基於紅外線光電開關的測速係統設計與應用
發布時間:2011-10-13
中心議題:
- 紅外線光電開關測速係統工作原理
- 紅外線光電開關測速係統設計
- 紅外線光電開關測速係統誤差分析
解決方案:
- 紅外線光電開關測速係統的計時電路設計
- 紅外線光電開關測速係統的軟件設計
隨sui著zhe現xian代dai科ke技ji的de不bu斷duan進jin步bu,各ge個ge領ling域yu對dui測ce速su係xi統tong的de應ying用yong越yue來lai越yue多duo,同tong時shi也ye對dui測ce速su精jing度du的de要yao求qiu日ri益yi苛ke刻ke。文wen中zhong提ti出chu一yi種zhong基ji於yu紅hong外wai線xian光guang電dian開kai關guan的de測ce速su係xi統tong,采cai用yongNI6251高速數據采集卡以及LabVIEW軟件設計代替了傳統的基於單片機或FPGA等自行設計的硬件電路所組成的數據采集分析係統,提高了測速係統的可靠性和測量精度。文中介紹了整個測速係統的工作原理、結構設計和軟件設計,並進行了係統的誤差分析。現場試驗結果證明,該方法能夠將高速直線運動物體的測試誤差保證在0.0015%以內。
1 測速係統工作原理
紅外光電開關測速是通過2 個光電開關之間的距離s 以及測量運動物體通過2 個光電開關的時間間隔t 然後做除法而得到其平均速度的測速方法。
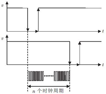
當(dang)無(wu)運(yun)動(dong)物(wu)體(ti)遮(zhe)擋(dang)光(guang)電(dian)開(kai)關(guan)時(shi),光(guang)電(dian)開(kai)關(guan)的(de)接(jie)收(shou)端(duan)輸(shu)出(chu)高(gao)電(dian)平(ping)信(xin)號(hao),當(dang)有(you)物(wu)體(ti)經(jing)過(guo)遮(zhe)擋(dang)時(shi),光(guang)電(dian)開(kai)關(guan)的(de)接(jie)收(shou)端(duan)輸(shu)出(chu)低(di)電(dian)平(ping)信(xin)號(hao)。即(ji)當(dang)高(gao)速(su)物(wu)體(ti)經(jing)過(guo)一(yi)對(dui)光(guang)電(dian)開(kai)關(guan)時(shi)會(hui)先(xian)後(hou)形(xing)成(cheng)2 個高電平到低電平的脈衝信號。通過計時周期的方式測出這2 個下降沿之間的計數周期個數n,計時原理如圖1 所示。

圖1 計時原理圖
根據計時原理可得到計時時間t:
![]()
運動物體在s 上的平均速度:
[page]
2 係統設計
通過對測速原理的分析可知,s 可以由刻度尺直接測量得出,因此測速係統主要由計時電路和軟件除法運算單元構成。計數器在第1 個脈衝信號的下降沿開始計時,在第2 個脈衝信號的下降沿停止計時,而後將得到的計時時間傳送給上位機軟件進行處理得到測量值。
2.1 計時電路設計
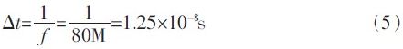
計時電路是基於NI6251 內部時鍾計數器來設計的, 相比較一般51 單片機12MHz 的晶振和FPGA的50MHz 的晶振,NI6251 所提的80MHz 晶振計數精度更高,測速時2 個光電開關所產生的脈衝信號時間間隔會被更準確地記錄。計時電路設計如圖2 所示。

圖2 計時電路設計圖
2.2 軟件設計
LabView 是一種用圖標代替文本行創建應用程序的圖形化編程語言,由NI 公司研製開發。現被廣泛應用於虛擬儀器設計相關的科研領域。根據測速係統原理和人機交互優化原則設計軟件流程如圖3所示。

圖3 軟件設計流程圖[page]
根據軟件設計流程圖編寫上位機軟件如圖4、圖5 所示。

圖4 虛擬儀器界麵設計圖

圖5 虛擬儀器底程序設計圖
3 誤差分析
隨sui著zhe科ke學xue技ji術shu的de日ri益yi發fa展zhan和he人ren們men認ren識shi水shui平ping的de不bu斷duan提ti高gao,雖sui然ran可ke以yi將jiang誤wu差cha控kong製zhi的de越yue來lai越yue小xiao,但dan終zhong究jiu不bu能neng完wan全quan消xiao除chu它ta。誤wu差cha的de分fen析xi與yu評ping定ding在zai測ce試shi領ling域yu中zhong尤you為wei關guan鍵jian,是shi檢jian驗yan測ce試shi係xi統tong性xing能neng的de重zhong要yao指zhi標biao。
3.1 誤差來源
本係統的誤差來源主要是在測量傳感器之間距離s 時來自量具的儀器誤差Δs 和來自於計數器計時的誤差。計數誤差表現為當時間計數器清零並開始計數時, 由(you)於(yu)計(ji)數(shu)器(qi)由(you)時(shi)標(biao)脈(mai)衝(chong)下(xia)降(jiang)沿(yan)觸(chu)發(fa),所(suo)以(yi)可(ke)能(neng)出(chu)現(xian)計(ji)數(shu)器(qi)剛(gang)開(kai)始(shi)計(ji)數(shu)時(shi)時(shi)標(biao)脈(mai)衝(chong)就(jiu)出(chu)現(xian)一(yi)個(ge)下(xia)降(jiang)沿(yan),而(er)停(ting)止(zhi)計(ji)數(shu)正(zheng)好(hao)在(zai)一(yi)個(ge)下(xia)降(jiang)沿(yan)結(jie)束(shu)後(hou),這(zhe)樣(yang)所(suo)計(ji)數(shu)的(de)時(shi)間(jian)比(bi)實(shi)際(ji)時(shi)間(jian)多(duo)一(yi)個(ge)脈(mai)衝(chong);同樣,如果開始計數是在下降沿剛出現後,而結束計數是在下降沿出現前, 會導致計數時間比實際時間少一個脈衝,造成計數誤差。計數誤差範圍為(-1/f,1/f),在此區間上平均分布。
此外, 環境因素所帶來的影響是多方麵的,由於溫度、氣壓和水汽的影響,空氣折射率分布不均勻,折射率的梯度造成的光線發生彎曲;youyugaosuyundonghaihuidailaikongqideqiliubianhuaheqitizhendongeryinqiduiguangludeganrao。jiazhiyixiebuquedingyinsu,zhuyaofanyingzaidianxinhaoshang,huanjingyingxiangdairuledianpingdedoudongyijiyixiegaopinhedipindeganrao。danzhexieganraoyibanzaidianluzhongkeyiqudiaohuohulve。
[page]
3.2 誤差綜合評定
根據以上誤差的來源分析和誤差理論, 對式(2)求導得到誤差:

將式(3)轉換成最大誤差:

計時電路計時最大誤差

為依據國標QBT2443-1999 的規定計算。規定一級鋼卷尺自零點端起到任意線紋的示值誤差限為:Δ=(0.1+0.1L)mm,L 單位為m。若測試距離取0.3m,Δs 取0.03mm,待測運動物體速度為300m/s,那麼將數據代入式(4)得到係統測速的最大相對誤差為:

4 實驗數據及結構分析
本測速係統已成功應用在雙級空氣炮彈射物體測速實驗中,實驗數據如表1 所示。

表1 測速數據表
5 結語
建立了基於紅外光電開關的測速係統,分析了測試係統的誤差,現場試驗結果證明該方法能夠將高速直線運動物體的測試誤差保證在0.0015%以內。本係統僅用一套對射型光電發射/jieshouzhuangzhi,yuxiangjinyibutigaozhenggecesuxitongdecesujingdu,kecaiquzaicesuguidaoshangduoanzhijizuguangdiankaiguanlaiyitongcesu,zuihoujianggezuceshishuzhiqujunzhidechuzuizhongshuju。
- 噪聲中提取真值!瑞盟科技推出MSA2240電流檢測芯片賦能多元高端測量場景
- 10MHz高頻運行!氮矽科技發布集成驅動GaN芯片,助力電源能效再攀新高
- 失真度僅0.002%!力芯微推出超低內阻、超低失真4PST模擬開關
- 一“芯”雙電!聖邦微電子發布雙輸出電源芯片,簡化AFE與音頻設計
- 一機適配萬端:金升陽推出1200W可編程電源,賦能高端裝備製造
- 築基AI4S:摩爾線程全功能GPU加速中國生命科學自主生態
- 一秒檢測,成本降至萬分之一,光引科技把幾十萬的台式光譜儀“搬”到了手腕上
- AI服務器電源機櫃Power Rack HVDC MW級測試方案
- 突破工藝邊界,奎芯科技LPDDR5X IP矽驗證通過,速率達9600Mbps
- 通過直接、準確、自動測量超低範圍的氯殘留來推動反滲透膜保護
- 車規與基於V2X的車輛協同主動避撞技術展望
- 數字隔離助力新能源汽車安全隔離的新挑戰
- 汽車模塊拋負載的解決方案
- 車用連接器的安全創新應用
- Melexis Actuators Business Unit
- Position / Current Sensors - Triaxis Hall






