POL調節器中的輸入紋波和噪聲的來源是什麼?
發布時間:2016-09-14 責任編輯:wenwei
【導讀】POL調(tiao)節(jie)器(qi)上(shang)的(de)輸(shu)入(ru)濾(lv)波(bo)器(qi)可(ke)發(fa)揮(hui)兩(liang)項(xiang)重(zhong)要(yao)的(de)作(zuo)用(yong),一(yi)個(ge)作(zuo)用(yong)是(shi)防(fang)止(zhi)開(kai)關(guan)電(dian)源(yuan)產(chan)生(sheng)的(de)電(dian)磁(ci)幹(gan)擾(rao)到(dao)達(da)電(dian)力(li)線(xian)和(he)影(ying)響(xiang)其(qi)它(ta)設(she)備(bei),第(di)二(er)個(ge)作(zuo)用(yong)是(shi)保(bao)護(hu)轉(zhuan)換(huan)器(qi)及(ji)其(qi)負(fu)載(zai)以(yi)避(bi)免(mian)輸(shu)入(ru)電(dian)壓(ya)中(zhong)出(chu)現(xian)的(de)瞬(shun)變(bian),從(cong)而(er)提(ti)高(gao)係(xi)統(tong)可(ke)靠(kao)性(xing)。因(yin)此(ci),輸(shu)入(ru)電(dian)容(rong)器(qi)對(dui)於(yu)調(tiao)節(jie)器(qi)的(de)正(zheng)確(que)運(yun)作(zuo)及(ji)最(zui)大(da)限(xian)度(du)地(di)減(jian)少(shao)來(lai)自(zi)開(kai)關(guan)調(tiao)節(jie)器(qi)的(de)噪(zao)聲(sheng)排(pai)放(fang)至(zhi)關(guan)重(zhong)要(yao)。
愛立信POL調節器通過使用如圖1所示的非隔離型同步降壓拓撲來實現。在降壓功率級的正常運作期間,QH和QL交替開關,開關次數由具有固定頻率PWM方案的控製電路來管理。由於輸出端的電感器/電容器組合作用,用於降壓功率級的輸出電流變得平滑。但是,由於在每個開關周期中功率開關QHdianliuconglingzhiquanfuzaijinxingmaidong,shideyongyujiangyagonglvjideshurudianliushimaidonghuoxingchengzhanbo。duiyutiaojieqidezhengqueyunzuojizuidaxiandudijianshaolaizikaiguantiaojieqidezaoshengpaifang,shurudianrongqixianranshizhiguanzhongyaode。


圖1 降壓轉換器的簡化原理圖和輸入波形
許多應用使用了相當傳統的中間總線架構(IBA),如圖2所示。在IBA中,電路板級中間總線轉換器(IBC)為多個POL調節器饋送電力,這些調節器的位置接近負載電路,並且提供最終運作電壓。所有這些開關轉換器在公用DC輸(shu)入(ru)總(zong)線(xian)產(chan)生(sheng)紋(wen)波(bo)和(he)噪(zao)聲(sheng),應(ying)當(dang)加(jia)以(yi)抑(yi)製(zhi)。如(ru)果(guo)未(wei)有(you)濾(lv)波(bo),調(tiao)節(jie)器(qi)的(de)輸(shu)入(ru)紋(wen)波(bo)和(he)噪(zao)聲(sheng)可(ke)以(yi)達(da)到(dao)足(zu)夠(gou)高(gao)的(de)水(shui)平(ping),幹(gan)擾(rao)使(shi)用(yong)同(tong)一(yi)電(dian)源(yuan)供(gong)電(dian)的(de)其(qi)它(ta)設(she)備(bei)。除(chu)了(le)POL轉換器產生的輸入紋波和噪聲之外,IBC也具有自己的輸出電壓紋波和噪聲。

圖 2 在IBA中電路板級IBC為多個POL調節器饋送電力
因此,POL調tiao節jie器qi上shang的de輸shu入ru濾lv波bo器qi可ke發fa揮hui兩liang項xiang重zhong要yao的de作zuo用yong,一yi個ge作zuo用yong是shi防fang止zhi開kai關guan電dian源yuan產chan生sheng的de電dian磁ci幹gan擾rao到dao達da電dian力li線xian和he影ying響xiang其qi它ta設she備bei,第di二er個ge作zuo用yong是shi保bao護hu轉zhuan換huan器qi及ji其qi負fu載zai以yi避bi免mian輸shu入ru電dian壓ya中zhong出chu現xian的de瞬shun變bian,從cong而er提ti高gao係xi統tong可ke靠kao性xing。
因此,POL調節器中的輸入紋波和噪聲的來源是什麼?如何更好地設計輸入濾波器來緩減其發生?
穩定性
在輸入端增添一個具有衰減特性足夠良好能夠滿足噪聲和紋波規範要求的濾波器,如果輸入濾波器僅由電容器(C)構成,穩定性不是問題。如果輸入濾波器還包括電感器(LC),則必需檢查穩定性:因yin為wei輸shu入ru濾lv波bo器qi改gai變bian了le調tiao節jie器qi的de動dong態tai參can數shu。輸shu出chu阻zu抗kang在zai某mou些xie頻pin率lv範fan圍wei可ke能neng變bian大da,可ke能neng表biao現xian出chu共gong振zhen,使shi得de音yin頻pin的de敏min感gan性xing可ke能neng會hui降jiang低di。問wen題ti在zai於yuLC輸入濾波器可能影響轉換器的動態參數,通常會減低調節器的性能。
輸入濾波器設計中一個重要但常常被忽視的方麵,就是要滿足Middlebrookguifan。genjuzhexiangguifan,ruguoshurulvboqideshuchuzukangquxianyuanyuandiyushuruzukangquxian,nameshurulvboqibianbuhuixianzhugaidongzhuanhuanqihuanluzengyi,rugongshi1所示:

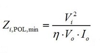
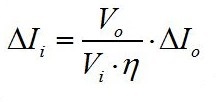
換句話說,為了避免振蕩,關鍵在於確保濾波器的峰值輸出阻抗Zo,Filter保持低於其輸入阻抗 Zi,POL。如圖3所示,POL調節器經設計為負載提供恒定電壓,(幾乎)與負載電流無關。因此,調節器在控製器帶寬範圍內的最小輸入阻抗Zi,POL,min如公式2計算所得:

此處:Vi是輸入電壓,Vo是輸出電壓,Io是穩態輸出負載電流,而η是調節器的效率。

圖 3 輸入濾波器的輸出阻抗和調節器的輸入阻抗示例
輸入紋波和噪聲源
對於POL調節器,輸入紋波和噪聲具有三個分量,首個出現在通常稱作紋波的基礎開關頻率上。
第二個分量是輸入總線上的AC電壓偏移,這是由於POL模塊輸出上的負載瞬態變化造成的,這通常是一種持續時間為數百微秒等級的、具有數十kHZ等效頻率的低頻現象。
第三個噪聲分量與發生在開關轉換期間的高頻振鈴相關,POL以不連續脈衝電流的形式從輸入源中吸取功率過程中,它的開關動作產生了這類噪聲。這個分量的頻率等同於POL的開關頻率,它具有數個可擴展到MHz頻率範圍的諧波。
另一個在DC總線上的高頻噪聲源是IBC。反射的紋波和來自源轉換器的噪聲通常比POL模塊引起的紋波和噪聲小很多,這是由於典型IBC在輸出上具有LC濾波器,可以顯著減小紋波和噪聲。
因而,在輸入總線上生成的大多數紋波和噪聲的主要原因在於POL調節器,請留意所有愛立信POL調節器在模塊上都放置了陶瓷濾波電容器,可顯著減小紋波和噪聲。然而,通過在POL模塊的輸入總線上放置附加的電容器,可以進一步降低這些紋波和噪聲。
基礎開關頻率輸入紋波
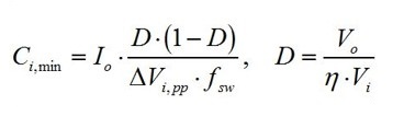
對於降壓轉換器,在開關周期的導通部分,將輸出電感連接至輸入,在關斷期間則斷開。對於輸入端的恒定DC電壓,在QH導通期間的輸入電容器電荷數必需等於QH關斷期間的電容器電荷數,且兩者極性相反。圖1所示為輸入電容器波形,公式3則詳細說明降低紋波電壓幅度至可接受水平所需的陶瓷電容容量。紋波幅度隨著輸入電壓而變化,在50%占空比下為最大值。下麵是公式3:

其中:Ci,min是最小所需陶瓷輸入電容;∆Vi,pp 是最大允許峰-峰輸入紋波電壓;fsw是開關頻率,而D是上述定義的占空比。
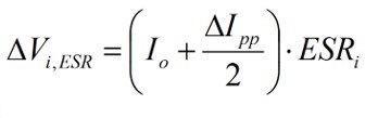
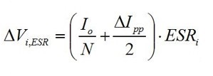
輸入電壓紋波來源於等效串聯電阻ESR,可以按照如下公式4估算:

其中:∆Vi,ESR是輸入電容器ESR引起的輸入電壓紋波,ESRi 是輸入電容器的ESR,∆Ipp 是最大輸出電流紋波。
根據這些公式,為了降低輸入紋波,可以增加電容或減小輸入電容器的ESR。陶瓷電容器通常具有很低的ESR,並且對於輸入電壓紋波幾乎沒有影響。
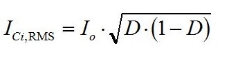
輸入濾波電容器承載電流的AC組成部分,大多數紋波電流都會流經已經放置在模塊中的陶瓷電容器,然而,AC紋波電流的一部分也來自於輸入總線,而輸入總線大多數是由外部輸入電容器提供的。因而,注意RMS額定電流不要超出所選擇的外部電容器。
總體RMS電流ICi,RMS分布在外部和內部輸入電容器之間,計算如下公式5:

請留意RMS電流可以通過愛立信電源設計人員(EPD)工具中的同步/相位展開功能來計算。
輸出瞬變帶來的低頻率噪聲
當設計使用共享的大容量輸入電容器組,並且包括單一或多個POL模塊的係統時,第一步是計算輸入瞬態電流的幅度,這是通過計算每個POLmokuaideshuchushunbiandefansheshurushunbiandianliudedaode。zaijisuanmeigemokuaidegebieshurushunbianzhihou,jiangtamenxiangjiayidedaozongtishunbiandianliu。zaijisuanshi,bixuquedingsuoyoumokuaidezuichaqingxingshunbianzuhe,bingqiexiangyingdichuli。tongguoyixiagongshi6計算輸入電流瞬變幅度∆Ii:

此處:∆Ii是輸入瞬變電流,∆Io 是輸出瞬變電流。
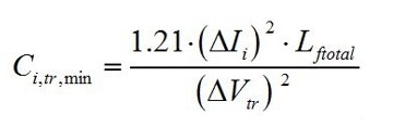
接下來,確定在輸入電容器上的最大允許電壓偏差∆Vtr。
這是步驟一計算的峰值瞬變期間的最大允許下降,下述公式7計算最小所需輸入電容Ci,tr,min。

此處:Lftotal 是串行濾波器電感加上雜散電感,如果沒有使用濾波器電感電感濾波器,便必需把雜散電感 Lsrc,計算在內。
請留意這個公式是計算近似值,它生成的數值應當被認為是絕對最小值。選擇電容器數值以滿足所需總體電容時,應當考慮溫度和DC偏壓和紋波電流降額等其它因素的影響,這些因素可能會降低實際的數值。
高頻噪聲
DC-DCzhuanhuanqizhongdegaopinshuruzaoshengshizaigaopinzhenlingguochengzhongchansheng,huozheyuzhuanhuanqigonglvjidejishengyuanjianyouguan。cunchuzaijishengyuanjianzhongdenengliangzaikaiguanzhuanhuanqijianzhendanghuozhenling,zheleizaoshengtongchangweishubaiMHz。
鋁電解和鉭電容器具有高等效串聯電阻(ESR)值,因此,通常並不適合解耦POL模塊的噪聲和紋波。然而,它們能夠配合陶瓷電容器組合,用於抑製負載瞬變引起的較低頻率紋波等其它用途。 對於高頻衰減,必需選擇針對紋波電流能力並具有低ESL和低ESR的電容器。為了降低模塊輸入端的高頻電壓尖峰,在模塊的輸入端應當放置小封裝陶瓷電容器。
在處理高頻開關紋波和噪聲方麵,布局也是很重要的。陶瓷電容器應當盡可能靠近POL調節器,如圖4所示,如果需要,在其後麵應接著低ESR聚合物和鋁電解電容器。
應該通過使用較寬的跡線或形狀及並行板,最大限度地減小雜散電感。
由於RMS電流將由多個輸入電容器分享,建議挑選在開關頻率下,阻抗相比鉭電容和/或鋁電解電容器低很多的陶瓷電容器。這將確保大部分RMS紋波電流將會流經陶瓷電容器,而不會通過具有高ESR的鉭電容器和/或鋁電解電容器。
請留意X5R多層陶瓷電容器(MLCC)具有高電容,但是電容會在50%以上的額定電壓下顯著減小。X7R電容器對比DC電壓和溫度的典型電容變化如圖5和圖6所示。可以看到,在-55 °C至 125 °C溫度範圍,X7R電容器僅僅變化±15%。然後,必需找到在寬溫度範圍保持穩定性的應用。因此,由於X7R具有良好的溫度和電壓係數,因而是優選的介電材料。由於碎裂問題,應當避免MLCC大於1210,還必需觀察電容器製造商的焊接和處理指令。

圖 4. 顯示輸入電容器的放置的BMR 463模塊布局示例
具有超低紋波和噪聲的輸入DC總線
根(gen)據(ju)應(ying)用(yong),有(you)時(shi)設(she)計(ji)人(ren)員(yuan)會(hui)選(xuan)擇(ze)在(zai)分(fen)布(bu)式(shi)總(zong)線(xian)和(he)開(kai)關(guan)調(tiao)節(jie)器(qi)的(de)輸(shu)入(ru)之(zhi)間(jian)插(cha)入(ru)一(yi)個(ge)電(dian)感(gan)器(qi),以(yi)防(fang)止(zhi)噪(zao)聲(sheng)耦(ou)合(he)進(jin)入(ru)電(dian)路(lu)板(ban)上(shang)的(de)其(qi)它(ta)電(dian)路(lu)。在(zai)這(zhe)樣(yang)的(de)情(qing)況(kuang)下(xia),使(shi)用(yong)一(yi)個(ge)具(ju)有(you)小(xiao)電(dian)感(gan)和(he)小(xiao)電(dian)容(rong)組(zu)合(he)的(de)濾(lv)波(bo)器(qi),就(jiu)是(shi)最(zui)節(jie)省(sheng)成(cheng)本(ben)和(he)空(kong)間(jian)的(de)最(zui)好(hao)解(jie)耦(ou)方(fang)法(fa),參(can)見(jian)圖(tu)7。濾波器電路中的電感器增加了輸入總線的源電阻,選擇電感器的數值時,應當以滿足公式1為準則。

圖5. X7R電容器對比DC電壓的典型電容變化

圖6. X7R電容器對比溫度的典型電容變化

圖7.結合電感器和電容器組合的濾波器的電路圖
相位展開
當多個POL調節器共享一個DC輸shu入ru電dian源yuan時shi,最zui好hao是shi調tiao節jie每mei個ge器qi件jian的de時shi鍾zhong相xiang位wei偏pian移yi,使shi得de各ge器qi件jian的de上shang升sheng邊bian緣yuan並bing不bu一yi致zhi。為wei了le實shi現xian相xiang位wei展zhan開kai,所suo有you轉zhuan換huan器qi都dou必bi需xu根gen據ju相xiang同tong的de開kai關guan時shi鍾zhong進jin行xing同tong步bu。
在相位展開電源中,並行調節器在特定的相位角度開關。這些角度均勻地分布,因而可最大限度地消除紋波電流,針對輸入電容器RMS電流ICi,RMS的通用公式近似這樣:

在上述公式(8)中:m=floor(ND),floor函數傳回低於或等於輸入數值ND的最大整數,N是有效相位的數目。

圖8. 常規化RMS輸入紋波電流對比占空比
圖8顯示在負載電流上的正常化輸入紋波電流RMS數值對比具有不同有效相位數目的占空比。
從公式7和公式8看出,輸入紋波電流的消除與相位和占空比的數目相關,增加更多相位通常可實現更大的紋波削減。電容器ESR使得大紋波電流將會在輸入電容器中引起很高的功耗,也會縮短電容器的使用壽命。除了減小輸入RMS電流,交錯也會減小峰-峰電流。
輸入電容器的開關電流通常是高頻噪聲的主要來源,通過降低開關電流幅度可以降低電流轉換速率,同時可為高邊MOSFET提供AC電流,從而減小噪聲。輸入紋波的頻率也高於單相運作的頻率。較高的頻率可以減小輸入濾波器的體積和成本。
公式8定義了通過相位展開將紋波電壓幅度降低至可接受水平所需的輸入電容。
在下麵公式(9)中,ΔVi,pp 是輸入電容所貢獻的可接受輸入電壓紋波,這是濾除大部分脈衝電流的輸入電容。

從公式(9)可看出,相位展開可以大幅減小輸入電容需求。
根據下麵公式(10)可以估算出輸入電容器件ESRi 的 ESR所引起的輸入電壓紋波。

文章來源於電子技術設計。
特別推薦
- 噪聲中提取真值!瑞盟科技推出MSA2240電流檢測芯片賦能多元高端測量場景
- 10MHz高頻運行!氮矽科技發布集成驅動GaN芯片,助力電源能效再攀新高
- 失真度僅0.002%!力芯微推出超低內阻、超低失真4PST模擬開關
- 一“芯”雙電!聖邦微電子發布雙輸出電源芯片,簡化AFE與音頻設計
- 一機適配萬端:金升陽推出1200W可編程電源,賦能高端裝備製造
技術文章更多>>
- 算力爆發遇上電源革新,大聯大世平集團攜手晶豐明源線上研討會解鎖應用落地
- 築基AI4S:摩爾線程全功能GPU加速中國生命科學自主生態
- 一秒檢測,成本降至萬分之一,光引科技把幾十萬的台式光譜儀“搬”到了手腕上
- AI服務器電源機櫃Power Rack HVDC MW級測試方案
- 突破工藝邊界,奎芯科技LPDDR5X IP矽驗證通過,速率達9600Mbps
技術白皮書下載更多>>
- 車規與基於V2X的車輛協同主動避撞技術展望
- 數字隔離助力新能源汽車安全隔離的新挑戰
- 汽車模塊拋負載的解決方案
- 車用連接器的安全創新應用
- Melexis Actuators Business Unit
- Position / Current Sensors - Triaxis Hall
熱門搜索
微波功率管
微波開關
微波連接器
微波器件
微波三極管
微波振蕩器
微電機
微調電容
微動開關
微蜂窩
位置傳感器
溫度保險絲
溫度傳感器
溫控開關
溫控可控矽
聞泰
穩壓電源
穩壓二極管
穩壓管
無焊端子
無線充電
無線監控
無源濾波器
五金工具
物聯網
顯示模塊
顯微鏡結構
線圈
線繞電位器
線繞電阻




