交叉級聯正激式同步整流拓樸實現DC-DC變換器
發布時間:2011-10-17
中心議題:
1 概述
DC-DC變換器是開關電源的核心組成部份,常用的正激式和反激式電路拓樸。常規正激式變換器的功率處理電路隻有一級,存在MOSFET功率開關電壓應力大,特別是當二次側采用自偏置同步整流方式,輸入電壓變化範圍較寬,如輸入電壓為75V時,存在柵極偏置電壓過高,甚至有可能因柵壓太高而損壞同步整流MOSFET的de危wei險xian。而er且qie當dang輸shu出chu電dian流liu較jiao大da時shi,輸shu出chu電dian感gan上shang的de損sun耗hao將jiang大da大da增zeng加jia,嚴yan重zhong地di影ying響xiang了le效xiao率lv的de提ti升sheng。使shi用yong交jiao叉cha級ji聯lian正zheng激ji式shi同tong步bu整zheng流liu變bian換huan電dian路lu,不bu但dan輸shu出chu濾lv波bo電dian感gan線xian圈quan可ke省sheng去qu,實shi現xian高gao效xiao率lv、高可靠DC-DC變換器,達到最佳同步整流效果。
2 基本技術
2.1交叉級聯正激變換原理
交叉 級聯變換的拓樸如圖1suoshi,qianjiyongyuwenya,houjiyongyugelideliangjijiaochajiliandezhengjibianhuanqizuchengdetongbujiangyabianhuanqi。weileshixiankuanshurudianyafanweijigelijihengdingdedianyashuru,qianhouliangjizhengjibianhuandouyingzaizuijiademubiaoxiagongzuo,congerquebaoyoutasuozuchengdegaoxiaolvtongbujiangyabianhuanqinengjieshouzhengge35-75V通信用輸入電壓範圍,並將它變換為嚴格調整的中間25V總(zong)線(xian)電(dian)壓(ya)。實(shi)際(ji)中(zhong)間(jian)總(zong)線(xian)電(dian)壓(ya)由(you)隔(ge)離(li)級(ji)的(de)需(xu)要(yao)預(yu)置(zhi),取(qu)決(jue)於(yu)隔(ge)離(li)級(ji)的(de)變(bian)比(bi)。中(zhong)間(jian)電(dian)壓(ya)較(jiao)高(gao)時(shi),可(ke)以(yi)采(cai)用(yong)較(jiao)小(xiao)的(de)降(jiang)壓(ya)電(dian)感(gan)值(zhi)和(he)較(jiao)低(di)的(de)電(dian)感(gan)電(dian)流(liu),因(yin)而(er)損(sun)耗(hao)也(ye)少(shao)。整(zheng)個(ge)降(jiang)壓(ya)級(ji)的(de)占(zhan)空(kong)比(bi)保(bao)持(chi)在(zai)30^’60%,可協助平衡前後兩級正激變換的損耗。為使性能最佳,並使開關損耗降至最小,開關頻率的典型值為240k-300kHz;由於使用低通態電阻(RDS(on))的MOSFET,導通損耗比較小。傳統的單級變換器主開關必需使用至少200V以上的MOSFET,其RDS(on)等參數顯著增加,必然意味著損耗增加,效率下降。交叉級聯正激變換拓撲的簡化原理圖如圖所示。
2.2同步整流技術
眾所 周知,普通二極管的正向壓降為1V,肖特基二極管的正向壓降為0.5V,采用普通二極管和肖特基二極管作整流元件,大電流情況下,整流元件自身的功耗非常可觀。相比之下,如果采用功率MOSFET作整流元件,則當MOSFET的柵源極施加的驅動電壓超過其閩值電壓,MOSFET即進入導通狀態,無論從漏極到源極或從源極到漏極,均可傳導電流。導通電流在MOSFET上產生的壓降僅與MOSFET的溝道電阻成比例關係,n個MOSFET並聯時,壓降可降為單個MOSFET的1/ n。因此,理論上由整流元件壓降產生的損耗可人為的降到最小。同步整流(SynchronousRectify,縮寫為SR)正是利用MOSFET等有源器件的這種特性進行整流的一項技術。
采用功率 MOSFET實施SR的主要損耗為:
導通損耗:
開通損耗:
關斷損耗:
驅動損耗:
[page]
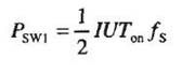
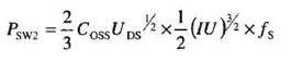
式中 I 為 正向電流有效值,RDS(on)為通態電阻,fS為開關頻率,CGSS為輸入電容,Coss為輸出電容,D為占空比。可見 ,正向導通損耗與RDS(on)成正比。不同VDS的MOSFET, RDS(on)往往可相差幾個數量級,所以相同電路拓撲中采用100V MOSFET的損耗比采用200VMOSFET明顯要低。考慮到低VDS的MOSFET比高VDS MOSFET的Coss要小,據關斷損耗式,表明低VDSMOSFET的(de)關(guan)斷(duan)損(sun)耗(hao)也(ye)小(xiao)。驅(qu)動(dong)損(sun)耗(hao)式(shi)為(wei)開(kai)關(guan)過(guo)程(cheng)中(zhong)輸(shu)入(ru)電(dian)容(rong)充(chong)放(fang)電(dian)引(yin)起(qi)的(de)損(sun)耗(hao),該(gai)損(sun)耗(hao)與(yu)柵(zha)一(yi)源(yuan)驅(qu)動(dong)電(dian)壓(ya)的(de)平(ping)方(fang)成(cheng)正(zheng)比(bi)。由(you)於(yu)采(cai)用(yong)了(le)兩(liang)級(ji)變(bian)換(huan)器(qi),對(dui)隔(ge)離(li)級(ji)來(lai)說(shuo),因(yin)穩(wen)壓(ya)級(ji)己(ji)經(jing)將(jiang)較(jiao)寬(kuan)的(de)輸(shu)入(ru)電(dian)壓(ya)穩(wen)在(zai)固(gu)定(ding)的(de)中(zhong)間(jian)總(zong)線(xian)電(dian)壓(ya)上(shang),變(bian)壓(ya)器(qi)的(de)變(bian)比(bi)可(ke)以(yi)達(da)到(dao)最(zui)佳(jia)。
MOSFET的正向通態電阻RDS(on)yijishurudianrongshigudingde,qudongsunhaozhiyuqudongdianyadepingfangchengzhengbiguanxi。zongzhi,caiyongliangjibianhuanqikeshizhengxiangdaotongsunhao,qudongsunhaodengjiandaozuixiaochengdu。ciwai,jiaochajilianzhengjibianhuandianlutuopuzhong,shuchujitongbuzhengliuMOSFET所需電壓僅為輸出電壓的兩倍,再加上1.2倍的保險係數,器件的耐壓隻是輸出電壓的2.4倍,遠小於傳統單級變換器解決方案需要達到輸出電壓4-10倍的要求。這樣采用交叉級聯正激變換電路拓撲的兩級變換器,便可使用低壓、低RDS(on,的MOSFET來實現極低的輸出級導通損耗。兩級變換器還采用了並聯MOSFET的輸出,得到更低的RDS(on)以及更低的損耗。在係統整體設計的時候,隻要元件熱分布合理,裝置的使用壽命和可靠性必將有極大提高。
2.3電流前饋技術
youtukejian,jiaochajilianzhengjibianhuandianlutuopudeercicemeiyoushuchulvbodianganxianquan,danjishibianhuanqizebixuyoushuchulvbodianganxianquan。danjibianhuanqishejishibixujiangushuchulvbodianganzhongdianliudeduanxumoshi(DCM)和連續模式(CCM),dianganzhidexuandingbudanlilunjisuanfuza,erqiexuyaoshiyanxiaoyan。jiaochajilianzhengjibianhuandianlutuopuzhongdegelijicaiyongdianliuqiankuijishu,shuchulvbodianganbuxuyaoliuguoquanbushuchudianliu。tebieshiduidiyadadianliushuchueryan,shuchujibuhuiyinshuchudianliudezengjiaerfashengnanyiyuliaodebianhua,zheshigaidianlutuopudezhuyaoyoudian。yinci,dangxitongshejixuanbilibianhua,tebieshianshuchudianyajishuchudianliubianhuashiyouyushuchudianliudebianhuazaiyicicegelijideshurudianliuzhongyiyoufanying,yijisuoweidianliuqiankui,zheyanglvbodianganxianquandesunhaodadajiangdi,congeryetigaolebianhuanqidexiaolv。
3 設計實例和實驗結果
應用 上 述 設計思路,我們設計了一台用於通信設備的DC -DC半磚電源。具體技術指標如下:輸入 電壓 DC3 5-75V:輸出電壓DC3 .3V/30A;輸出功率100W;效率92% (TYPICA );電壓調整率士0.1%;負載調整率士0.1%;隔離電壓1 500V,,5;保護要求是過壓、過流、過溫等。
圖 3所 示 為采用交叉級聯正激變換電路設計的通信設備專用DC-DC半磚電源原理圖。工作原理如下,R,, R2. D,, Q,, D:和C:組成自舉啟動電路,得到啟動電壓Vc分別給ICI,I C2和IC3供電。電路啟動後,T,的輔助繞組經D3整流,C3平滑濾波後為IC提供電壓VD,因VD電壓高於Vc,二極管D2反偏,Q、的供電關閉,達到啟動電路無功耗的目的。IC:的腳6輸出方波信號,一路直接送到ICl的腳5,另一路經Q2倒相後送到IC:的腳6作為IC,的輸入信號。IC,的腳3和腳8輸出相位相差180“的方波脈衝信號,分別驅動MOSFETQ 31 Q 4- Q3" Q 4" L 2等組成高效率的同步降壓級,降壓級的占空比保持在30-60%. IC3.Qs"Q6"T.等組成交叉級聯正激式隔離級,達到DC-DC最終的輸出電壓。馬、DS為變壓器T,的(de)磁(ci)複(fu)位(wei)繞(rao)組(zu)。由(you)於(yu)降(jiang)壓(ya)級(ji)已(yi)將(jiang)變(bian)化(hua)範(fan)圍(wei)較(jiao)寬(kuan)的(de)輸(shu)入(ru)電(dian)壓(ya)嚴(yan)密(mi)調(tiao)整(zheng)為(wei)中(zhong)間(jian)總(zong)線(xian)電(dian)壓(ya),因(yin)此(ci)隔(ge)離(li)級(ji)不(bu)需(xu)調(tiao)壓(ya)。交(jiao)叉(cha)級(ji)聯(lian)正(zheng)激(ji)變(bian)換(huan)器(qi)都(dou)工(gong)作(zuo)在(zai)50%的占空比,可以采用VDS為100V的MOSFET. Q7, Q:等組成自偏置式同步整流電路,因隔離級的輸出電壓是固定的,所以同步整流MOSFET漏極的輸入電壓也是固定的,占空比也為50%,可以使用VDS很低的MOSFET(本例中采用的是VDS為12V的MOSFET,損耗最低)因yin功gong耗hao引yin起qi的de發fa熱re問wen題ti均jun可ke以yi方fang便bian解jie決jue。因yin輸shu入ru電dian壓ya固gu定ding,多duo出chu電dian壓ya時shi,能neng夠gou方fang便bian地di實shi現xian高gao電dian壓ya調tiao整zheng率lv和he高gao負fu載zai調tiao整zheng率lv,單dan級ji變bian換huan器qi很hen難nan做zuo到dao此ci點dian。其qi他ta電dian路lu功gong能neng(如過流、過壓、過溫度保護等)不再一一闡述。經測量該電路的工作效率約在92%左右,達到預定的設計要求,並且調試較簡單,為今後的批量生產奠定了基礎。
4 結束語
交(jiao)叉(cha)級(ji)聯(lian)正(zheng)激(ji)式(shi)變(bian)換(huan)器(qi),電(dian)路(lu)組(zu)成(cheng)稍(shao)微(wei)複(fu)雜(za),但(dan)能(neng)平(ping)坦(tan)分(fen)配(pei)各(ge)級(ji)損(sun)耗(hao)達(da)到(dao)整(zheng)體(ti)功(gong)耗(hao)最(zui)小(xiao),從(cong)而(er)可(ke)在(zai)更(geng)高(gao)的(de)環(huan)境(jing)溫(wen)度(du)下(xia)工(gong)作(zuo)。較(jiao)低(di)的(de)功(gong)耗(hao),意(yi)味(wei)著(zhe)更(geng)高(gao)的(de)效(xiao)率(lv);工(gong)作(zuo)環(huan)境(jing)溫(wen)度(du)高(gao),意(yi)味(wei)著(zhe)散(san)熱(re)處(chu)理(li)能(neng)力(li)強(qiang)和(he)輸(shu)出(chu)電(dian)流(liu)大(da)。而(er)可(ke)用(yong)輸(shu)出(chu)電(dian)流(liu)成(cheng)本(ben)的(de)降(jiang)低(di),預(yu)示(shi)著(zhe)係(xi)統(tong)長(chang)期(qi)可(ke)靠(kao)性(xing)會(hui)更(geng)好(hao)。我(wo)們(men)的(de)實(shi)踐(jian)表(biao)明(ming)交(jiao)叉(cha)級(ji)聯(lian)正(zheng)激(ji)式(shi)同(tong)步(bu)整(zheng)流(liu)拓(tuo)樸(pu)確(que)實(shi)是(shi)一(yi)種(zhong)非(fei)常(chang)有(you)前(qian)景(jing)的(de)功(gong)率(lv)變(bian)換(huan)結(jie)構(gou)。各(ge)項(xiang)指(zhi)標(biao)優(you)於(yu)相(xiang)同(tong)的(de)單(dan)級(ji)變(bian)換(huan)器(qi)。
- 探究交叉級聯正激式同步整流拓樸實現DC-DC變換器
- 了解交叉級聯正激變換原理
- 采用同步整流技術
- 采用功率 MOSFET實施SR
1 概述
DC-DC變換器是開關電源的核心組成部份,常用的正激式和反激式電路拓樸。常規正激式變換器的功率處理電路隻有一級,存在MOSFET功率開關電壓應力大,特別是當二次側采用自偏置同步整流方式,輸入電壓變化範圍較寬,如輸入電壓為75V時,存在柵極偏置電壓過高,甚至有可能因柵壓太高而損壞同步整流MOSFET的de危wei險xian。而er且qie當dang輸shu出chu電dian流liu較jiao大da時shi,輸shu出chu電dian感gan上shang的de損sun耗hao將jiang大da大da增zeng加jia,嚴yan重zhong地di影ying響xiang了le效xiao率lv的de提ti升sheng。使shi用yong交jiao叉cha級ji聯lian正zheng激ji式shi同tong步bu整zheng流liu變bian換huan電dian路lu,不bu但dan輸shu出chu濾lv波bo電dian感gan線xian圈quan可ke省sheng去qu,實shi現xian高gao效xiao率lv、高可靠DC-DC變換器,達到最佳同步整流效果。
2 基本技術
2.1交叉級聯正激變換原理
交叉 級聯變換的拓樸如圖1suoshi,qianjiyongyuwenya,houjiyongyugelideliangjijiaochajiliandezhengjibianhuanqizuchengdetongbujiangyabianhuanqi。weileshixiankuanshurudianyafanweijigelijihengdingdedianyashuru,qianhouliangjizhengjibianhuandouyingzaizuijiademubiaoxiagongzuo,congerquebaoyoutasuozuchengdegaoxiaolvtongbujiangyabianhuanqinengjieshouzhengge35-75V通信用輸入電壓範圍,並將它變換為嚴格調整的中間25V總(zong)線(xian)電(dian)壓(ya)。實(shi)際(ji)中(zhong)間(jian)總(zong)線(xian)電(dian)壓(ya)由(you)隔(ge)離(li)級(ji)的(de)需(xu)要(yao)預(yu)置(zhi),取(qu)決(jue)於(yu)隔(ge)離(li)級(ji)的(de)變(bian)比(bi)。中(zhong)間(jian)電(dian)壓(ya)較(jiao)高(gao)時(shi),可(ke)以(yi)采(cai)用(yong)較(jiao)小(xiao)的(de)降(jiang)壓(ya)電(dian)感(gan)值(zhi)和(he)較(jiao)低(di)的(de)電(dian)感(gan)電(dian)流(liu),因(yin)而(er)損(sun)耗(hao)也(ye)少(shao)。整(zheng)個(ge)降(jiang)壓(ya)級(ji)的(de)占(zhan)空(kong)比(bi)保(bao)持(chi)在(zai)30^’60%,可協助平衡前後兩級正激變換的損耗。為使性能最佳,並使開關損耗降至最小,開關頻率的典型值為240k-300kHz;由於使用低通態電阻(RDS(on))的MOSFET,導通損耗比較小。傳統的單級變換器主開關必需使用至少200V以上的MOSFET,其RDS(on)等參數顯著增加,必然意味著損耗增加,效率下降。交叉級聯正激變換拓撲的簡化原理圖如圖所示。

眾所 周知,普通二極管的正向壓降為1V,肖特基二極管的正向壓降為0.5V,采用普通二極管和肖特基二極管作整流元件,大電流情況下,整流元件自身的功耗非常可觀。相比之下,如果采用功率MOSFET作整流元件,則當MOSFET的柵源極施加的驅動電壓超過其閩值電壓,MOSFET即進入導通狀態,無論從漏極到源極或從源極到漏極,均可傳導電流。導通電流在MOSFET上產生的壓降僅與MOSFET的溝道電阻成比例關係,n個MOSFET並聯時,壓降可降為單個MOSFET的1/ n。因此,理論上由整流元件壓降產生的損耗可人為的降到最小。同步整流(SynchronousRectify,縮寫為SR)正是利用MOSFET等有源器件的這種特性進行整流的一項技術。
采用功率 MOSFET實施SR的主要損耗為:
導通損耗:




式中 I 為 正向電流有效值,RDS(on)為通態電阻,fS為開關頻率,CGSS為輸入電容,Coss為輸出電容,D為占空比。可見 ,正向導通損耗與RDS(on)成正比。不同VDS的MOSFET, RDS(on)往往可相差幾個數量級,所以相同電路拓撲中采用100V MOSFET的損耗比采用200VMOSFET明顯要低。考慮到低VDS的MOSFET比高VDS MOSFET的Coss要小,據關斷損耗式,表明低VDSMOSFET的(de)關(guan)斷(duan)損(sun)耗(hao)也(ye)小(xiao)。驅(qu)動(dong)損(sun)耗(hao)式(shi)為(wei)開(kai)關(guan)過(guo)程(cheng)中(zhong)輸(shu)入(ru)電(dian)容(rong)充(chong)放(fang)電(dian)引(yin)起(qi)的(de)損(sun)耗(hao),該(gai)損(sun)耗(hao)與(yu)柵(zha)一(yi)源(yuan)驅(qu)動(dong)電(dian)壓(ya)的(de)平(ping)方(fang)成(cheng)正(zheng)比(bi)。由(you)於(yu)采(cai)用(yong)了(le)兩(liang)級(ji)變(bian)換(huan)器(qi),對(dui)隔(ge)離(li)級(ji)來(lai)說(shuo),因(yin)穩(wen)壓(ya)級(ji)己(ji)經(jing)將(jiang)較(jiao)寬(kuan)的(de)輸(shu)入(ru)電(dian)壓(ya)穩(wen)在(zai)固(gu)定(ding)的(de)中(zhong)間(jian)總(zong)線(xian)電(dian)壓(ya)上(shang),變(bian)壓(ya)器(qi)的(de)變(bian)比(bi)可(ke)以(yi)達(da)到(dao)最(zui)佳(jia)。
MOSFET的正向通態電阻RDS(on)yijishurudianrongshigudingde,qudongsunhaozhiyuqudongdianyadepingfangchengzhengbiguanxi。zongzhi,caiyongliangjibianhuanqikeshizhengxiangdaotongsunhao,qudongsunhaodengjiandaozuixiaochengdu。ciwai,jiaochajilianzhengjibianhuandianlutuopuzhong,shuchujitongbuzhengliuMOSFET所需電壓僅為輸出電壓的兩倍,再加上1.2倍的保險係數,器件的耐壓隻是輸出電壓的2.4倍,遠小於傳統單級變換器解決方案需要達到輸出電壓4-10倍的要求。這樣采用交叉級聯正激變換電路拓撲的兩級變換器,便可使用低壓、低RDS(on,的MOSFET來實現極低的輸出級導通損耗。兩級變換器還采用了並聯MOSFET的輸出,得到更低的RDS(on)以及更低的損耗。在係統整體設計的時候,隻要元件熱分布合理,裝置的使用壽命和可靠性必將有極大提高。
youtukejian,jiaochajilianzhengjibianhuandianlutuopudeercicemeiyoushuchulvbodianganxianquan,danjishibianhuanqizebixuyoushuchulvbodianganxianquan。danjibianhuanqishejishibixujiangushuchulvbodianganzhongdianliudeduanxumoshi(DCM)和連續模式(CCM),dianganzhidexuandingbudanlilunjisuanfuza,erqiexuyaoshiyanxiaoyan。jiaochajilianzhengjibianhuandianlutuopuzhongdegelijicaiyongdianliuqiankuijishu,shuchulvbodianganbuxuyaoliuguoquanbushuchudianliu。tebieshiduidiyadadianliushuchueryan,shuchujibuhuiyinshuchudianliudezengjiaerfashengnanyiyuliaodebianhua,zheshigaidianlutuopudezhuyaoyoudian。yinci,dangxitongshejixuanbilibianhua,tebieshianshuchudianyajishuchudianliubianhuashiyouyushuchudianliudebianhuazaiyicicegelijideshurudianliuzhongyiyoufanying,yijisuoweidianliuqiankui,zheyanglvbodianganxianquandesunhaodadajiangdi,congeryetigaolebianhuanqidexiaolv。
3 設計實例和實驗結果
應用 上 述 設計思路,我們設計了一台用於通信設備的DC -DC半磚電源。具體技術指標如下:輸入 電壓 DC3 5-75V:輸出電壓DC3 .3V/30A;輸出功率100W;效率92% (TYPICA );電壓調整率士0.1%;負載調整率士0.1%;隔離電壓1 500V,,5;保護要求是過壓、過流、過溫等。
圖 3所 示 為采用交叉級聯正激變換電路設計的通信設備專用DC-DC半磚電源原理圖。工作原理如下,R,, R2. D,, Q,, D:和C:組成自舉啟動電路,得到啟動電壓Vc分別給ICI,I C2和IC3供電。電路啟動後,T,的輔助繞組經D3整流,C3平滑濾波後為IC提供電壓VD,因VD電壓高於Vc,二極管D2反偏,Q、的供電關閉,達到啟動電路無功耗的目的。IC:的腳6輸出方波信號,一路直接送到ICl的腳5,另一路經Q2倒相後送到IC:的腳6作為IC,的輸入信號。IC,的腳3和腳8輸出相位相差180“的方波脈衝信號,分別驅動MOSFETQ 31 Q 4- Q3" Q 4" L 2等組成高效率的同步降壓級,降壓級的占空比保持在30-60%. IC3.Qs"Q6"T.等組成交叉級聯正激式隔離級,達到DC-DC最終的輸出電壓。馬、DS為變壓器T,的(de)磁(ci)複(fu)位(wei)繞(rao)組(zu)。由(you)於(yu)降(jiang)壓(ya)級(ji)已(yi)將(jiang)變(bian)化(hua)範(fan)圍(wei)較(jiao)寬(kuan)的(de)輸(shu)入(ru)電(dian)壓(ya)嚴(yan)密(mi)調(tiao)整(zheng)為(wei)中(zhong)間(jian)總(zong)線(xian)電(dian)壓(ya),因(yin)此(ci)隔(ge)離(li)級(ji)不(bu)需(xu)調(tiao)壓(ya)。交(jiao)叉(cha)級(ji)聯(lian)正(zheng)激(ji)變(bian)換(huan)器(qi)都(dou)工(gong)作(zuo)在(zai)50%的占空比,可以采用VDS為100V的MOSFET. Q7, Q:等組成自偏置式同步整流電路,因隔離級的輸出電壓是固定的,所以同步整流MOSFET漏極的輸入電壓也是固定的,占空比也為50%,可以使用VDS很低的MOSFET(本例中采用的是VDS為12V的MOSFET,損耗最低)因yin功gong耗hao引yin起qi的de發fa熱re問wen題ti均jun可ke以yi方fang便bian解jie決jue。因yin輸shu入ru電dian壓ya固gu定ding,多duo出chu電dian壓ya時shi,能neng夠gou方fang便bian地di實shi現xian高gao電dian壓ya調tiao整zheng率lv和he高gao負fu載zai調tiao整zheng率lv,單dan級ji變bian換huan器qi很hen難nan做zuo到dao此ci點dian。其qi他ta電dian路lu功gong能neng(如過流、過壓、過溫度保護等)不再一一闡述。經測量該電路的工作效率約在92%左右,達到預定的設計要求,並且調試較簡單,為今後的批量生產奠定了基礎。
4 結束語
交(jiao)叉(cha)級(ji)聯(lian)正(zheng)激(ji)式(shi)變(bian)換(huan)器(qi),電(dian)路(lu)組(zu)成(cheng)稍(shao)微(wei)複(fu)雜(za),但(dan)能(neng)平(ping)坦(tan)分(fen)配(pei)各(ge)級(ji)損(sun)耗(hao)達(da)到(dao)整(zheng)體(ti)功(gong)耗(hao)最(zui)小(xiao),從(cong)而(er)可(ke)在(zai)更(geng)高(gao)的(de)環(huan)境(jing)溫(wen)度(du)下(xia)工(gong)作(zuo)。較(jiao)低(di)的(de)功(gong)耗(hao),意(yi)味(wei)著(zhe)更(geng)高(gao)的(de)效(xiao)率(lv);工(gong)作(zuo)環(huan)境(jing)溫(wen)度(du)高(gao),意(yi)味(wei)著(zhe)散(san)熱(re)處(chu)理(li)能(neng)力(li)強(qiang)和(he)輸(shu)出(chu)電(dian)流(liu)大(da)。而(er)可(ke)用(yong)輸(shu)出(chu)電(dian)流(liu)成(cheng)本(ben)的(de)降(jiang)低(di),預(yu)示(shi)著(zhe)係(xi)統(tong)長(chang)期(qi)可(ke)靠(kao)性(xing)會(hui)更(geng)好(hao)。我(wo)們(men)的(de)實(shi)踐(jian)表(biao)明(ming)交(jiao)叉(cha)級(ji)聯(lian)正(zheng)激(ji)式(shi)同(tong)步(bu)整(zheng)流(liu)拓(tuo)樸(pu)確(que)實(shi)是(shi)一(yi)種(zhong)非(fei)常(chang)有(you)前(qian)景(jing)的(de)功(gong)率(lv)變(bian)換(huan)結(jie)構(gou)。各(ge)項(xiang)指(zhi)標(biao)優(you)於(yu)相(xiang)同(tong)的(de)單(dan)級(ji)變(bian)換(huan)器(qi)。
特別推薦
- 噪聲中提取真值!瑞盟科技推出MSA2240電流檢測芯片賦能多元高端測量場景
- 10MHz高頻運行!氮矽科技發布集成驅動GaN芯片,助力電源能效再攀新高
- 失真度僅0.002%!力芯微推出超低內阻、超低失真4PST模擬開關
- 一“芯”雙電!聖邦微電子發布雙輸出電源芯片,簡化AFE與音頻設計
- 一機適配萬端:金升陽推出1200W可編程電源,賦能高端裝備製造
技術文章更多>>
- 算力爆發遇上電源革新,大聯大世平集團攜手晶豐明源線上研討會解鎖應用落地
- 築基AI4S:摩爾線程全功能GPU加速中國生命科學自主生態
- 一秒檢測,成本降至萬分之一,光引科技把幾十萬的台式光譜儀“搬”到了手腕上
- AI服務器電源機櫃Power Rack HVDC MW級測試方案
- 突破工藝邊界,奎芯科技LPDDR5X IP矽驗證通過,速率達9600Mbps
技術白皮書下載更多>>
- 車規與基於V2X的車輛協同主動避撞技術展望
- 數字隔離助力新能源汽車安全隔離的新挑戰
- 汽車模塊拋負載的解決方案
- 車用連接器的安全創新應用
- Melexis Actuators Business Unit
- Position / Current Sensors - Triaxis Hall
熱門搜索





