蓄電池內阻及其同蓄電池各類失效模式的關係
發布時間:2012-02-20
中心議題:
- 常見的蓄電池失效模式
- 閥控鉛酸蓄電池內阻模型研究
- 內阻在線測量方法
解決方案:
- 直流方法
- 交流方法
1 引言
目前,閥控式鉛酸蓄電池在電力操作電源廣泛使用,由於閥控式鉛酸蓄電池結構的特殊性,在運行中可靠地檢測蓄電池的性能,並有針對性地對蓄電池進行維護變得困難但又很迫切。從電力係統運行的高可靠性要求,各類蓄電池監測係統也在廣泛使用。但不bu同tong的de測ce試shi模mo式shi對dui蓄xu電dian池chi的de性xing能neng狀zhuang況kuang反fan映ying也ye不bu一yi樣yang,多duo年nian的de研yan究jiu和he運yun用yong表biao明ming,內nei阻zu檢jian測ce是shi目mu前qian最zui為wei可ke靠kao的de測ce試shi方fang式shi之zhi一yi,而er蓄xu電dian池chi的de不bu同tong失shi效xiao模mo式shi對dui內nei阻zu的de反fan映ying情qing況kuang也ye不bu一yi樣yang,了le解jie蓄xu電dian池chi的de內nei阻zu和he各ge種zhong失shi效xiao模mo式shi的de關guan係xi,有you利li於yu更geng好hao地di對dui蓄xu電dian池chi進jin行xing檢jian測ce和he維wei護hu。合he理li地di選xuan擇ze及ji使shi用yong目mu前qian直zhi流liu電dian源yuan係xi統tong中zhong的de蓄xu電dian池chi和he電dian池chi監jian測ce模mo塊kuai,對dui延yan長chang蓄xu電dian池chi的de使shi用yong壽shou命ming有you很hen大da的de作zuo用yong,為wei獲huo得de最zui大da的de安an全quan效xiao益yi和he經jing濟ji效xiao益yi有you著zhe很hen重zhong要yao的de意yi義yi。
2 常見的蓄電池失效模式
對於閥控式鉛酸電池,通常的性能變壞機製有:電池失水、正極板群的腐蝕、活性性質的脫落、深放電引起的鈍化和深度放電後的恢複等等,以下是幾種性能變壞的情況:
1)電池失水
鉛酸蓄電池失水會導致電解液比重增高、導致電池正極柵板的腐蝕,使電池的活性物質減少,從而使電池的容量降低而失效。
閥控式鉛酸蓄電池充電後期,正極釋放的氧氣與負極接觸,發生反應,重新生成水,即
O2 + 2Pb→2PbO
PbO + H2SO4→H2O +PbSO4
使(shi)負(fu)極(ji)由(you)於(yu)氧(yang)氣(qi)的(de)作(zuo)用(yong)處(chu)於(yu)欠(qian)充(chong)電(dian)狀(zhuang)態(tai),因(yin)而(er)不(bu)產(chan)生(sheng)氫(qing)氣(qi)。這(zhe)種(zhong)正(zheng)極(ji)的(de)氧(yang)氣(qi)被(bei)負(fu)極(ji)鉛(qian)吸(xi)收(shou),再(zai)進(jin)一(yi)步(bu)化(hua)合(he)成(cheng)水(shui)的(de)過(guo)程(cheng),即(ji)所(suo)謂(wei)陰(yin)極(ji)吸(xi)收(shou)。
zaishangshuyinjixishouguochengzhong,youyuchanshengdeshuizaimifengqingkuangxiabunengyichu,yincifakongshimifengqiansuanxudianchikemianchubujiashuiweihu,zheyeshifakongshimifengqiansuanxudianchichengweimianweidianchideyoulai。dianchizaicunfangqijianneiyingwuqitiyichu;充電電壓在2.35V/單體(25℃)以下應無氣體逸出;放電期間內應無氣體逸出。但當充電電壓超過2.35V/單dan體ti時shi就jiu有you可ke能neng使shi氣qi體ti逸yi出chu。因yin為wei此ci時shi電dian池chi體ti內nei短duan時shi間jian產chan生sheng了le大da量liang氣qi體ti來lai不bu及ji被bei負fu極ji吸xi收shou,壓ya力li超chao過guo某mou個ge值zhi時shi,便bian開kai始shi通tong過guo單dan向xiang排pai氣qi閥fa排pai氣qi,排pai出chu的de氣qi體ti雖sui然ran經jing過guo濾lv酸suan墊dian濾lv掉diao了le酸suan霧wu,但dan必bi竟jing使shi電dian池chi損sun失shi了le氣qi體ti,也ye等deng於yu失shi水shui,所suo以yi閥fa控kong式shi密mi封feng鉛qian酸suan蓄xu電dian池chi對dui充chong電dian電dian壓ya的de要yao求qiu是shi非fei常chang嚴yan格ge的de,絕jue對dui不bu能neng過guo充chong電dian。
2)負極板硫酸化
電池負極柵板的主要活性物質是海棉狀鉛,電池充電時負極柵板發生如下化學反應
PbSO4 + 2e = Pb + SO4-
正極上發生氧化反應:
PbSO4 + 2H2O = PbO2 + 4H+ + SO4- + 2e
放電過程發生的化學反應是這一反應的逆反應,當閥控式密封鉛酸蓄電池的荷電不足時,在電池的正負極柵板上就有PbSO4 存在,PbSO4 長(chang)期(qi)存(cun)在(zai)會(hui)失(shi)去(qu)活(huo)性(xing),不(bu)能(neng)再(zai)參(can)與(yu)化(hua)學(xue)反(fan)應(ying),這(zhe)一(yi)現(xian)象(xiang)稱(cheng)為(wei)活(huo)性(xing)物(wu)質(zhi)的(de)硫(liu)酸(suan)化(hua),為(wei)防(fang)止(zhi)硫(liu)酸(suan)化(hua)的(de)形(xing)成(cheng),電(dian)池(chi)必(bi)須(xu)經(jing)常(chang)保(bao)持(chi)在(zai)充(chong)足(zu)電(dian)的(de)狀(zhuang)態(tai),蓄(xu)電(dian)池(chi)絕(jue)對(dui)不(bu)能(neng)過(guo)放(fang)。
3)正極板腐蝕
由於電池失水,造成電解液比重增高,過強的電解液酸性加劇正極板腐蝕,防止極板腐蝕必須注意防止電池失水現象發生。
4)熱失控
熱(re)失(shi)控(kong)是(shi)指(zhi)蓄(xu)電(dian)池(chi)在(zai)恒(heng)壓(ya)充(chong)電(dian)時(shi),充(chong)電(dian)電(dian)流(liu)和(he)電(dian)池(chi)溫(wen)度(du)發(fa)生(sheng)一(yi)種(zhong)累(lei)積(ji)性(xing)的(de)增(zeng)強(qiang)作(zuo)用(yong),並(bing)逐(zhu)步(bu)損(sun)壞(huai)蓄(xu)電(dian)池(chi)。造(zao)成(cheng)熱(re)失(shi)控(kong)的(de)根(gen)本(ben)原(yuan)因(yin)是(shi)浮(fu)充(chong)電(dian)壓(ya)過(guo)高(gao)。
一般情況下,浮充電壓定為2.23 ~ 2.25V/單體(25℃)比較合適。如果不按此浮充範圍工作,而是采用2.35V/單體(25℃),則連續充電4個月就可能出現熱失控;或者采2.30V/單體(25℃),連續充電6 ~ 8個月就可能出現熱失控;要是采用2.28V/單體(25℃),則連續12 ~ 18個月就會出現嚴重的容量下降,進而導致熱失控。熱失控的直接後果是蓄電池的外殼鼓包、漏氣,電池容量下降,最後失效。
3 閥控鉛酸蓄電池內阻模型研究
阻抗分析是電化學研究中的常用方法,是電池性能研究和產品設計的必要手段。
圖2-1是典型的鉛酸電池阻抗圖,可見其包括以下幾部分:
1) 100Hz後體現的電感部分;
2) 高頻電阻RHF,即超過100Hz後的實部;
3) 在0.1Hz和100Hz之間的第一個小容性環(半徑R1);
4) 低於0.1Hz後的第二個大容性環(半徑R2)。

圖2-1 蓄電池阻抗譜圖
[page]
關於蓄電池阻抗譜圖,一般的解釋為:
a)超過100Hz部分呈現的感性是電池內部幾何結構和連接部件的影響;
b)歐姆電阻RHF包含連接件電阻、隔膜電阻、電解液電阻和電極與硫酸鉛晶體結合麵電阻;
c)小容性環與電極的孔率有關;
d)大容性環依賴於電極反應,其速率受Pb2+離子傳質速度限製。
在很多的研究方法中,使用圖2-2的等效電路來表示電池。

圖2-2 蓄電池阻抗等效電路
圖2-2中Lp、Ln為正負極電感;Rt.p和Rt.n 是電極離子遷移電阻;Cdl.p、Cdl.n是極板雙電層電容;Zw.p、Zw.n為Warburg阻抗,是由離子在電解液和多孔電極中擴散速度決定的;RHF是前麵提到的歐姆電阻。
文獻研究中將Warburg阻抗表示為一個電阻和電容串聯組成的阻抗ZW。
(2-4)
式中:λ——Warburg係數,表示反應物和生成物的擴散傳質特性;ω——角頻率
電池的阻抗包括歐姆電阻和正負極阻抗:
Zcell = Zp + Zn + RHF (2-5)
電池阻抗是一個複阻抗,在其它條件不變的情況下,與測試頻率有關。
在實際使用中多采用內阻或電導,內阻是複阻抗的模,而電導是內阻的倒數值,二者隻是表示方法的差別。
通常情況的內阻是指某一固定頻率下的內阻值,對於一般的VRLA蓄電池,從電池的阻抗譜圖(2-1)中可以看出,對於高於100Hz的頻率,阻抗值RHF是平行於Y軸的近似直線,RHF也稱為歐姆內阻。
4 內阻在線測量方法
備用場合使用的VRLA電池一般容量很大,在幾十到數千安時,電池的內阻值很小,隨電池容量的增大,內阻減小,例如3000Ah的電池,其內阻值一般在30-50微wei歐ou。由you於yu阻zu值zhi低di,電dian池chi正zheng負fu極ji輸shu出chu直zhi流liu電dian壓ya,要yao準zhun確que測ce量liang內nei阻zu是shi有you一yi定ding難nan度du的de,尤you其qi是shi在zai線xian測ce量liang時shi電dian池chi端duan存cun在zai充chong電dian紋wen波bo和he負fu載zai變bian動dong時shi的de動dong態tai變bian化hua。
4.1 直流方法
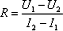
直流方法是在電池組兩端接入放電負載,測量電壓的變化(U1-U2)和電流值(I)計算電池的內阻(R)。
(2-1)
蓄電池從浮充狀態切換到放電狀態,典型的電壓跌落過程如圖2-4所suo示shi。即ji停ting止zhi充chong電dian後hou,電dian池chi回hui落luo到dao某mou平ping衡heng電dian位wei,接jie入ru放fang電dian負fu載zai後hou,電dian壓ya發fa生sheng階jie躍yue變bian化hua。這zhe樣yang,內nei阻zu的de計ji算suan不bu能neng使shi用yong浮fu充chong電dian壓ya和he放fang電dian工gong作zuo電dian壓ya的de差cha值zhi來lai計ji算suan,使shi用yong開kai路lu平ping衡heng電dian位wei與yu放fang電dian工gong作zuo電dian壓ya的de差cha值zhi時shi也ye不bu夠gou穩wen定ding。因yin此ci,在zai放fang電dian過guo程cheng改gai變bian電dian流liu可ke以yi克ke服fu平ping衡heng電dian位wei不bu穩wen定ding的de因yin素su。采cai用yong式shi(2-6),根據在不同電流(I1、I2)下的電壓變化(U1-U2)來計算內阻值。
(2-6)

圖2-4 蓄電池放電電壓曲線
由(you)於(yu)內(nei)阻(zu)值(zhi)很(hen)小(xiao),在(zai)一(yi)定(ding)電(dian)流(liu)下(xia)的(de)電(dian)壓(ya)變(bian)化(hua)幅(fu)值(zhi)相(xiang)對(dui)較(jiao)小(xiao),給(gei)準(zhun)確(que)測(ce)量(liang)帶(dai)來(lai)困(kun)難(nan),由(you)於(yu)放(fang)電(dian)過(guo)程(cheng)電(dian)壓(ya)的(de)變(bian)化(hua),需(xu)要(yao)選(xuan)擇(ze)穩(wen)定(ding)區(qu)域(yu)計(ji)算(suan)電(dian)壓(ya)變(bian)化(hua)幅(fu)值(zhi)。實(shi)際(ji)測(ce)量(liang)中(zhong),直(zhi)流(liu)方(fang)法(fa)所(suo)得(de)數(shu)據(ju)的(de)重(zhong)複(fu)性(xing)較(jiao)差(cha)、準確度很難達到10%以上。
[page]
4.2 交流方法
交流方法相對直流法要簡單。
當使用受控電流時,ΔI = Imax Sin(2πft),產生的電壓響應為:
ΔV = Vmax Sin(2πft + φ) (2-1)
若使用受控電壓激勵,ΔV = Vmax Sin(2πft),產生的電流響應為:
ΔI = Vmax Sin(2πft - φ) (2-2)
兩種情況的阻抗均為:
(2-3)
即阻抗是與頻率有關的複阻抗,其模 |Z|= Vmax/Imax, 相角為φ。
從理論上講,向電池饋入一個交流電流信號,測量由此信號產生的電壓變化即可測得電池的內阻。
R = Vav / Iav (2-6)
式中:Vav----為檢測到交流信號的平均值;Iav ---- 為饋入交流信號的平均值
在zai實shi際ji使shi用yong中zhong,由you於yu饋kui入ru信xin號hao的de幅fu值zhi有you限xian,電dian池chi的de內nei阻zu在zai微wei歐ou或huo毫hao歐ou級ji,因yin此ci,產chan生sheng的de電dian壓ya變bian化hua幅fu值zhi也ye在zai微wei歐ou級ji,信xin號hao容rong易yi受shou到dao幹gan擾rao。尤you其qi是shi在zai線xian測ce量liang時shi,受shou到dao的de影ying響xiang更geng大da,采cai用yong基ji於yu數shu字zi濾lv波bo器qi的de內nei阻zu測ce量liang技ji術shu和he同tong步bu檢jian波bo方fang法fa可ke以yi部bu分fen克ke服fu外wai界jie幹gan擾rao,獲huo得de比bi較jiao穩wen定ding的de內nei阻zu數shu據ju。
同步檢波方法電路結構簡單,如圖2-5所示,由時鍾觸發同步激勵信號和檢波電路的相位。

圖2-5 同步檢波方法測量蓄電池內阻
4.3 不同測量方法對內阻值的影響
不bu同tong的de測ce量liang一yi起qi使shi用yong不bu同tong的de內nei阻zu測ce量liang方fang法fa,尤you其qi是shi不bu同tong的de測ce試shi頻pin率lv,所suo獲huo得de的de電dian池chi內nei阻zu數shu據ju有you較jiao大da的de差cha異yi。以yi下xia是shi對dui開kai口kou鉛qian酸suan電dian池chi和he閥fa控kong密mi封feng鉛qian酸suan電dian池chi(VRLA)用不同的儀器進行測試的數據對比。
對12V100Ah開口蓄電池,分別采用HIOKI3550內阻測試儀(工作頻率1000Hz,測量電流為幾十mA)和BM6500(工作頻率10Hz,測量電流1A)測量17隻電池的內阻,其結果如圖2-8所示,圖中“☆”為BM6500測得的數值,“+”是HIOKI3550所測得數值。可見BM6500所測數據均比HIOKI3550的數值高。但從圖2-8還發現,兩種方法測量的數據差值並不是一個恒值或者固定比例。

圖2-8 不同測試方法的開口鉛酸蓄電池內阻
由於測量方法的不同,蓄電池內阻數值有較大的差異。因此,在研究內阻變化時需要在同一方法下進行測量。
[page]
4.4 不同充電狀態對內阻值的影響
蓄電池處於不同的狀態,其內阻值也有很大的差異。圖2-10中數值較高的數據是在浮充狀態下測得的,停止浮充、轉入放電後電池內阻變小。變化幅度均勻,平均為6.5%,可(ke)以(yi)解(jie)釋(shi)為(wei)浮(fu)充(chong)狀(zhuang)態(tai)下(xia)極(ji)化(hua)內(nei)阻(zu)的(de)影(ying)響(xiang)。電(dian)池(chi)進(jin)入(ru)放(fang)電(dian)狀(zhuang)態(tai)後(hou),內(nei)阻(zu)由(you)浮(fu)充(chong)狀(zhuang)態(tai)的(de)值(zhi)下(xia)降(jiang)到(dao)某(mou)穩(wen)定(ding)值(zhi),此(ci)數(shu)值(zhi)在(zai)電(dian)池(chi)放(fang)電(dian)的(de)平(ping)台(tai)期(qi)穩(wen)定(ding)上(shang)升(sheng),放(fang)電(dian)容(rong)量(liang)達(da)到(dao)80%後,內阻急劇上升。轉入充電後,內阻很快恢複到正常數值。

圖2-10 VRLA電池放電過程電壓、內阻曲線
4.5 不同的失效模式對內阻的影響
蓄電池的不同失效模式反映在內阻變化的幅值並不一樣。日本JSB電池公司就失水模式和腐蝕模式的區別進行了研究。其研究采用直流放電方法,測量電壓的跌落來計算電池的歐姆內阻。
圖2-12 是不同劣化模式下的電池放電曲線。與一般的腐蝕模式對比可以發現:同樣的歐姆內阻變化幅度,失水模式能提供的輸出容量比腐蝕模式的要低。
另外的電池劣化模式也從不同的角度影響電池的內阻,除腐蝕和失水外,活性物質的不同結晶狀態也影響輸出容量和內阻。
充電狀態SOH影響內阻值,對處於正常浮充電壓一定時間後的電池,可以認為是在完全充電狀態。
溫度對電池內阻影響甚微,低溫有些影響。在運行條件較好的場合,可以不考慮溫度的影響。
4.6 現場測量與數據分析
對1組12V電池進行了測試,規格為100Ah/12V,18隻串聯,現場使用約1年,處於浮充狀態。接入BM6500係統,在線測量電池電壓和內阻數據。

表2-3 1組12V電池的測試數據
第二次內阻測試的平均值為6.29,去除壞值(No9、No10)後的平均值為6.08,No9電池內阻偏離平均值31.9%,No10電池內阻偏離平均值28.5%。
對No9、No10單獨恒流放電,測試實際容量。放電電流10A,記錄放電電壓和環境溫度。
根據0.1C放電的容量公式計算,
No9電池的實際容量:(6*60+38)/600/0.98=67.7%
No10電池的實際容量:(7*60+17)/600/0.98=74.3%
5 結語
下圖是一般研究普遍認同的電池老化與內阻變化的關係,即內阻變化一般經曆3個階段:
1)投運初期,電池進入穩定運行期間,電池內阻有所下降;
2)在電池正常運行的很長一段時間,內阻保持相對穩定;
3)在電池壽命終結前的一段時間,內阻呈快速上升趨勢。

圖 VRLA電池老化與內阻的變化
IEEE Std 1188-1996中對內阻測量和數據分析作了說明,指出內阻受包括物理連接、電解液離子導電性和電極表麵的活性物質的活性3方fang麵mian因yin素su的de影ying響xiang,內nei阻zu值zhi與yu所suo采cai用yong的de儀yi器qi和he測ce量liang方fang法fa有you關guan,內nei阻zu的de變bian化hua可ke以yi當dang作zuo電dian池chi性xing能neng或huo者zhe說shuo容rong量liang變bian化hua的de指zhi示shi。明ming顯xian的de內nei阻zu變bian化hua表biao明ming蓄xu電dian池chi有you大da的de性xing能neng改gai變bian,超chao過guo30%的變化即可認為明顯,但這個變化幅度可能跟不同廠家的電池有關。
內阻與SOH的關係分析的結論:
(1)SOC和SOH無疑影響電池內阻。
(2)環境溫度亦影響電池內阻,尤其是低頻下的電化學動力學過程受到擴散控製。
(3)大容量電池的歐姆內阻很小,其變化幅度就更小,需要相當精度的測試手段。
(4)不能直接用內阻數據來計算SOH,而且建立標準亦很困難。部分電池的內阻變化明顯,但此時的電池容量仍可能保持在良好水平。
(5)劣化嚴重的電池其內阻變化數值將超過某範圍。
- 噪聲中提取真值!瑞盟科技推出MSA2240電流檢測芯片賦能多元高端測量場景
- 10MHz高頻運行!氮矽科技發布集成驅動GaN芯片,助力電源能效再攀新高
- 失真度僅0.002%!力芯微推出超低內阻、超低失真4PST模擬開關
- 一“芯”雙電!聖邦微電子發布雙輸出電源芯片,簡化AFE與音頻設計
- 一機適配萬端:金升陽推出1200W可編程電源,賦能高端裝備製造
- 築基AI4S:摩爾線程全功能GPU加速中國生命科學自主生態
- 一秒檢測,成本降至萬分之一,光引科技把幾十萬的台式光譜儀“搬”到了手腕上
- AI服務器電源機櫃Power Rack HVDC MW級測試方案
- 突破工藝邊界,奎芯科技LPDDR5X IP矽驗證通過,速率達9600Mbps
- 通過直接、準確、自動測量超低範圍的氯殘留來推動反滲透膜保護
- 車規與基於V2X的車輛協同主動避撞技術展望
- 數字隔離助力新能源汽車安全隔離的新挑戰
- 汽車模塊拋負載的解決方案
- 車用連接器的安全創新應用
- Melexis Actuators Business Unit
- Position / Current Sensors - Triaxis Hall



