用Z源逆變器驅動無傳感器控製的無刷直流電機
發布時間:2018-07-25 來源:Ebby Darney Paulraj & Dora Aru 責任編輯:wenwei
【導讀】Z源逆變器(ZSI)是一種DC/AC轉換器,可以單級執行降壓和升壓功能。ZSI克服了傳統係統的概念和理論限製,可以在不使用DC/DC升壓轉換器或升壓變壓器的情況下提升DC輸入電壓。本文針對無傳感器控製的BLDC電機,提出了一種采用巧妙的隨機脈寬調製(RPWM)技術的ZSI驅動器,旨在提高BLDC電機驅動係統的性能。
Z源逆變器(ZSI)是一種DC-AC轉換器,可以單級執行降壓和升壓功能。ZSIdeyigeduteyoushishiqizhitongzhuangtai,zaizhezhongzhuangtaixia,tongqiaobidelianggekaiguankeyizaitongyishunjianjishidaotong。buxuyaosiqushijian,shuchushizhenyedadajiangdi,bushiyongLC濾波器就能提供更高的輸出。ZSI克服了傳統係統的概念和理論障礙及限製,在沒有DC-DC升壓轉換器或升壓變壓器的幫助下也可以提升DC輸入電壓。
永磁無刷直流(BLDC)電機由於其更高的效率、更大的功率重量比和更低的維護成本而被用於多種應用場合。梯形電動勢(EMF)BLDC電dian機ji需xu要yao轉zhuan子zi位wei置zhi信xin息xi以yi便bian為wei變bian頻pin器qi驅qu動dong排pai序xu。這zhe種zhong位wei置zhi信xin息xi通tong常chang是shi由you放fang置zhi在zai電dian機ji非fei驅qu動dong端duan的de三san個ge霍huo爾er效xiao應ying傳chuan感gan器qi產chan生sheng的de。但dan是shi,這zhe些xie對dui溫wen度du敏min感gan的de傳chuan感gan器qi不bu但dan會hui增zeng加jia電dian機ji成cheng本ben,而er且qie需xu要yao特te殊shu的de機ji械xie設she置zhi來lai安an裝zhuang固gu定ding。
本文旨在探討如何提高BLDC電機驅動係統的性能,為此提出了一種ZSI驅動方案,即采用巧妙的隨機脈寬調製(RPWM)技術來驅動無傳感器控製的BLDC電機。所提出的係統使用反電動勢(BEMF)感測進行位置估算,並且ZSI驅動可以提供更寬範圍的升壓電壓。針對ZSI-BLDC電機驅動,本文提出了一種迂回的雙隨機性簡單升壓脈寬調製(DTRSBPWM)技術,該方法能夠以四種初始載波實現兩種方式的隨機性。
其中兩個載波是正常和反向的固定頻率三角波,第三和第四載波是通過混沌頻率發生器及其逆變器獲得的變頻三角波。DTRSBPWM諧波功率分配方法要勝過簡單升壓PWM(SBPWM)方法。驅動係統的仿真研究是在MATLAB軟件上完成的,並且已經使用SPARTAN-6場可編程門陣列(FPGA)(XC6SLX45)器件進行了驗證。本文將重點討論輸出線電壓的總諧波失真(THD)、直流母線利用率,以及諧波擴展因子(HSF)。
ZSI工作原理
Z源逆變器是一種DC-AC轉換器,可以作為單級執行降壓和升壓功能。ZSI克服了傳統係統的概念和理論障礙及限製,在沒有DC-DC升壓轉換器或升壓變壓器的幫助下也可以提升DC輸入電壓。ZSI的工作原理可以分為四種模式。第一種模式是傳統的主動狀態(active state)moshi,jinibianqiqiaochongdangzhiliulianludedianliuyuan。dierzhongmoshishizhitongzhuangtaimoshi,jinibianqiqiaozailianggechuantongdelingshiliangzhiyizhonggongzuo,zhitongnibianqideshangxiasangeqijian。disanzhongmoshishifeizhitongmoshi,jidiangandianliuxiezhujiangdixiandianliudexiebo。disizhongmoshishichuantongdelingzhuangtai,jinibianqiqiaozaiqizhongdeyizhonglingzhuangtaixiagongzuo。
簡單升壓PWM
ZSI最常用的開關方法是簡單升壓PWM。這是一種簡單的辦法,隻需兩條直線來控製直通狀態。當三角波形高於上包絡線VP,或低於下包絡線VN 時,電路工作在直通狀態。其它情況下,它就像傳統的載波PWM一樣工作。在簡單升壓PWM期間,整個器件產生的電壓應力很高。
ZSI饋電式BLDC電機的無傳感器控製
ZSI的無傳感器控製如圖1所示,通過估算反電動勢的過零瞬間(來自端子電壓)和正確的換向瞬間,並饋送到ZSI電路,對BLDC電機進行無傳感器控製。電機的速度控製是通過一個比例積分控製器(PIC)來感應的,並與控製動作的參考速度進行比較。

圖1:ZSI饋電式BLDC電機的無傳感器控製。
建議的RPWM方法
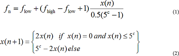
所提議的DTRSBPWM方法涉及兩個級別的隨機性,利用四個(兩組)三角載波來實現。三角載波是在混沌數字生成器的幫助下生成的。基於混沌的PWM的de基ji本ben原yuan理li是shi使shi用yong混hun沌dun信xin號hao來lai改gai變bian開kai關guan頻pin率lv或huo載zai波bo頻pin率lv。被bei限xian製zhi在zai一yi個ge預yu定ding範fan圍wei內nei的de混hun沌dun數shu被bei饋kui送song到dao三san角jiao波bo發fa生sheng器qi,該gai數shu目mu固gu定ding為wei當dang前qian載zai波bo周zhou期qi的de頻pin率lv並bing生sheng成cheng載zai波bo。載zai波bo的de數shu量liang和he頻pin率lv每mei個ge周zhou期qi都dou改gai變bian。我wo們men來lai深shen入ru探tan究jiu一yi下xia由you公gong式shi(1)描述的混沌序列。

其中,fn是混沌PWM的第n個開關頻率,混沌序列xn 可以簡單地通過迭代生成。因此,開關頻率可以從下限flow變化到上限fhigh。任意的周期性軌跡可以通過使用c的不同值得到。通過混沌序列獲得的典型三角載波如圖2所示。這種載波形式及其180º相移(反相器形式)被認為是第一組載波。

圖2:通過混沌序列的三角載波。
第二組載波是普通的三角波及其反相形式。雙隨機載波由偽隨機二進製序列(PRBS)表示。對於4×1多路複用器(MUX),如圖3所示,所有四個載波都作為輸入提供,周期選擇則由線性反饋移位寄存器(LFSR)中的兩個選擇位完成。多路複用器(MUX)的輸出是所需的隨機載波,與傳統的正弦PWM(SPWM)情況下的正弦參考值進行比較,以獲得脈衝。

圖3:DTRSBPWM發生器的邏輯示意圖。
仿真和實驗調查
仿真是在MATLAB-Simulink(版本2010a)軟件中用常微分方程(ODE)求解器ode23tb進行的。表1和表2分別列出了ZSI和BLDC電機的規格。混沌頻率限定在2kHz和4kHz之間。另外兩個載波分別是+3kHz和-3kHz。圖10顯示了無傳感器BLDC驅動係統的Simulink原理圖。

表I:ZSI的規格。

表2:無刷DC電機的規格。
圖4顯示了阻抗網絡電容和電感兩端的電壓。

圖4:電感和電容兩端的電壓。
圖5顯示了ZSI的輸出電壓。

圖5:ZSI的輸出波形。
預估的BEMF波形如圖6所示, A相電流和A相BEMF如圖7所示。

圖6:預估的BEMF波形。

圖7:定子波形。
圖8和圖9顯示了開發係統對電源電壓和負載轉矩階躍變化的抗幹擾性能。

圖8:電源電壓從 - 350 Vdc變化至300Vdc時的速度響應。

圖9:速度響應隨負載轉矩變化而變化。
在負載轉矩TL=1.5Nm的情況下,轉速從950變為1000rpm的速度響應如圖10所示。

圖10:轉速從950到1000rpm(TL=1.5Nm)時的速度響應。

表3:諧波傳播能力。
所提議的驅動係統可以使用SPARTAN-6現場可編程門陣列(XC6SLX45)器件實現。該架構使用VHDL語言進行設計,其功能仿真使用Modelsim 6.3工具進行。使用綜合工具Xilinx ISE 13.2可以完成寄存器傳輸級(RTL)驗證和實現。
本文提出的基於ZSI的BLDCdianjiqudonghewuchuanganqisudukongzhijuyouhenduoyoudian,budannenggoutishengzhiliudianyuandedianyabingtigaoxitongdeanquanxing,erqieshiyongyueliehuanjing,yinweitabuxuyaochuanganqihedaoxian。qitayoudianhaibaokuodichengben、小尺寸和少維護等。基於四個三角載波的新型隨機脈寬調製方案改進了係統的諧波功率擴展特性。在DTRSBPWM的情況下,HSF的值降低,從而可降低噪聲和機械振動。
本文轉載自電子技術設計。
推薦閱讀:
特別推薦
- 噪聲中提取真值!瑞盟科技推出MSA2240電流檢測芯片賦能多元高端測量場景
- 10MHz高頻運行!氮矽科技發布集成驅動GaN芯片,助力電源能效再攀新高
- 失真度僅0.002%!力芯微推出超低內阻、超低失真4PST模擬開關
- 一“芯”雙電!聖邦微電子發布雙輸出電源芯片,簡化AFE與音頻設計
- 一機適配萬端:金升陽推出1200W可編程電源,賦能高端裝備製造
技術文章更多>>
- 貿澤EIT係列新一期,探索AI如何重塑日常科技與用戶體驗
- 算力爆發遇上電源革新,大聯大世平集團攜手晶豐明源線上研討會解鎖應用落地
- 創新不止,創芯不已:第六屆ICDIA創芯展8月南京盛大啟幕!
- AI時代,為什麼存儲基礎設施的可靠性決定數據中心的經濟效益
- 矽典微ONELAB開發係列:為毫米波算法開發者打造的全棧工具鏈
技術白皮書下載更多>>
- 車規與基於V2X的車輛協同主動避撞技術展望
- 數字隔離助力新能源汽車安全隔離的新挑戰
- 汽車模塊拋負載的解決方案
- 車用連接器的安全創新應用
- Melexis Actuators Business Unit
- Position / Current Sensors - Triaxis Hall
熱門搜索
微波功率管
微波開關
微波連接器
微波器件
微波三極管
微波振蕩器
微電機
微調電容
微動開關
微蜂窩
位置傳感器
溫度保險絲
溫度傳感器
溫控開關
溫控可控矽
聞泰
穩壓電源
穩壓二極管
穩壓管
無焊端子
無線充電
無線監控
無源濾波器
五金工具
物聯網
顯示模塊
顯微鏡結構
線圈
線繞電位器
線繞電阻




