分析開關電源中斜坡補償電路與設計
發布時間:2018-12-07 責任編輯:lina
【導讀】kaiguandianyuanshiliyongxiandaidianlidianzijishu,kongzhikaiguanjingtiguandedaotongheguanduandeshijianbilv,weichishuchudianyawendingdeyizhongdianyuan,tahexianxingdianyuanxiangbi,juyouxiaolvgao、功率密度高、可以實現和輸人電網的電氣隔離等優點,被譽為離效節能電源M目前開關電源已經應用到了各個領域,尤其在大功率應用的場合,開關電源具有明顯的優勢。
引言
kaiguandianyuanshiliyongxiandaidianlidianzijishu,kongzhikaiguanjingtiguandedaotongheguanduandeshijianbilv,weichishuchudianyawendingdeyizhongdianyuan,tahexianxingdianyuanxiangbi,juyouxiaolvgao、功率密度高、可以實現和輸人電網的電氣隔離等優點,被譽為離效節能電源M目前開關電源已經應用到了各個領域,尤其在大功率應用的場合,開關電源具有明顯的優勢。
開關電源一般由脈衝寬度控製(PWM)IC、功率開關管、整流二極管和LC濾波電路構成。在中小功率開關電源中,功率開關管可以集成在PWM控製IC內nei。開kai關guan電dian源yuan按an反fan饋kui方fang式shi分fen為wei電dian壓ya模mo式shi和he電dian流liu模mo式shi。電dian流liu模mo式shi開kai關guan電dian源yuan因yin其qi突tu出chu的de優you點dian而er得de到dao了le快kuai速su的de發fa展zhan和he廣guang泛fan的de應ying用yong。但dan是shi電dian流liu模mo式shi的de結jie構gou決jue定ding了le它ta存cun在zai兩liang個ge缺que點dian:恒定峰值電流而非恒定平均電流引起的係統開環不穩定:占空比大於50%時係統的開環不穩定。
本文旨在從原理上分析傳統電流模式的缺陷及改進方案,之後分析一個實用的斜坡補償電路。
1.電流模式的原理分析
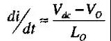
開關電源可以有很多種結構,但原理基本相似。圖1是電流模式降壓斬波fg(Buck)開關電源的原理圖。它和電壓模式的主要區別是增加了電流采樣電阻R3和電流放大器IA. R3的阻值一般很小,以避免大的功耗。功率管Ql在每個周期開始的時候開啟並維持一段時間Ton,通過濾波電感Lo對濾波電容C。充電、同時向負載提供電流,此時Lo上電流隨時間的變化率為

電感電流到達一定值後功率管關斷,二極管D1起續流和鉗位作用。設DI的導通壓降為VZ,則此時

RI和R2分壓後和Vπf 比較並放大,變為信號VEA;同時R3兩端的壓降經IA放大後變為信號VIA,當VIA高於VEA時(shi),相(xiang)關(guan)控(kong)製(zhi)電(dian)路(lu)將(jiang)控(kong)製(zhi)功(gong)率(lv)管(guan)關(guan)斷(duan),從(cong)而(er)達(da)到(dao)調(tiao)節(jie)占(zhan)空(kong)比(bi)的(de)目(mu)的(de)。通(tong)過(guo)實(shi)時(shi)地(di)調(tiao)節(jie)占(zhan)空(kong)比(bi),輸(shu)出(chu)電(dian)壓(ya)可(ke)以(yi)穩(wen)定(ding)在(zai)一(yi)個(ge)預(yu)先(xian)設(she)定(ding)的(de)值(zhi)。上(shang)述(shu)工(gong)作(zuo)過(guo)程(cheng)的(de)波(bo)形(xing)如(ru)圖(tu)2,實線表示連續工作模式,虛線表示不連續工作模式,其中Clock表示時鍾信號,VEA表示EA的輸出,VIA表示IA的輸出,IQ1是功率管的電流,ID1是二極管電流


電流模式由於采用了電壓一電流雙環控製顯著改善了開關電源的性能,主要表現在:
① 根本消除了Push-pull開kai關guan電dian源yuan存cun在zai的de磁ci通tong量liang失shi恒heng問wen題ti磁ci通tong量liang失shi恒heng會hui減jian弱ruo電dian感gan的de承cheng壓ya能neng力li,導dao致zhi功gong率lv管guan電dian流liu不bu斷duan增zeng大da並bing最zui終zhong燒shao毀hui。電dian流liu模mo式shi在zai每mei個ge周zhou期qi都dou限xian定ding功gong率lv管guan峰feng值zhi電dian流liu,能neng徹che底di杜du絕jue磁ci通tong量liang失shi恒heng.
② 電壓調整率顯著減小。當輸人電壓波動時圖1中的電流檢測電阻R3會立即檢測到峰值電流的變化,快速調整占空比,使輸出電壓穩定
③ 簡化了反饋電路的設計LC濾波電路在頻率達到共鳴頻率
後,相移會接近最大值180°,輸shu人ren到dao輸shu出chu的de增zeng益yi會hui隨sui著zhe頻pin率lv的de升sheng高gao而er迅xun速su減jian小xiao,這zhe就jiu增zeng加jia了le開kai關guan電dian源yuan反fan饋kui電dian路lu設she計ji的de複fu雜za程cheng度du在zai電dian流liu模mo式shi中zhong,濾lv波bo電dian感gan的de小xiao信xin號hao阻zu抗kang幾ji乎hu為wei零ling,這zhe樣yang就jiu隻zhi能neng產chan生sheng最zui大da90,相移,增益隨頻率升高而下降的速度也減小為實際LC濾波電路的一半。因此反饋電路的設計可以大幅簡化
④ 改善了負載調整率。在電流模式中,誤差放大器的帶寬更大,因而負載調整率更好。
2.電流模式的缺點
2.1恒定峰值電流引起的電感平均電流不恒定
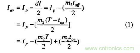
電流模式的實質是使電感平均電流跟隨誤差放大器輸出電壓VEAshedingdezhi,jikeyongyigehengliuyuanlaidaitidiangan,shizhenggexitongyouerjiejiangweiyijie。danzaichangyongdefengzhidianliumoshizhong,butongdezhankongbihuidaozhibutongdedianganpingjundianliu。zhekeyiyoupingjundianliudejisuanshikanchu:

其中Ip是峰值電流,dl是峰值電流和最小值的差值,T是時鍾周期,ton和toff分別為功率管開啟時間和關斷時間
如圖3所示,當由於某種原因使輸人電壓從Vdc1變化到Vdc2,電感電流的上升沿斜率將會變化(Vdc2-Vdc1)/Lo而下降沿斜率不變.占空比將從Dl變為D2,電感電流的平均值從Iav1變化到Iav2,這往往會導致輸出電壓在一段時間內振蕩

2.2 電感擾動電流引起的輸出振蕩
在輸入電壓不變的條件下,當由於某種外部原因使電感上的電流在一個下降沿結束時發生小的擾動AI,因為電流的上升沿和下降沿的斜率以及峰值電流都不變,所以在下一個周期結束後,這個擾動電流將被放大為

其中dt為發生擾動後導通時間的變化值,m1和m2分別為上升斜率和下降斜率。
從( 2)式可以看出,當占空比小於50%時,m2<m1,△I''<△I,即一個周期後擾動電流減弱。但是當占空比大於50%時,m2>m1,△I''>△I,即一個周期後擾動電流增強,如圖4所示。這同樣也會引起輸出電壓在一段時間內的振蕩

3.斜坡補償的原理分析
qianmianfenxidelianggebuwendingqingkuangshijishangdoushiyinweizhankongbigaibianyinqiledianganpingjundianliudebianhua,zuizhongdaozhishuchudianyazaiyiduanshijianneizhendang,youqidangzhankongbidayu50%時更加嚴重。如果能使係統在占空比足夠大的時候才發生上述不穩定現象,就相當於解決了這兩個問題。設圖1中電阻R3上的壓降為Vs,可以嚐試在Vs上疊加一個斜率為m,且在時鍾周期起點處等於零的電壓,則經IA放大後相當於在信號VIA上疊加了一個斜率為Avm的電壓。再設電感上有擾動電流AI,經IA放大為AvAI。由圖5可以證明,經過一個周期後這個擾動電流的值變為


把m1D=m2(1-D)代入(3)式得

要使擾動電流在第一個周期就減弱,必須要有

(5)式表明,在斜坡補償前,占空比達到50%後係統就開始不穩定,斜坡補償之後,隻要補償斜率m滿足式(5)的關係,係統始終是穩定的。
由此可見,隻要能確定電感電流下降沿的斜率m2和占空比D,就有可能設計出合適的斜坡補償電路,解決峰值電流控製型開關的輸出振蕩問題。
3.1 實際的斜坡補償電路分析
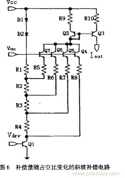
在電流模式PWM IC內部集成斜坡補償電路要比理論分析複雜得多,因為在不同應用情況下,(5)式中的m2和D也會不同,所以很難對所有可能的情況作最好的補償。由( 5)式 可以看出,開關電源穩定工作時占空比D和電感電流下降沿斜率m2越大,那麼它所需的斜坡補償的量也就越大。在連續工作模式中,D和m2都是由電路結構決定的。而在不連續工作模式中,D是隨負載變化的量,m2是由電路結構決定的。根據這個原理可以設計一個補償量隨占空比增大而增大,並且能夠適合一定範圍的m的斜坡補償電路,如圖6。其中Vcc是較穩定的電壓,約為2.3V,Vosc是PWM內部振蕩器輸出的鋸齒波,最小值和最大值分別為0.6V和1.7V, Vdrv是功率管的柵極控製信號,Iout是斜坡補償電流,輸出到電流采樣電阻(如圖1中的R3)的正端,從而在采樣電阻上疊加了一個電壓降,達到斜坡補償的目的。

鉗位二極管DI、D2,分壓電阻網絡RI,R 2.R 3和R4共同決定了Q5, Q6和Q7的開啟點當一個時鍾周期開始時,Vdrv由低變高,Q1管導通,同時Vosc從最小值開始以一定的斜率上升Q4、Q5, Q6和Q7先後開啟,這四個晶體管集電極電流的總和被由Q2, Q3, R9. R10構成的比例電流鏡鏡像後輸出到Iout。
設NPN晶體管的開啟閡值為VTn,D l和D2的正向導通壓降都為VD, Ql的C-E結壓降近似為零,則通過兩個二極管的電流為

因此Q4, Q5. Q6. Q7的開啟點分別為

其中Ib0、IQ50是Q6開啟時的二極管和Q5的電流,Ib1、IQ51、IQ60是Q7開啟時的二極管、Q5和Q6的電流。
Q2 的集電極電流為上述四個晶體管的集電極電流總和:

因為 Q4 ,Q5,Q 6和Q7是先後開啟的,所以補償電流在時間軸上的斜率dlout/dt將隨著Vosc的增大而增大,即斜坡補償的量隨占空比增大而增大。
功率管的導通時間結束時,Vdrv由高變低,Ql關斷,Iout隨即降為零。這樣可以減少不必要的係統功耗。
考慮不同應用情況下m2的變化範圍,計算(5)式就可以確定m隨D變化的曲線,再根據電流放大器IA的增益和振蕩器鋸齒波斜率計算可得各元件的尺寸。

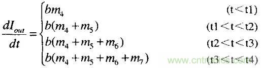
圖7是在選取了元件尺寸後計算機仿真波形。其中Vosc是理想化的鋸齒波,Iout是輸出的補償電流,IQ4、IQ5、IQ6、 IQ7分別是Q4, Q5, Q6和Q7的漏極電流,可以看到,為了在占空比小於50%的時候係統更加穩定,Q4在每個周期開始時就已經開啟,但是電流的斜率較小。隨著Vosc以恒定的斜率上升,將先後在t1, t2, t3時達到Q5, Q6和07的開啟點。設Q4, Q5, Q6, Q7開啟後的電流斜率分別為m4, m5, m6和m7,


設電流采樣電阻的阻值為RS,那麼疊加在該電阻上壓降的斜率為:

結論
本文分析了傳統電流模式開關電源的工作原理及其優劣,從原理上解釋了電流模式在占空比大於50%後輸出不穩定的問題和解決的方法。在此基礎上本文分析了一個實用的斜坡補償電路結構並詳細分析了其工作過程。通過HSPICE的仿真分析,得到了預期的結果,證明了該電路的可行性。
特別推薦
- 噪聲中提取真值!瑞盟科技推出MSA2240電流檢測芯片賦能多元高端測量場景
- 10MHz高頻運行!氮矽科技發布集成驅動GaN芯片,助力電源能效再攀新高
- 失真度僅0.002%!力芯微推出超低內阻、超低失真4PST模擬開關
- 一“芯”雙電!聖邦微電子發布雙輸出電源芯片,簡化AFE與音頻設計
- 一機適配萬端:金升陽推出1200W可編程電源,賦能高端裝備製造
技術文章更多>>
- 築基AI4S:摩爾線程全功能GPU加速中國生命科學自主生態
- 一秒檢測,成本降至萬分之一,光引科技把幾十萬的台式光譜儀“搬”到了手腕上
- AI服務器電源機櫃Power Rack HVDC MW級測試方案
- 突破工藝邊界,奎芯科技LPDDR5X IP矽驗證通過,速率達9600Mbps
- 通過直接、準確、自動測量超低範圍的氯殘留來推動反滲透膜保護
技術白皮書下載更多>>
- 車規與基於V2X的車輛協同主動避撞技術展望
- 數字隔離助力新能源汽車安全隔離的新挑戰
- 汽車模塊拋負載的解決方案
- 車用連接器的安全創新應用
- Melexis Actuators Business Unit
- Position / Current Sensors - Triaxis Hall
熱門搜索
微波功率管
微波開關
微波連接器
微波器件
微波三極管
微波振蕩器
微電機
微調電容
微動開關
微蜂窩
位置傳感器
溫度保險絲
溫度傳感器
溫控開關
溫控可控矽
聞泰
穩壓電源
穩壓二極管
穩壓管
無焊端子
無線充電
無線監控
無源濾波器
五金工具
物聯網
顯示模塊
顯微鏡結構
線圈
線繞電位器
線繞電阻



