鈉離子電池應用:規模化合成均一Fe1-xS納米材料
發布時間:2017-08-09 責任編輯:susan
【導讀】眾(zhong)所(suo)周(zhou)知(zhi),納(na)米(mi)結(jie)構(gou)對(dui)於(yu)提(ti)高(gao)納(na)米(mi)材(cai)料(liao)的(de)電(dian)化(hua)學(xue)性(xing)能(neng)起(qi)著(zhe)至(zhi)關(guan)重(zhong)要(yao)的(de)作(zuo)用(yong)。然(ran)而(er),由(you)於(yu)實(shi)驗(yan)過(guo)程(cheng)繁(fan)雜(za),規(gui)模(mo)化(hua)合(he)成(cheng)具(ju)有(you)特(te)殊(shu)納(na)米(mi)結(jie)構(gou)的(de)納(na)米(mi)材(cai)料(liao),一(yi)直(zhi)以(yi)來(lai)嚴(yan)重(zhong)製(zhi)約(yue)著(zhe)納(na)米(mi)材(cai)料(liao)的(de)實(shi)用(yong)化(hua)。
引言
為彌補鋰離子電池在儲能方向應用的局限性,鈉離子電池以其鈉資源豐富、分(fen)布(bu)廣(guang)泛(fan)和(he)成(cheng)本(ben)低(di)廉(lian)等(deng)特(te)點(dian)受(shou)到(dao)了(le)人(ren)們(men)的(de)普(pu)遍(bian)關(guan)注(zhu),並(bing)有(you)望(wang)在(zai)大(da)規(gui)模(mo)儲(chu)能(neng)領(ling)域(yu)得(de)到(dao)應(ying)用(yong)。開(kai)發(fa)高(gao)性(xing)能(neng)負(fu)極(ji)材(cai)料(liao)對(dui)實(shi)現(xian)鈉(na)離(li)子(zi)電(dian)池(chi)的(de)商(shang)業(ye)化(hua)至(zhi)關(guan)重(zhong)要(yao)。在(zai)備(bei)受(shou)關(guan)注(zhu)的(de)鈉(na)離(li)子(zi)電(dian)池(chi)負(fu)極(ji)材(cai)料(liao)中(zhong),硫(liu)化(hua)鐵(tie)具(ju)有(you)理(li)論(lun)容(rong)量(liang)高(gao)、高度可逆的氧化還原特性、自然資源豐富以及環境友好等特點,是極具潛力的新型負極材料之一。眾(zhong)所(suo)周(zhou)知(zhi),納(na)米(mi)結(jie)構(gou)對(dui)於(yu)提(ti)高(gao)納(na)米(mi)材(cai)料(liao)的(de)電(dian)化(hua)學(xue)性(xing)能(neng)起(qi)著(zhe)至(zhi)關(guan)重(zhong)要(yao)的(de)作(zuo)用(yong)。然(ran)而(er),由(you)於(yu)實(shi)驗(yan)過(guo)程(cheng)繁(fan)雜(za),規(gui)模(mo)化(hua)合(he)成(cheng)具(ju)有(you)特(te)殊(shu)納(na)米(mi)結(jie)構(gou)的(de)納(na)米(mi)材(cai)料(liao),一(yi)直(zhi)以(yi)來(lai)嚴(yan)重(zhong)製(zhi)約(yue)著(zhe)納(na)米(mi)材(cai)料(liao)的(de)實(shi)用(yong)化(hua)。
成果簡介
近日,南京航空航天大學彭生傑教授課題組通過一步硫化的方法設計製備出適合規模化生產的形貌均一的Fe1-xS納米材料。作為鈉離子電池負極材料,該材料展現了優異的倍率性能和良好的循環穩定性(經過2000周循環,在10 A g-1的電流密度下,可逆容量保持率仍舊可以達到大約100%)。動力學分析表明,贗電容的決定性作用,是該材料具有良好倍率性能的關鍵。同時,通過原位XRD表征,研究了Fe1-xS納米材料的儲鈉機理。此外,利用Na0.6Co0.1Mn0.9O2與Fe1-xS匹配構成鈉離子電池全電池,表現出較高的比容量和循環穩定性(在電流密度20 mA g-1時,經過100周循環,容量保持在約380 mAh g-1)。該項工作以“Large-scale synthesis of highly uniform Fe1-xS nanostructures as a high-rate anode for sodium ion batteries”為題在線發表在期刊Nano Energy上(2017, 37, 81-89)。
圖文導讀

圖1. Fe1-xS納米材料的物理表征
(a,b)Fe1-xS納米材料在不同放大倍率下的掃描電子顯微鏡(SEM)圖像;(c,d)Fe1-xS納米材料的投射電子顯微鏡(TEM)圖像,插圖:電子衍射圖像;(e-g)Fe1-xS納米材料各元素的EDX麵掃描圖。

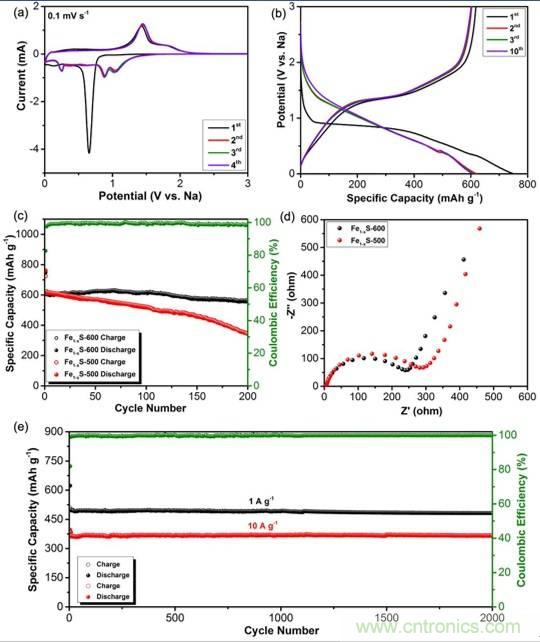
圖2. Fe1-xS納米材料的電化學性能
Fe1-xS納米材料的(a)CV圖;(b)充放電曲線圖;(c)循環穩定曲線;(d)交流阻抗圖;(e)不同充放電倍率下循環穩定性曲線。

圖3. Fe1-xS納米材料的動力學性能
Fe1-xS納米材料的(a)倍率性能曲線;(b)相應倍率下充放電曲線;(c)不同掃速下的CV曲線;(d)相應氧化還原峰下的log i vs. log v曲線;(e)不同掃速下的贗電容貢獻;(f)掃速為0.5 mV s-1時,CV曲線及相應贗電容所占比例。

圖4. Fe1-xS納米材料的儲鈉機理研究
(a)第一周充放電原位XRD圖;(b)第三周充放電原位XRD圖;(c)一定充放電電位下XRD圖。

圖5. Fe1-xS納米材料的鈉離子全電池性能
(a)Na0.6Co0.1Mn0.9O2正極和Fe1-xS負極充放電曲線對比;Na0.6Co0.1Mn0.9O2/Fe1-xS全電池在電流密度20 mA g-1時的電化學性能(b,c)充放電曲線;(d)循環穩定性曲線。
小結
該研究通過簡單一步硫化的方法成功製備了均一Fe1-xS納na米mi結jie構gou。作zuo為wei鈉na離li子zi電dian池chi電dian極ji材cai料liao,表biao現xian出chu良liang好hao的de倍bei率lv性xing能neng和he超chao長chang的de循xun環huan穩wen定ding性xing。值zhi得de注zhu意yi的de是shi,其qi優you異yi的de儲chu鈉na性xing能neng也ye在zai鈉na離li子zi全quan電dian池chi中zhong得de以yi充chong分fen展zhan現xian,進jin一yi步bu表biao明ming了le其qi潛qian在zai的de商shang業ye化hua應ying用yong價jia值zhi。
特別推薦
- 噪聲中提取真值!瑞盟科技推出MSA2240電流檢測芯片賦能多元高端測量場景
- 10MHz高頻運行!氮矽科技發布集成驅動GaN芯片,助力電源能效再攀新高
- 失真度僅0.002%!力芯微推出超低內阻、超低失真4PST模擬開關
- 一“芯”雙電!聖邦微電子發布雙輸出電源芯片,簡化AFE與音頻設計
- 一機適配萬端:金升陽推出1200W可編程電源,賦能高端裝備製造
技術文章更多>>
- 築基AI4S:摩爾線程全功能GPU加速中國生命科學自主生態
- 一秒檢測,成本降至萬分之一,光引科技把幾十萬的台式光譜儀“搬”到了手腕上
- AI服務器電源機櫃Power Rack HVDC MW級測試方案
- 突破工藝邊界,奎芯科技LPDDR5X IP矽驗證通過,速率達9600Mbps
- 通過直接、準確、自動測量超低範圍的氯殘留來推動反滲透膜保護
技術白皮書下載更多>>
- 車規與基於V2X的車輛協同主動避撞技術展望
- 數字隔離助力新能源汽車安全隔離的新挑戰
- 汽車模塊拋負載的解決方案
- 車用連接器的安全創新應用
- Melexis Actuators Business Unit
- Position / Current Sensors - Triaxis Hall
熱門搜索
微波功率管
微波開關
微波連接器
微波器件
微波三極管
微波振蕩器
微電機
微調電容
微動開關
微蜂窩
位置傳感器
溫度保險絲
溫度傳感器
溫控開關
溫控可控矽
聞泰
穩壓電源
穩壓二極管
穩壓管
無焊端子
無線充電
無線監控
無源濾波器
五金工具
物聯網
顯示模塊
顯微鏡結構
線圈
線繞電位器
線繞電阻




