如何利用單個反饋源實現任意量級偏置電流網絡
發布時間:2016-08-26 責任編輯:susan
【導讀】利用運放反饋與基準電壓生成任意大小的直流電流是一個簡單、直接的過程。但是,假設須要生成一些任意數量(以N為例)的電流沉/源(current sink/source),而每個電流沉/源的大小任意,可能須要針對不同階段的一些複雜模擬電路進行偏置。
雖然基準電壓的生成僅須一次實施即可,電流沉整個反饋部分的重複進行卻使成本與設計空間密集化。那麼問題來了:是否可以使用單個反饋源來實現這種偏置網絡呢?答案是肯定的,盡管這有些複雜,也須滿足某些特定條件。該網絡(本文分析中僅以電流沉為例)如圖1所示。

圖1:灌電流網絡
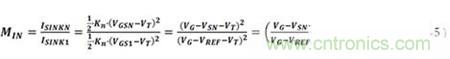
最終MOSFET(金氧半場效晶體管)源電壓VS以及RSET電阻決定著各柱上的灌電流(sink current);通過去除來自外部電流沉柱的反饋(即所有N》1),已失去對VSN的直接控製。因此,RSETN必須精心選擇以生成預期的任意第N個柱的灌電流,即ISINKN。仔細觀察上麵的圖1,很容易得出定義偏置網絡第N個柱電流與第1個柱電流的比值的等式︰

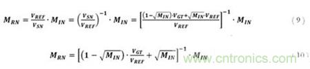
重新調整等式1,得出R1與RN電阻比MRN,等式變為:

那麼該偏置網絡第N個柱的MOSFET源電壓是什麼,VSN?考慮到工作在飽和區的NMOS漏極電流等式是:
必須注意的是,這裏可以很大程度上忽略通道寬度調製的影響。這是因為任何因漏極電壓上升導致的漏極電流的上升會在通過RSET電阻後下降,並導致源電壓的上升。為了使MOSFET能(neng)維(wei)持(chi)任(ren)何(he)電(dian)流(liu),柵(zha)極(ji)電(dian)壓(ya)必(bi)須(xu)大(da)於(yu)源(yuan)電(dian)壓(ya)與(yu)閾(yu)值(zhi)電(dian)壓(ya)的(de)和(he)。也(ye)就(jiu)是(shi)說(shuo),給(gei)定(ding)一(yi)個(ge)柵(zha)極(ji)電(dian)壓(ya),源(yuan)電(dian)壓(ya)將(jiang)被(bei)限(xian)製(zhi)在(zai)至(zhi)少(shao)比(bi)柵(zha)極(ji)電(dian)壓(ya)小(xiao)一(yi)個(ge)閾(yu)值(zhi)電(dian)壓(ya)的(de)值(zhi),且(qie)再(zai)大(da)的(de)漏(lou)極(ji)電(dian)壓(ya)上(shang)升(sheng)也(ye)不(bu)會(hui)提(ti)升(sheng)漏(lou)極(ji)電(dian)流(liu)。因(yin)此(ci),構(gou)建(jian)相(xiang)應(ying)運(yun)行(xing)條(tiao)件(jian),RSET必須足夠大,從而確保在上述限製下可允許作出以下假設:
等式1中的比值可基於等式3和4改寫成:

為了簡化等式5,可作出如下定義:

利用等式5進行替換與調整後,可導出VSN的等式:

將等式8代入等式2可得出:

那麼柵極驅動對閾值電壓的差是什麼呢,VGT?這最終由偏置網絡第1柱的反饋決定;它本質上是維持所需ISINK1電流需要的電壓:
重新調整等式11的項,可得出VGT的等式:

將等式13代入等式10可得出:

最後,電阻比MRN可以單純地寫成MIN的函數(加上偏置網絡設備的一些物理常數),如下所示:

現在關於RSET電阻比率的等式已導出,接下來可以探究建立任意大小的偏置電流網絡的含義與影響。
特別推薦
- 噪聲中提取真值!瑞盟科技推出MSA2240電流檢測芯片賦能多元高端測量場景
- 10MHz高頻運行!氮矽科技發布集成驅動GaN芯片,助力電源能效再攀新高
- 失真度僅0.002%!力芯微推出超低內阻、超低失真4PST模擬開關
- 一“芯”雙電!聖邦微電子發布雙輸出電源芯片,簡化AFE與音頻設計
- 一機適配萬端:金升陽推出1200W可編程電源,賦能高端裝備製造
技術文章更多>>
- 貿澤EIT係列新一期,探索AI如何重塑日常科技與用戶體驗
- 算力爆發遇上電源革新,大聯大世平集團攜手晶豐明源線上研討會解鎖應用落地
- 創新不止,創芯不已:第六屆ICDIA創芯展8月南京盛大啟幕!
- AI時代,為什麼存儲基礎設施的可靠性決定數據中心的經濟效益
- 矽典微ONELAB開發係列:為毫米波算法開發者打造的全棧工具鏈
技術白皮書下載更多>>
- 車規與基於V2X的車輛協同主動避撞技術展望
- 數字隔離助力新能源汽車安全隔離的新挑戰
- 汽車模塊拋負載的解決方案
- 車用連接器的安全創新應用
- Melexis Actuators Business Unit
- Position / Current Sensors - Triaxis Hall
熱門搜索
微波功率管
微波開關
微波連接器
微波器件
微波三極管
微波振蕩器
微電機
微調電容
微動開關
微蜂窩
位置傳感器
溫度保險絲
溫度傳感器
溫控開關
溫控可控矽
聞泰
穩壓電源
穩壓二極管
穩壓管
無焊端子
無線充電
無線監控
無源濾波器
五金工具
物聯網
顯示模塊
顯微鏡結構
線圈
線繞電位器
線繞電阻



