反轉式串聯開關電源的工作原理及電路參數的計算
——陶顯芳老師談開關電源原理與設計
發布時間:2014-01-13 責任編輯:sherryyu
1-3.反轉式串聯開關電源
1-3-1.反轉式串聯開關電源的工作原理
圖1-7是(shi)另(ling)一(yi)種(zhong)串(chuan)聯(lian)式(shi)開(kai)關(guan)電(dian)源(yuan),一(yi)般(ban)稱(cheng)為(wei)反(fan)轉(zhuan)式(shi)串(chuan)聯(lian)開(kai)關(guan)電(dian)源(yuan)。這(zhe)種(zhong)反(fan)轉(zhuan)式(shi)串(chuan)聯(lian)開(kai)關(guan)電(dian)源(yuan)與(yu)一(yi)般(ban)串(chuan)聯(lian)式(shi)開(kai)關(guan)電(dian)源(yuan)的(de)區(qu)別(bie)是(shi),這(zhe)種(zhong)反(fan)轉(zhuan)式(shi)串(chuan)聯(lian)開(kai)關(guan)電(dian)源(yuan)輸(shu)出(chu)的(de)電(dian)壓(ya)是(shi)負(fu)電(dian)壓(ya),正(zheng)好(hao)與(yu)一(yi)般(ban)串(chuan)聯(lian)式(shi)開(kai)關(guan)電(dian)源(yuan)輸(shu)出(chu)的(de)正(zheng)電(dian)壓(ya)極(ji)性(xing)相(xiang)反(fan);並且由於儲能電感L隻在開關K關斷時才向負載輸出電流,因此,在相同條件下,反轉式串聯開關電源輸出的電流比串聯式開關電源輸出的電流小一倍。
在一般電路中大部分都是使用單極性電源,但在一些特殊場合,有時需要兩組電源,其中一組為負電源。因此,選用圖1-7所示的反轉式串聯開關電源作為負電源是很方便的。
圖1-7中,Ui為輸入電源,K為控製開關,L為儲能電感,D為整流二極管,C為儲能濾波電容,R為負載電阻。當控製開關K接通的時候,輸入電源Ui開始對儲能電感L加電,流過儲能電感L的電流開始增加,同時電流在儲能電感中也要產生磁場;當控製開關K由接通轉為關斷的時候,儲能電感會產生反電動勢,使電流繼續流動,並通過整流二極管D進行整流,再經電容儲能濾波,然後向負載R提供電流輸出。控製開關K不斷地反複接通和關斷過程,在負載R上就可以得到一個負極性的電壓輸出。




圖1-8、圖1-9、圖1-10分別是控製開關K的占空比D等於0.5、< 0.5、> 0.5時,圖1-7電路中幾個關鍵點的電壓和電流波形。圖1-8-a)、圖1-9-a)、圖1-10-a)分別為控製開關K輸出電壓uo的波形;圖1-8-b)、圖1-9-b)、圖1-10-b)分別為儲能濾波電容兩端電壓uc的波形;圖1-8-c)、圖1-9-c)、圖1-10-c)分別為流過儲能電感L電流iL的波形。應該特別注意的是,圖1-8-c)、圖1-9-c)、圖1-10-c)中的電流波形按原理應該取負值,但取負值後反而覺得與前麵圖1-5與圖1-6不好對比和分析,因此,當進行具體計算時,一定要注意電流和電壓的方向。
[page]
在開關K接通Ton期間,電源Ui開始對儲能電感L供電,儲能電感L兩端的電壓eL為:

式中iL為流過儲能電感L電流的瞬時值,t為時間變量,i(0)為的初始電流,即:控製開關K接通瞬間之前流過儲能電感L中的電流。當t = Ton時,流過儲能電感L的電流達到最大值:

在開關K關斷期間,儲能電感L把電流iLm存儲的磁能轉化成反電動勢,然後通過整流二極管D向負載R提供能量,在此期間L兩端的電壓eL為:

上式中Uo前的負號,表示K關斷期間電感產生電動勢的方向與K接通期間電感產生電動勢的方向正好相反。
順便指出,反轉式串聯開關電源輸出電壓為負脈衝,當圖1-7中的濾波電容器C開路時,負脈衝的幅度將非常高,負脈衝是一個幅度按指數規律下降的尖脈衝,其幅度主要由負載電阻的大小,以及占空比來決定;當圖7中的濾波電容器C接入後,反轉式串聯開關電源輸出電壓uo為一負方波,此方波我們可稱之為半波平均值,關於半波平均值的概念我們後麵還會詳細解釋。
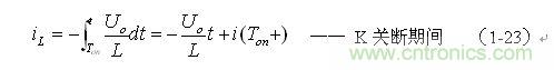
對(1-22)式進行積分得:

上式中i(Ton+)為控製開關K從Ton轉換到Toff的瞬間流過電感的電流,i(Ton+)也可以寫為i(Toff-),即:控製開關K關斷或接通瞬間,之前和之後流過電感L的電流相等。實際上(1-23)式中的i(Ton+)就是(1-21)式中的iLm,即:

當開關電源工作於臨界電流連續狀態,或電流不連續狀態時,即D≤0.5時,流過儲能電感的初始電流i(0)和流過儲能電感電流的最小值iLX均等於0(參看圖1-8和圖1-9);而當開關電源工作於電流連續狀態,即D≥0.5時,流過儲能電感的初始電流i(0)和流過儲能電感電流的最小值iLX均相等(參看圖1-10)。因此,由(1-21)和(1-26)式,可求得反轉式串聯開關電源輸出電壓Uo為:

由(1-27)式可以看出,反轉式串聯開關電源輸出電壓與輸入電壓與開關接通的時間成正比,與開關關斷的時間成反比,而與儲能電感L的大小無關;與儲能電感L有關的是輸出電流的大小,電流的大小隱含在(1-21)、(1-25)、(1-26)式中。
另外,從圖1-8可以看出,由於反轉式串聯開關電源,僅當控製開關K關斷期間才產生反電動勢向負載提供能量。因此,當占空比為0.5時,輸出電流的平均值Io為流過儲能電感電流最大值的四分之一;當占空比小於0.5時,輸出電流的平均值Io小於流過儲能電感電流最大值的四分之一(圖1-9);當占空比大於0.5時,輸出電流的平均值Io大於流過儲能電感電流最大值的四分之一(圖1-10)。
[page]
1-3-2.反轉式串聯開關電源儲能電感的計算
反轉式串聯開關電源儲能電感的計算方法與前麵“串聯式開關電源儲能濾波電感的計算”fangfajibenxiangtong,jisuanfanzhuanshichuanliankaiguandianyuanzhongchunengdiangandeshuzhi,yeshicongliuguochunengdiangandedianliuweidianliulinjielianxuzhuangtaijinxingfenxi。danxuyaotebiezhuyi,fanzhuanshichuanliankaiguandianyuanzhongdechunengdianganjinzaikongzhikaiguanK關斷期間才產生反電動勢向負載提供能量,因此,流過負載的電流比串聯式開關電源流過負載的電流小一倍(D = 0.5時),即:當占空比等於0.5時,反轉式串聯開關電源中流過負載R的電流Io隻有流過儲能電感L最大電流iLm的四分之一。根據(1-21)式:

式中Io為流過負載的電流,當D = 0.5時,其大小等於最大電流iLm的四分之一;T為開關電源的工作周期,T正好等於2倍Ton。
由此求得:

(1-29)和(1-30)式,就是計算反轉式串聯開關電源中儲能電感的公式。同理,(1-29)和(1-30)式的計算結果,隻給出了計算反轉式串聯開關電源儲能電感L的中間值,或平均值,由於輸出電流的不確定性,實際應用時,可以以此為極限,在此平均值的計算結果上再乘以一個大於1的係數。
當儲能電感L的值小於(1-29)式的值時,流過濾波電感L的電流上升率將增大,如果流過濾波電感L的電流iL為連續電流,輸出電壓Uo將會升高;如果為了維持濾波輸出電壓Uo不變,則必須要把控製開關K占空比D減小,但占空比D的減小將會使流過儲能電感的電流iL出現不連續,從而使濾波輸出電壓Uo的電壓紋波增大。
如果流過濾波電感L的電流iL不是連續電流,儲能電感L的減小,將會使流過儲能電感的電流iL不連續的時間變長,電源濾波輸出電壓Uo不但不會升高,反而會使反轉式串聯開關電源濾波輸出電壓Uo的電壓紋波顯著增大。
當儲能電感L的值大於(1-29)式的值時,流過儲能電感L的電流上升率將減小,輸出電壓Uo將降低,但濾波輸出電壓Uo的電壓紋波顯著減小;如果為了維持電源濾波輸出電壓Uo不變,控製開關K必須要把占空比D增大,而占空比D的增大又會使流過儲能電感的電流iL不連續的時間縮短,或由電流不連續變成電流連續,從而使電源濾波輸出電壓Uo的電壓紋波降低。
反轉式串聯開關電源對負載輸出的電流Io隻有流過儲能電感最大電流ILm的四分之一,在流過儲能電感最大電流ILm相同的情況下,比串聯式開關電源對負載輸出的電流Io小xiao一yi倍bei,因yin此ci,在zai輸shu出chu電dian壓ya紋wen波bo相xiang同tong的de情qing況kuang下xia,反fan轉zhuan式shi串chuan聯lian開kai關guan電dian源yuan的de電dian流liu紋wen波bo要yao比bi串chuan聯lian式shi開kai關guan電dian源yuan的de電dian流liu紋wen波bo大da一yi倍bei。這zhe種zhong情qing況kuang,濾lv波bo電dian容rong的de充chong放fang電dian回hui路lu的de電dian流liu很hen容rong易yi產chan生shengEMI幹擾,在進行PCB線路設計時要特別注意。
[page]
1-3-3.反轉式串聯開關電源儲能濾波電容的計算
反轉式串聯開關電源儲能濾波電容參數的計算,與串聯式開關電源儲能濾波電容的計算方法基本相同。但要注意,即使是在占空比D等於0.5的情況下,濾波電容器充、放電的時間都不相等,濾波電容器充電的時間小於半個工作周期,而電容器放電的時間則大於半個工作周期,但電容器充、放電的電荷是相等的,即電容器充電時的電流大於放電時的電流。
從圖1-8可以看出,在占空比D等於0.5的情況下,電容器充電的時間為 ,電容器充電電流的平均值為 ,或 ;而電容器放電的時間為 ,電容器放電電流的平均值為0.9 Io。
因此有:

(1-33)和(1-34)式,就是計算反轉式串聯開關電源儲能濾波電容的公式(D = 0.5時)。式中:Io是流過負載電流的平均值,T為開關工作周期,ΔUP-P為濾波輸出電壓的波紋。一般波紋電壓都是取峰-峰值,因此,當D = 0.5時,波紋電壓正好等於電容器充電的電壓增量,即:ΔUP-P = ΔUc 。
同理,(1-33)和(1-34)式的計算結果,隻給出了計算反轉式串聯開關電源儲能濾波電容C的中間值,或平均值,由於輸出電流的不確定性,實際應用時,可以以此為極限,在此平均值的計算結果上再乘以一個大於1的係數。特別是當開關K的占空比D小於0.5的時後,由於流過儲能電感L的de電dian流liu會hui不bu連lian續xu,電dian容rong器qi放fang電dian的de時shi間jian將jiang遠yuan遠yuan大da於yu電dian容rong器qi充chong電dian的de時shi間jian,因yin此ci,開kai關guan電dian源yuan濾lv波bo輸shu出chu電dian壓ya的de紋wen波bo將jiang顯xian著zhu增zeng大da。因yin此ci,在zai設she計ji開kai關guan電dian源yuan的de時shi候hou要yao留liu有you充chong分fen的de餘yu量liang,實shi際ji應ying用yong中zhong最zui好hao按an(1-33)式計算結果的2倍以上來計算儲能濾波電容的參數。
未完待續:下次將為大家連載並聯式開關電源的工作原理及參數計算,請大家耐心等候......
相關閱讀:
串聯式開關電源工作原理及電路參數的計算
http://www.0-fzl.cn/power-art/80022144
陶老師談:單激式變壓器開關電源的工作原理
http://www.0-fzl.cn/power-art/80022120
陶顯芳老師談開關電源原理與設計
http://www.0-fzl.cn/power-art/80021940
專題:陶顯芳老師30年經驗大分享,開關電源設計那些事兒
http://www.0-fzl.cn/special/181
- 噪聲中提取真值!瑞盟科技推出MSA2240電流檢測芯片賦能多元高端測量場景
- 10MHz高頻運行!氮矽科技發布集成驅動GaN芯片,助力電源能效再攀新高
- 失真度僅0.002%!力芯微推出超低內阻、超低失真4PST模擬開關
- 一“芯”雙電!聖邦微電子發布雙輸出電源芯片,簡化AFE與音頻設計
- 一機適配萬端:金升陽推出1200W可編程電源,賦能高端裝備製造
- 築基AI4S:摩爾線程全功能GPU加速中國生命科學自主生態
- 一秒檢測,成本降至萬分之一,光引科技把幾十萬的台式光譜儀“搬”到了手腕上
- AI服務器電源機櫃Power Rack HVDC MW級測試方案
- 突破工藝邊界,奎芯科技LPDDR5X IP矽驗證通過,速率達9600Mbps
- 通過直接、準確、自動測量超低範圍的氯殘留來推動反滲透膜保護
- 車規與基於V2X的車輛協同主動避撞技術展望
- 數字隔離助力新能源汽車安全隔離的新挑戰
- 汽車模塊拋負載的解決方案
- 車用連接器的安全創新應用
- Melexis Actuators Business Unit
- Position / Current Sensors - Triaxis Hall





