高壓開關電源的應用電路設計
發布時間:2012-03-15
- 電路的延時電路
- 電路的振蕩器頻率
- 電路的補償網絡與反饋
- 電路的驅動與整流
- 電路的過流與過壓保護
隨著電源技術的不斷發展和成熟,開關電源作為一種體積小、重量輕、高頻、高效率的電力變換裝置,被廣泛用於各個領域。雷達顯示器作為雷達係統的“眼睛”要求起其具有高可靠性,而其電源的可靠性則要求更高。
下麵是某型雷達顯示器對高壓電源的技術要求:
(1)輸入電壓:400 Hz/220 V±10%
(2)輸出電壓:+4 500 V -1 600 V
(3)輸出電流:+4 500 V/1 mA-1 600V/1mA
(4)負載穩定度:≤10-3
(5)電壓穩定度:≤5×10-3
(6)輸出電壓紋波:≤1×10-3
(7)MTBF:≥5 000 h
(8)延時時間:≥20 s
1 概 述
為了達到上述要求,本變換器采用了雙端輸出式脈衝寬度調製器SG1524,他的功能較全、使用靈活、價格便宜。
整個電路由圖1所示的幾個部分組成,輸入電壓經過全橋整流濾波後送給VICOR模塊(VI-J63CZ)進行DC/DC 變換,輸出為直流24 V電壓,再經78LM15穩壓到15 V後直接為SG1524供電。SG1524的11腳輸出脈衝經V11放大T1隔離後,再經V21功率放大,脈 衝變壓器升壓後再經整流濾波輸出高壓。

2 電路設計
(1)延時電路
由於顯示器示波管的燈絲需要20 s的預熱時間,故需設置一個延時電路,以延緩給示波管陽極上加高壓,由於SG1524內部設置了一個完全獨立控製關閉的電路,通過控製其10端的電位即可控製整個脈寬調製器的輸出。如圖2所示。

加電→R32,R33分壓→經R2給C2充電→V5導通→SG1524的10腳電位降低→SG1524工作,輸出脈衝。
[page]
(2)振蕩器頻率
SG1524的振蕩器頻率fosc由外接元件R6,R4決定,即fosc=1/R6C4,式中R6的單位為Ω,C4的單位為μF,電容C4的充電電流I=3.6 V/RT,電容C4的容量大小直接影響振蕩器的輸出脈衝寬度,故C4不能取得太小,若振蕩器的輸出脈衝寬度小於0.5μs,則不能保證每一個脈衝都能觸發翻轉,為了保證觸發器工作可靠,C4的容量一般在0.001μF~0.1。
(3)補償網絡
管腳9為補償端,此處接上P-C補償網 絡給電路引入一個0點來抵消電路輸出濾波器中的極點,從而消除掉電路寄生振蕩。此處R-C補償網絡采用56 kΩ的電位器和0.001μF電容組成。
(4)反饋
SG1524的基準電源Vref(5 V)通過電阻R7,R5分壓,分出。1/2 Vref=25 V加於誤差放大器EA的同相輸入端腳2。
高壓經R30,R31分壓濾波送至場效應管V17,經V17電壓放大後,再經射隨器輸出,送至SG1524的1端。假設電源電壓降低或負載電阻變小引起輸出電壓降低時,則反饋到SG1524內的誤差放大器反相輸入端1的電壓將減小,誤差放大器輸出電壓將增加,從而使加到脈寬調製比較器反相輸入端電壓增大,輸出晶體管的導通時間變大,故功率晶體管導通時間也變長,占空比Q變大,從而使輸出電壓Vo能回到原來的穩定值。反饋電路如圖3所示。
(5)驅動與整流
經過T1的隔離,通過調整電阻R13使輸入V21的脈衝寬度變化從而達到調壓的目的。其中加速電容C5、電阻R13按V21的穩態驅動電流確定。
驅動與整流電路如圖4所示。

能量回授線圈(消磁線圈)將變壓器多餘的能量通過整流二極管V24(2CK29)回授到電源中去可提高效率。由於晶體管V21關斷過程是開關管最易損壞的時間,因此采取的措施為在晶體管關斷,集電極電壓上升的同時,需較快的減少集電極電流。
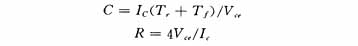
圖4中使用RC緩衝器接在晶體管的CE兩端時,在關斷晶體管時以減少晶體管集電極電流,其工作原理是當晶體管關斷時,電容C10通過二極管V22被充電到Vc-1.4,這樣集電極電流有了分路,集電極電流能較快地減少。當晶體管V21導通時,C10通過電阻R23和晶體管V21放電。對於參數的選擇可按經驗公式求得:
其中:Ic為最大的集電極電流(A);Vce為最大的集電極-發射極電壓(V);Tf為最大的集電極電壓上升時間(μs);Tr為最大的集電極電流下降時間(μs);
注:計算的電阻值,必須限製放電電流Idis(Idis=Ic×1/4)。
(6)過流與過壓保護
當負載過流時,經脈衝變壓器次級耦合,其初級也過流,流過R24的壓降增大,光耦PHT導通,SG1524的10腳電壓被抬高,SG1524關閉,無輸出電壓,從而保護電源。
當負載過壓時,反饋到SG1524的1腳電壓流經發光二極管V6,使SG1524的10腳電壓被抬高,SG1524關閉,無輸出電壓,從而保護電源。
3 結 語
隨著這種電源應用量的不斷增加,證明其具有較高的工作效率和良好的可靠性,完全滿足雷達係統對各分機設計要求。
- 噪聲中提取真值!瑞盟科技推出MSA2240電流檢測芯片賦能多元高端測量場景
- 10MHz高頻運行!氮矽科技發布集成驅動GaN芯片,助力電源能效再攀新高
- 失真度僅0.002%!力芯微推出超低內阻、超低失真4PST模擬開關
- 一“芯”雙電!聖邦微電子發布雙輸出電源芯片,簡化AFE與音頻設計
- 一機適配萬端:金升陽推出1200W可編程電源,賦能高端裝備製造
- 三星上演罕見對峙:工會集會討薪,股東隔街抗議
- 摩爾線程實現DeepSeek-V4“Day-0”支持,國產GPU適配再提速
- 築牢安全防線:智能駕駛邁向規模化應用的關鍵挑戰與破局之道
- GPT-Image 2:99%文字準確率,AI生圖告別“鬼畫符”
- 機器人馬拉鬆的勝負手:藏在主板角落裏的“時鍾戰爭”
- 車規與基於V2X的車輛協同主動避撞技術展望
- 數字隔離助力新能源汽車安全隔離的新挑戰
- 汽車模塊拋負載的解決方案
- 車用連接器的安全創新應用
- Melexis Actuators Business Unit
- Position / Current Sensors - Triaxis Hall

