加無源無損緩衝吸收的推挽正激變換器設計
發布時間:2012-01-04
中心議題:
- 推挽正激變換器的工作原理
- 加無源無損緩衝吸收的推挽正激變換器設計
解決方案:
- 緩衝吸收電路參數設計
推挽正激變換器是低壓大電流輸入場合的理想拓撲之一,但其輸出整流二極管上由於反向恢複產生很高的電壓尖峰。這將導致整流二極管選取困難,並影響其使用壽命。本(ben)文(wen)研(yan)究(jiu)了(le)一(yi)種(zhong)加(jia)無(wu)源(yuan)無(wu)損(sun)緩(huan)衝(chong)吸(xi)收(shou)的(de)推(tui)挽(wan)正(zheng)激(ji)變(bian)換(huan)器(qi),整(zheng)流(liu)二(er)極(ji)管(guan)上(shang)尖(jian)峰(feng)電(dian)壓(ya)小(xiao),可(ke)靠(kao)性(xing)高(gao)。並(bing)給(gei)出(chu)了(le)該(gai)變(bian)換(huan)器(qi)的(de)工(gong)作(zuo)原(yuan)理(li)和(he)緩(huan)衝(chong)電(dian)容(rong)的(de)參(can)數(shu)設(she)計(ji),還(hai)通(tong)過(guo)lkW實驗樣機給出了加緩衝吸收電路前後的實驗波形。樣機取得了高效率和高可靠性。
0 引言
在輸入低壓大電流場合,推挽正激變換器(Push-Pull Forward,PPF)因具有以下3方麵的優點而得到廣泛應用:
(1)輸入濾波器的體積和重最小;
(2)箝位電容無損耗地抑製了功率管的電壓尖峰;
(3)變壓器磁芯利用率高。
在輸出高電壓時(本文為360V),變bian壓ya器qi副fu邊bian線xian圈quan匝za數shu較jiao多duo,副fu邊bian漏lou感gan不bu可ke忽hu略lve。在zai整zheng流liu二er極ji管guan反fan向xiang恢hui複fu時shi間jian內nei,整zheng流liu二er極ji管guan上shang存cun在zai很hen高gao的de電dian壓ya尖jian峰feng,給gei整zheng流liu二er極ji管guan的de選xuan取qu帶dai來lai困kun難nan,並bing降jiang低di了le整zheng流liu二er極ji管guan的de可ke靠kao性xing。雖sui然ranRC或者RCD緩衝電路可以一定程度上抑製二極管的電壓尖峰,但是電阻上損耗較大。文獻[3]提出了一種簡單的無源無損緩衝吸收電路,可以較好地抑製整流二極管的電壓尖峰。
benwenjianggaiwusunhuanchongxishoudianluyingyongyuxudianchigongdiandetuiwanzhengjibianhuanqizhong,xianzhujiangdilezhengliuerjiguandedianyajianfeng。zhizuodeyuanliyangjidianlujiegoujiandan,gonglvqijiangongzuokekaoxinggao,bingqieshixianlegaodezhengjibianhuanxiaolv。
1 工作原理
圖1為加無損緩衝吸收的PPF電路。Ds1、Ds2分別為開關管S1、S2寄生的反並二極管,變壓器的Np1=Np2=Np、Ns1=Ns2=Ns分別為原、副邊的匝數,匝比n=Ns/Np,原邊兩個繞組的勵磁電感均為Lm,Lo(圖1中未標出)為變壓器原邊繞組的漏感.Lo’為折算到變壓器副邊繞組的漏感,D5、D6、D7、C1、C2構成無損緩衝吸收電路,且C1=C2=Cc。變壓器副邊兩個繞組的連接點與輸出濾波電容C3和C4的中點相連,輸出電壓為±V0/2。

在分析電路原理前,假定:
(1)S1、S2,D1、D2、D3、D4導通壓降忽略不計;
(2)箝位電容C較大,在穩態工作時兩端電壓保持為Vin不變;C3=C4=C0足夠大,將它看作電壓恒定為V0/2的電壓源;L1=L2=L足夠大,將它看作電流為I0的電流源;
(3)開關周期為Ts,S1、S2每個周期開通時間均為Ton,S1、S2工作的占空比D=Ton/Ts。
根據輸出電感的伏秒積分平衡,可得變換器輸入輸出關係:V0=4nDVin。
[page]
圖2為加無損緩衝吸收的PPF電路工作原理波形圖,一共分為14個工作模態。

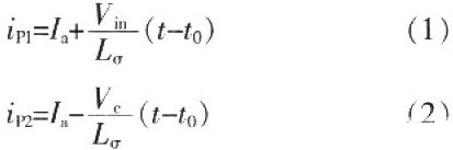
(1)工作模態l[t0-t1] 如圖3(a)所示,在t0以前,S1和S2都是關斷的,輸入電流沿回路Vin-Np-C-Np2環流,環流為Ia=2nDI0。原、副邊繞組電壓為零,整流二極管同時導通,iD1=iD2=I0/2。t0時刻,S1導通,Vin加在原邊漏感Lo上,ip1迅速增加;Vc加在繞組的漏感上,ip2迅速減小並反向增人。同時,流過iD1、iD4的電流增大,流過iD2、iD3的電流減小,此過程持續到iD2減小到0並且增大到最大反向恢複電流時結束。模態l中,Vc1=Vc2=0,VD5=VD6=Vo/2,VD7=0。

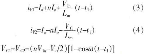
(2)工作模態2[t0-t2] 如圖3(b)所示,t1時刻,D2、D3中反向恢複電流達到最大值,D5、D6導通,D2、D3達到瞬時反向電壓Vo,緩衝電容C1(C2)和副邊漏感Lo’開始諧振。Vin、VC分別加在原邊繞組Np1、Np2上,ip1正向增大,ip2減小並反向增大。

兩端電壓從零開始諧振增大,在半個諧振周期後達到最大值VC1max=VC2max=2nVin-Vo,此時模態2結束。模態2中,VD5=VD6=0,VD7=Vo。二極管D2、D3兩端反向電壓從V0逐漸增大VD2=VD3=4nVin-V0。
[page]
(3)工作模態3[t2-t3] 如圖3(c)所示,t2時刻,D2、D3兩端電壓回落到穩態關斷值2nVin,D5、D6關斷。變壓器原邊工作的狀況同模態2。當Vin≤Vo/n時,VC1=VC2=2nVin-Vo,VD5=VD6=nVin-Vo/2,VD7=2V。-2nVin;當Vin≥V。/n時.VD5=VD6=Vo/2。C1和C2在此工作模態一開始就向負載釋放存儲的部分能量,電壓下降至VC1=VC2=nVin,此時VD7=O。
(4)工作模態4[t3-t5] 如圖3(d)所示,t3時刻,S1關斷,此前ip1始終大於ip2,因此在S1關斷瞬間S2的反並二極管DS2導通,此時,S1兩端的電壓被箝位到Vin+Vc=2Vin;繞組Np1中的漏感能量通過低阻抗回路Np1-c-Ds2釋放到箝位電容C中,繞組Np2中的漏感能量通過回路Np2-Ds2一Cin釋放到Cin中。同時,流過D1、D4中的電流減小,D7導通,C1、C2提供部分負載電流;直到t4時刻,D1、D4完全關斷,C1和C2提供全部負載電流。在該模態中,ip1不斷減小,ip2不斷正向增大,當ip1=ip2時,Ds2自然關斷,該工作模態結束。該模態中VD7=0,VD5=VD6=Vo/2。
(5)工作模態5[t5-t6] 如圖3(e)所示,t5時刻,D2和S2都關斷。在該模態中,環流Ia=ip1=ip2=2nDI。經過回路Vin-Np1-C-Np2給箝位電容C充電。副邊整流二極管全部關斷,C1和C2按照關係式(7)繼續給負載放電,提供全部的負載電流;VD5=VD6=Vo/2,VD7=O。當C1、C2放電為零時,該模態結束。

(6)工作模態6[t6-t7] 如圖3(f)所示,t6時刻,C1和C2放電為零,副邊整流二極管全部導通續流,iD1=iD2=Io/2。此時原邊開關管都處於關斷階段,環流Ia基本保持不變。VD7=O,VC1=VC2=0,VD5=VD6=Vo/2。
[page]

[page]
(7)工作模態7[t7-t14]
t7時刻,S2導通,開始下半個周期的工作,工作模態和上半個周期相同,隻是勵磁電流的方向相反,完成變壓器的去磁。
2 緩衝吸收電路參數設計
緩衝電容的選取直接關係到整流二極管電壓尖峰的抑製效果。由前麵模態2分析可知,緩衝電容若選取過小,諧振周期過短,尖峰抑製效果不明顯;若選取過大,雖然可以很好地抑製電壓尖峰,但是緩衝電容充放電時間過長,將影響PPF電路正常工作模態,甚至占據整個二極管的續流過程,引起原邊開關管電流尖峰過大。實際在選取緩衝電容Cc時使諧振周期滿足式(8)條件:
![]()
3 實驗結果
為了驗證無損緩衝電路的尖峰吸收過程,研製了一台1 000W的實驗樣機。實驗參數確定為:Vin=18V~32V,Vo=360V,n=9.5,C=33.3μF,L1=L2=320μH,C1=C2=4.7nF,C3=C4=470μF,Ts=20μs。S1和S2為FQAl40N10;D1、D2、D3、D4采用CSD10120,D5、D6、D7采用DSE112-06。
圖4(a)和圖4(b)給出了在額定輸入27V、輸出l 000W時,不加緩衝電路和加緩衝電路時整流二極管vD1的電壓波形。從實驗波形中可以看出,加緩衝電路後,vD1的電壓尖峰減小了300V左右,表明緩衝電路對整流二極管的電壓尖峰具有很好的抑製作用。圖4(b)中,S1關斷後,在4個整流管都續流前,vD1波形有一小段突起,對應的是緩衝電容C1和C2給負載放電的過程。

[page]
圖5給出了緩衝電路各器件的電壓波形,波形從上往下依次是vgsl、vC1、vD7、vD5。當任何一個開關管開通時,緩衝電容充電,抑製了關斷整流管的電壓尖峰;當任何一個開關管關斷時,緩衝電容給負載釋放能量,然後4個整流二極管均導通續流。整流二極管和緩衝二極管上振蕩周期均為
和緩衝電容無關。其中,CD為整流二極管導通時的等效結電容。

圖6為該變換器在24V、27V、30V輸入時對應不同輸出功率的的效率分布曲線圖。其中輸入電壓為24V,輸出功率600W時最高效率可達93.1%,27V滿載1 000W時效率為92.8%。

4 結語
本ben文wen研yan究jiu了le一yi種zhong高gao效xiao率lv高gao可ke靠kao性xing的de推tui挽wan正zheng激ji直zhi流liu變bian換huan器qi。針zhen對dui整zheng流liu二er極ji管guan上shang的de電dian壓ya尖jian峰feng高gao,應ying用yong了le一yi種zhong無wu源yuan無wu損sun的de緩huan衝chong吸xi收shou電dian路lu,可ke以yi很hen好hao地di抑yi製zhi整zheng流liu二er極ji管guan上shang的de電dian壓ya尖jian峰feng。詳xiang細xi地di分fen析xi了le該gai推tui挽wan正zheng激ji直zhi流liu變bian換huan器qi的de工gong作zuo原yuan理li,給gei出chu了le緩huan衝chong電dian路lu的de參can數shu設she汁zhi,並bing通tong過guo研yan製zhi的de1kW實驗樣機,驗證了該緩衝吸收電路良好的尖峰抑製效果,從而提高了整流二極管工作時的可靠性。同時,實驗樣機也取得了高效率。
- 噪聲中提取真值!瑞盟科技推出MSA2240電流檢測芯片賦能多元高端測量場景
- 10MHz高頻運行!氮矽科技發布集成驅動GaN芯片,助力電源能效再攀新高
- 失真度僅0.002%!力芯微推出超低內阻、超低失真4PST模擬開關
- 一“芯”雙電!聖邦微電子發布雙輸出電源芯片,簡化AFE與音頻設計
- 一機適配萬端:金升陽推出1200W可編程電源,賦能高端裝備製造
- 2026藍牙亞洲大會暨展覽在深啟幕
- 新市場與新場景推動嵌入式係統研發走向統一開發平台
- 維智捷發布中國願景
- 2秒啟動係統 • 資源受限下HMI最優解,米爾RK3506開發板× LVGL Demo演示
- H橋降壓-升壓電路中的交替控製與帶寬優化
- 車規與基於V2X的車輛協同主動避撞技術展望
- 數字隔離助力新能源汽車安全隔離的新挑戰
- 汽車模塊拋負載的解決方案
- 車用連接器的安全創新應用
- Melexis Actuators Business Unit
- Position / Current Sensors - Triaxis Hall


