。
如表 1 所示,典型旋變器需要一個低阻抗的 3 V rms至 7 V rms信號,才能驅動初級繞組。RDC采用 5 V電源供電,提供典型值為 7.2 V p-p差分信號的激勵輸出。該信號的幅度和驅動能力無法滿足旋變器的輸入規格。此外,旋變器最高可將信號衰減 5 倍,因此旋變器輸出幅度不符合RDC輸入幅度要 求,如表 2 所示。
對此問題的一種解決方案是使用差分放大器增壓初級端的正弦信號。該放大器必須要能夠驅動低至 100 Ω的負載。常 見的做法是以大信號驅動初級端,以獲得良好的信噪比。隨後,便能以電阻分壓器衰減輸出正弦和餘弦信號。
在很多工業和汽車應用中,噪聲環境下使用RDC會使正弦和餘弦線路上感應高頻噪聲。為了解決這一問題,應盡可能靠近RDC放置一個簡單的差分低通濾波器。圖 3 顯示集成放大 器和濾波器的典型旋變數字轉換器接口。

圖 3. 典型旋變係統框圖
工作原理
圖 4 顯示RDC的工作框圖。轉換器通過產生一個輸出角ϕ連續跟蹤軸角θ,然後將其反饋並與輸入角進行比較。當轉換器跟蹤位置時,兩個角度之間的誤差最小。

圖 4. AD2S1210 工作原理圖
為了測量誤差,將正弦和餘弦輸入分別乘以(ϕ)和sin(ϕ) :

然後,求兩者之差:
最後,使用內部產生的合成基準解調信號:
對於較小的角度誤差(θ – ϕ),運用三角恒等式E0 (sin θ cos ϕ – cos θ sin ϕ) = E0 sin (θ – ϕ),即大致等於 E0 (θ – ϕ) 。 E0 (θ – ϕ)是轉 子角度誤差和轉換器數字角度輸出之差。Type-II跟蹤環路消除了誤差信號。完成該操作後,ϕ等於旋轉角θ 。
RDC 重要參數
選擇合適的器件之前,工程師必須考慮表征旋變數字轉換器的一係列參數。表 2 顯示AD2S1210 的RDC重要參數和規格,這些參數和規格奠定了同類一流轉換器的基礎。
表 2. AD2S1210 的RDC重要參數和數值

誤差源
完整係統的精度由RDC精度,以及旋變器、係統架構、線纜、激勵緩衝器和正弦/餘弦輸入電路的誤差所確定。最常見的係統誤差來源是幅度失配、信號相移、失調和加速。
幅度失配是正弦和餘弦信 號達到峰值幅度(餘弦為 0°和180°,正弦為 90°和 270°)時,它們的峰峰值幅度之差。失配可以是旋變器繞組的變化產生的,也可以是旋變器和RDC 正弦/餘弦輸入之間的增益產生的。等式 3 可以重新改寫為:
其中,δ是餘弦信號相對於正弦信號的幅度失配百分比。靜態位置誤差ε以弧度表示,定義如下:
等式 9 顯示幅度失配誤差以轉速的兩倍振蕩,δ/2 最大值等於 45°的奇數倍,並且在 0°、90°、180°和 270°時無誤差。對於 12 位RDC而言,0.3%幅度失配將產生大約 1 LSB的誤差。
RDC可接受來自旋變器的差分正弦和餘弦信號。旋變器移除載波上的所有直流分量,因此必須添加一個VREF/2 直流偏置,以確保對於RDC而言,旋變器輸出信號在正常工作範圍內。SIN和SINLO輸入或COS和COSLO輸入之間的任何直流偏置失調都會引起額外的係統誤差。
在正弦和餘弦信號載波相互反相的象限內,共模失調引起的誤差更嚴重。當位置範圍為 90°至 180°,以及 270°至 360°時,就會出現這種情況,如圖 5 所示。兩端點之間的共模電壓會使差分信號產生兩倍於共模電壓的失調。RDC是比率式 的,因此輸入信號幅度感知變化會導致位置產生誤差。

圖 5. 旋變器象限
圖 6 顯示哪怕正弦和餘弦信號的差分峰峰值幅度相等,輸入信號的感知幅度也有所不同。在 135°和 315°時,誤差最大。在 135°時,理想係統中A = B,但存在失調時 A ≠ B ,因此產生了感知幅度失配。

圖 6. 直流偏置失調
誤wu差cha的de另ling一yi個ge來lai源yuan是shi差cha分fen相xiang移yi,即ji旋xuan變bian器qi正zheng弦xian和he餘yu弦xian信xin號hao之zhi間jian的de相xiang移yi。受shou耦ou合he影ying響xiang,所suo有you旋xuan變bian器qi上shang都dou會hui出chu現xian一yi些xie差cha分fen相xiang移yi。隻zhi要yao存cun在zai微wei小xiao的de旋xuan變bian殘can餘yu電dian壓ya或huo正zheng交jiao電dian壓ya,即ji表biao示shi出chu現xian較jiao小xiao的de差cha分fen相xiang移yi。如ru果guo正zheng弦xian和he餘yu弦xian信xin號hao線xian路lu的de電dian纜lan長chang度du不bu等deng,或huo者zhe驅qu動dong不bu同tong的de負fu載zai,也ye會hui產chan生sheng相xiang移yi。
餘弦信號相對正弦信號的差分相位可以表示為:
其中,α是差分相移。
求解αα 引起的誤差,便可得到誤差項ε:
其中,α和ε的單位為弧度。
大部分旋變器還會在激勵參考信號和正弦/餘弦信號之間產生相移,導致額外的誤差ε
其中,β是正弦/餘弦信號和激勵參考信號之間的相移。
通過選擇具有較小殘餘電壓的旋變器、確保正弦和餘弦信號采取完全相同的處理方式並消除參考相移,則可將此誤差降 至最小。
在(zai)靜(jing)態(tai)工(gong)作(zuo)條(tiao)件(jian)下(xia),激(ji)勵(li)基(ji)準(zhun)信(xin)號(hao)和(he)信(xin)號(hao)線(xian)之(zhi)間(jian)的(de)相(xiang)移(yi)不(bu)會(hui)影(ying)響(xiang)轉(zhuan)換(huan)器(qi)精(jing)度(du),但(dan)由(you)於(yu)轉(zhuan)子(zi)阻(zu)抗(kang)和(he)目(mu)標(biao)信(xin)號(hao)的(de)無(wu)功(gong)分(fen)量(liang),運(yun)動(dong)中(zhong)的(de)旋(xuan)變(bian)器(qi)會(hui)產(chan)生(sheng)速(su)度(du)電(dian)壓(ya)。速(su)度(du)電(dian)壓(ya)位(wei)於(yu)目(mu)標(biao)信(xin)號(hao)象(xiang)限(xian)內(nei),它(ta)僅(jin)在(zai)運(yun)動(dong)時(shi)產(chan)生(sheng),在(zai)靜(jing)態(tai)角(jiao)度(du)下(xia)並(bing)不(bu)存(cun)在(zai)。其(qi)最(zui)大(da)幅(fu)度(du)為(wei):
(13)在實際旋變器中,轉子繞組同時含有無功和阻性分量。當轉子存在速度但又處於靜止狀態時,阻性分量會在參考激勵中 產生非零相移。激勵的非零相移與速度電壓共同導致跟蹤誤差,可近似計算如下:
為了補償旋變器參考激勵和正弦/餘弦信號之間的相位誤差,AD2S1210 采用內部濾波後的正弦和餘弦信號來合成與參考 頻率載波相位一致的內部參考信號。它通過確定正弦或餘弦(取較大者,以改善相位精度)的過零並評估旋變器參考激勵相位,便可降低參考信號和正弦/餘弦輸入信號之間的相移至 10°以內,並在±44°相移情況下工作。合成參考模塊的框圖如圖 7 所示。

圖 7. 合成參考
相比Type-I環路,Type-IIgenzonghuanludeyoushishihengdingsuduxiabuhuichanshengweizhiwucha。raner,napazaiwanmeipinghengdexitongzhong,jiasuduyehuichanshengwuchaxiang。jiasuduchanshengdewuchaliangyoukongzhihuanluxiangyingqueding。tu 8 顯示AD2S1210 的環路響應。

圖 8. AD2S1210 環路響應
環路加速度常數KaKa可以表示為:
其中,環路係數隨分辨率、輸入信號幅度和采樣周期的變化而改變。AD2S1210 在每個CLKIN周期中進行兩次采樣。
表 3. RDC係統響應參數

加速度產生的跟蹤誤差便可計算如下:
(16)圖 9 顯示不同分辨率設置下的角度誤差與加速度的關係。

圖 9. 角度誤差與加速度的關係
輸入濾波器
為獲得最佳的係統精度,可將旋變器輸出直接連接至AD2S1210 SIN、COS、SINLO和COSLO引腳,減少失配或相移。但是,該方法並非始終有效。可能需要衰減旋變器的正弦和餘弦信號,以匹配RDC的輸入規格;由於環境噪聲幹擾嚴重,可能需要對信號進行過濾,並且旋變器的連接器還可能需要提供ESD或短路保護。
圖 10 顯示旋變器和AD2S1210 之間的典型接口電路。串聯電阻和二極管提供適當的保護,降低外部事件(如ESD或電源/接地短路)的(de)能(neng)量(liang)。這(zhe)些(xie)電(dian)阻(zu)和(he)電(dian)容(rong)部(bu)署(shu)了(le)低(di)通(tong)濾(lv)波(bo)器(qi),可(ke)以(yi)減(jian)少(shao)由(you)於(yu)驅(qu)動(dong)電(dian)機(ji)而(er)耦(ou)合(he)至(zhi)旋(xuan)變(bian)器(qi)輸(shu)入(ru)端(duan)的(de)高(gao)頻(pin)噪(zao)聲(sheng)。可(ke)能(neng)還(hai)需(xu)要(yao)衰(shuai)減(jian)旋(xuan)變(bian)器(qi)的(de)正(zheng)弦(xian)和(he)餘(yu)弦(xian)輸(shu)入(ru)信(xin)號(hao),以(yi)便(bian)符(fu)合(he)RDC的輸 入電壓規格 。這可以 通過添加 一個電阻 RA來實現。 AD2S1210 集成內部偏置電路,可將SIN、SINLO、COS和COSLO偏置為VREF/2。該微弱的偏置可輕鬆過載,一種簡單的實現方法是采用 47 kΩ電阻RB,它可將信號偏置為 2.5 V。

圖 10. 接口電路
激勵緩衝器
通tong常chang需xu要yao使shi用yong緩huan衝chong器qi來lai驅qu動dong旋xuan變bian器qi的de低di阻zu抗kang輸shu入ru。有you很hen多duo種zhong方fang法fa可ke以yi部bu署shu該gai激ji勵li緩huan衝chong器qi,本ben文wen介jie紹shao其qi中zhong的de兩liang種zhong方fang法fa。第di一yi種zhong電dian路lu常chang用yong於yu汽qi車che和he工gong業ye設she計ji中zhong,第di二er種zhong電dian路lu以yi高gao輸shu出chu電dian流liu放fang大da器qi代dai替ti標biao準zhun推tui挽wan式shi架jia構gou,簡jian化hua了le設she計ji。
11 所示之高電流驅動器可放大參考振蕩器的輸出,並對其進行電平轉換操作。驅動器使用雙通道、低噪聲、精密運算放大器AD8662,以及一個分立式發射極跟隨器輸出級。緩衝器翻版電路提供全差分信號,驅動旋變器的初級繞組。

圖 11. 使用運算放大器 AD8662 的高電流參考緩衝器(具有推挽式輸出)
該高電流緩衝器提供針對標準旋變器優化的驅動能力、增益範圍和帶寬,可進行調節以便滿足特定應用和傳感器的要求,但其複雜的設計帶來了一係列缺點,比如元件數、PCB尺寸、成本和進行修改以滿足特定應用所需的工程設計時間。
通過采用放大器代替AD8662,可以優化該設計;放大器提供直接驅動旋變器所需的高輸出電流,簡化了設計,無需使用推挽級。
圖 12 中的高電流驅動器采用高電流雙通道運算放大器AD8397該器件具有軌到軌輸出,可以放大參考振蕩器輸出信號並對其進行電平轉換,優化旋變器接口。AD8397 具有低失真、高輸出電流和寬動態範圍特性,非常適合與旋變器一同使用。在 32 Ω負載情況下,該器件具有 310 mA電(dian)流(liu)能(neng)力(li),無(wu)需(xu)使(shi)用(yong)傳(chuan)統(tong)的(de)推(tui)挽(wan)級(ji)便(bian)可(ke)為(wei)旋(xuan)變(bian)器(qi)提(ti)供(gong)所(suo)需(xu)的(de)電(dian)源(yuan),從(cong)而(er)簡(jian)化(hua)驅(qu)動(dong)器(qi)電(dian)路(lu),並(bing)降(jiang)低(di)功(gong)耗(hao)。翻(fan)版(ban)電(dian)路(lu)提(ti)供(gong)全(quan)差(cha)分(fen)信(xin)號(hao),驅(qu)動(dong)初(chu)級(ji)繞(rao)組(zu)。AD8397采用 8 引腳SOIC封裝,額定工作溫度 為–40°C至+125°C擴展工業溫度範圍。

圖 12. 基於運算放大器 AD8397 的高電流參考緩衝器
可以修改無源元件值,以改變輸出幅度和共模電壓;輸出幅度由放大器增益R2/R1設置,而共模電壓由R3 和 R4設置
電容C1和電阻R2組成低通濾波器,最大程度降低EXC和EXC輸出端的噪聲。應當以最大程度降低載波的相移為標準選擇電容。激勵輸出和正弦/餘弦輸入之間的總相移不應超過RDC的鎖相範圍。電容為可選元件,因為經典旋變器可以很好地過濾高頻分量。
圖 13 顯示AD8397 參考緩衝器與傳統推挽電路的對比。FFT分析儀測量AD2S1210 激勵信號的基波和諧波功率。

圖 13. 緩衝器 AD8397與推挽緩衝器 AD8662
在兩種配置中,基波功率幾乎沒有差異,但緩衝器AD8397的諧波更低。雖然AD8397 電路的失真略低,但兩個緩衝器的性能相當。相比傳統電路,省略推挽級可以簡化設計、減 少空間並降低功耗。
結論
與旋變數字轉換器AD2S1210 一同使用時,旋變器可以為電 機控製應用的位置和速度測量提供高精度、性能穩定的控製 係統。為了獲得最佳的整體性能,需要使用基於AD8662 或 AD8397 的緩衝器電路以放大激勵信號,同時提供旋變器所 需的驅動強度。為了使係統更為完整,可以按需采用基本輸 入電路提供信號調理。如同所有混合信號機電一體化信號 鏈,設計精確係統時必須十分仔細地考慮到所有誤差來源。 AD2S1210 具有可變的分辨率,可以生成參考信號,並集成 片內診斷功能,是旋變器應用的理想RDC解決方案。該器件同時提供工業級和汽車級產品。
參考電路
Circuit Note CN-0276。 高性能、10位至16位旋變數字轉換器.
CN-0192,參考電路。 用於AD2S1210旋變數字參考信號輸出的高電流驅動器.
推薦閱讀:
特別推薦
- 噪聲中提取真值!瑞盟科技推出MSA2240電流檢測芯片賦能多元高端測量場景
- 10MHz高頻運行!氮矽科技發布集成驅動GaN芯片,助力電源能效再攀新高
- 失真度僅0.002%!力芯微推出超低內阻、超低失真4PST模擬開關
- 一“芯”雙電!聖邦微電子發布雙輸出電源芯片,簡化AFE與音頻設計
- 一機適配萬端:金升陽推出1200W可編程電源,賦能高端裝備製造
技術文章更多>>
- 算力爆發遇上電源革新,大聯大世平集團攜手晶豐明源線上研討會解鎖應用落地
- 築基AI4S:摩爾線程全功能GPU加速中國生命科學自主生態
- 一秒檢測,成本降至萬分之一,光引科技把幾十萬的台式光譜儀“搬”到了手腕上
- AI服務器電源機櫃Power Rack HVDC MW級測試方案
- 突破工藝邊界,奎芯科技LPDDR5X IP矽驗證通過,速率達9600Mbps
技術白皮書下載更多>>
- 車規與基於V2X的車輛協同主動避撞技術展望
- 數字隔離助力新能源汽車安全隔離的新挑戰
- 汽車模塊拋負載的解決方案
- 車用連接器的安全創新應用
- Melexis Actuators Business Unit
- Position / Current Sensors - Triaxis Hall
熱門搜索





