詳解反激式變壓器開關電源
發布時間:2019-03-05 責任編輯:lina
【導讀】反激式開關電(dian)源(yuan)輸(shu)出(chu)整(zheng)流(liu)濾(lv)波(bo)電(dian)路(lu)原(yuan)理(li)上(shang)是(shi)最(zui)簡(jian)單(dan)的(de)。但(dan)是(shi),由(you)於(yu)反(fan)激(ji)式(shi)開(kai)關(guan)電(dian)源(yuan)的(de)能(neng)量(liang)傳(chuan)遞(di)必(bi)須(xu)通(tong)過(guo)變(bian)壓(ya)器(qi)轉(zhuan)換(huan)實(shi)現(xian),並(bing)壓(ya)器(qi)的(de)初(chu)次(ci)級(ji)兩(liang)側(ce)的(de)開(kai)關(guan)(MOSFET或整流二極管)均工作在電流斷續狀態。
反激式變壓器開關電源工作原理比較簡單,輸出電壓控製範圍比較大,因此,在一般電器設備中應用最廣。
fanjishikaiguandianyuanshuchuzhengliulvbodianluyuanlishangshizuijiandande。danshi,youyufanjishikaiguandianyuandenengliangchuandibixutongguobianyaqizhuanhuanshixian,bingyaqidechucijiliangcedekaiguan(MOSFET或整流二極管)均工作在電流斷續狀態。在相同輸出功率條件下,反激式開關電源的開關流過的電流峰值和有效值大於正激式、橋式、推挽式開關電源。為了獲得更低的輸出電壓尖峰,通常的反激式開關電源工作在電感電流(變壓器儲能)斷續狀態,這就進一步增加了開關元件的電流額定。
kaiguandianyuandedianlutuopuduishuchuzhengliulvbodianrongqiyingxiangyeshifeichangdade,youyufanjishikaiguandianyuandeshuchudianliuduanxuxing,qijiaoliufenliangxuyaoyoushuchuzhengliulvbodianrongqixishou,dangdiangandianliuduanxushishuchuzhengliulvbodianrongqidexuyaoxishoudewenbodianliuxiangduizuida。
對應的輸出整流二極管的電流波形如圖1,輸出濾波電容器的電流波形如圖2。

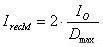
由圖1可以得到流過輸出整流二極管電流峰值與平均值、有效值的關係為如下。
流過輸出整流器的峰值電流與平均值電流的關係:
流過輸出整流器的有效值電流與峰值值電流的關係:
流過整流器的有效值電流與平均值電流的關係:
式中:IrecM、Irecrms、IO、Dmax分別為流過輸出整流器的峰值電流、有效值電流、平均值電流和輸出整流二極管的最大導通占空比。
流過輸出濾波電容器的電流有效值略小於流過輸出整流器的有效值電流。
式(1)、(2)、(3)表明,隨著輸出整流器導通占空比的減小,相同輸出電流平均值對應道德峰值電流、有效值電流隨占空比的減小而增加。
zaidaduoshuqingkuangxia,fanjishikaiguandianyuangongzuozaibianyaqidianliulinjiehuoduanxuzhuangtai。zaibianyaqidianliulinjiezhuangtaixia,chujicekaiguanguandaotongzhankongbiyushuchuzhengliuqidaotongzhankongbixiangjiawei1。
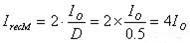
在大多數情況下,反激式開關電源的輸出整流器的最大導通占空比約為0.5。這樣,流過輸出整流器的電流峰值與輸出平均值電流之間的關係為:
有效值電流於輸出電流平均值的關係為:
特別推薦
- 噪聲中提取真值!瑞盟科技推出MSA2240電流檢測芯片賦能多元高端測量場景
- 10MHz高頻運行!氮矽科技發布集成驅動GaN芯片,助力電源能效再攀新高
- 失真度僅0.002%!力芯微推出超低內阻、超低失真4PST模擬開關
- 一“芯”雙電!聖邦微電子發布雙輸出電源芯片,簡化AFE與音頻設計
- 一機適配萬端:金升陽推出1200W可編程電源,賦能高端裝備製造
技術文章更多>>
- 貿澤EIT係列新一期,探索AI如何重塑日常科技與用戶體驗
- 算力爆發遇上電源革新,大聯大世平集團攜手晶豐明源線上研討會解鎖應用落地
- 創新不止,創芯不已:第六屆ICDIA創芯展8月南京盛大啟幕!
- AI時代,為什麼存儲基礎設施的可靠性決定數據中心的經濟效益
- 矽典微ONELAB開發係列:為毫米波算法開發者打造的全棧工具鏈
技術白皮書下載更多>>
- 車規與基於V2X的車輛協同主動避撞技術展望
- 數字隔離助力新能源汽車安全隔離的新挑戰
- 汽車模塊拋負載的解決方案
- 車用連接器的安全創新應用
- Melexis Actuators Business Unit
- Position / Current Sensors - Triaxis Hall
熱門搜索





