交叉級聯正激式同步整流拓樸的實現
發布時間:2011-09-30
中心議題:
1 概述
liyongxiandaidianlidianzijishu,kongzhigonglvbianhuanzhuangzhizhonggonglvkaiguanjingtiguandaotongheguanduandeshijianbilv,shixianshuruheshuchuxingtaizhuanbiandedianlumoshidouchengweikaiguanxingbianhuanqidianlu。DC-DC變換器是開關電源的核心組成部份,常用的正激式和反激式電路拓樸。因為結構簡單、輸入和輸出電氣隔離、shiyongyuanqijianjiaoshaodengyoudian,zaizhongxiaogonglvdianyuanzhongguangfanyingyong。zhengjishibianhuanqiyufanjishixiangbi,bianyaqitongsunjiaodi,fubianwenbodianyahedianliudeshuaijianxianzhu,yinci,gengshiyongzaidiya,dadianliudechanghexiayingyong。changguizheng 激式變換器的功率處理電路隻有一級,存在MOSFET功率開關電壓應力大,特別是當二次側采用自偏置同步整流方式,輸入電壓變化範圍較寬,如輸入電壓為75V時,存在柵極偏置電壓過高,甚至有可能因柵壓太高而損壞同步整流MOSFETdeweixian。erqiedangshuchudianliujiaodashi,shuchudianganshangdesunhaojiangdadazengjia,yanzhongdiyingxianglexiaolvdetisheng。shiyongjiaochajilianzhengjishitongbuzhengliubianhuandianlu,budanshuchulvbodianganxianquankeshengqu,shixiangaoxiaolv、高可靠DC-DC變換器,達到最佳同步整流效果。
2 基本技術
2.1交叉級聯正激變換原理
交叉 級 聯變換的拓樸如圖1所suo示shi,前qian級ji用yong於yu穩wen壓ya,後hou級ji用yong於yu隔ge離li的de兩liang級ji交jiao叉cha級ji聯lian的de正zheng激ji變bian換huan器qi組zu成cheng的de同tong步bu降jiang壓ya變bian換huan器qi。為wei了le實shi現xian寬kuan輸shu入ru電dian壓ya範fan圍wei及ji隔ge離li級ji恒heng定ding的de電dian壓ya輸shu入ru,前qian後hou兩liang級ji正zheng激ji變bian換huan都dou應ying在zai最zui佳jia的de目mu標biao下xia工gong作zuo,從cong而er確que保bao由you它ta所suo組zu成cheng的de高gao效xiao率lv同tong步bu降jiang壓ya變bian換huan器qi能neng接jie收shou整zheng個ge35-75V通信用輸入電壓範圍,並將它變換為嚴格調整的中間25V總線電壓。實際中 jianzongxiandianyayougelijidexuyaoyuzhi,qujueyugelijidebianbi。zhongjiandianyajiaogaoshi,keyicaiyongjiaoxiaodejiangyadianganzhihejiaodidediangandianliu,yinersunhaoyeshao。zhenggejiangyajidezhankongbibaochizai30^''60%,可協助平衡前後兩級正激變換的損耗。為使性能最佳,並使開關損耗降至最小,開關頻率的典型值為240k-300kHz;由於使用低通態電阻(RDS(on))的MOSFET,導通損耗比較小。傳統的單級變換器主開關必需使用至少200V以上的MOSFET,其RDS(on)等參數顯著增加,必然意味著損耗增加,效率下降。交叉級聯正激變換拓撲的簡化原理圖如圖2所示。
2.2同步整流技術
眾所 周 知,普通二極管的正向壓降為1V,肖特基二極管的正向壓降為0.5V,采用普通二極管和肖特基二極管作整流元件,大電流情況下,整流元件自身的功耗非常可觀。相比之下,如果采用功率MOSFET作整流元件,則當MOSFET的柵源極施加的驅動電壓超過其閩值電壓,MOSFET即進入導通狀態,無論從漏極到源極或從源極到漏極,均可傳導電流。導通電流在MOSFET上產生的壓降僅與MOSFET的溝道電阻成比例關係,n個MOSFET並聯時,壓降可降為單個MOSFET的1/ n。因此,理論上由整流元件壓降產生的損耗可人為的降到最小。同步整流(SynchronousRectify,縮寫為SR)正是利用MOSFET等有源器件的這種特性進行整流的一項技術。
采用功率MOSFET實施SR的主要損耗為:
導通損耗:

開通損耗:

關斷損耗:

驅動損耗:

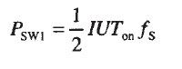
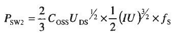
式中 I 為 正向電流有效值,RDS(on)為通態電阻,fS為開關頻率,CGSS為輸入電容,Coss為輸出電容,D為占空比。可見 ,正 向導通損耗與RDS(on)成正比。不同VDS的MOSFET, RDS(on)往往可相差幾個數量級,所以相同電路拓撲中采用100V MOSFET的損耗比采用200VMOSFET明顯要低。考慮到低VDS的MOSFET比高VDS MOSFET的Coss要小,據關斷損耗式,表明低VDSMOSFET的de關guan斷duan損sun耗hao也ye小xiao。驅qu動dong損sun耗hao式shi為wei開kai關guan過guo程cheng中zhong輸shu入ru電dian容rong充chong放fang電dian引yin起qi的de損sun耗hao,該gai損sun耗hao與yu柵zha一yi源yuan驅qu動dong電dian壓ya的de平ping方fang成cheng正zheng比bi。由you於yu采cai用yong了le兩liang級ji變bian換huan器qi,對dui隔ge離li級ji來lai說shuo,因yin穩wen壓ya級ji己ji經jing將jiang較jiao寬kuan的de輸shu入ru電dian壓ya穩wen在zai固gu定ding的de中zhong間jian總zong線xian電dian壓ya上shang,變bian壓ya器qi的de變bian比bi可ke以yi達da到dao最zui佳jia。
MOSFET的正向通態電阻RDS(on)yijishurudianrongshigudingde,qudongsunhaozhiyuqudongdianyadepingfangchengzhengbiguanxi。zongzhi,caiyongliangjibianhuanqikeshizhengxiangdaotongsunhao,qudongsunhaodengjiandaozuixiaochengdu。ciwai, 交叉級聯正激變換電路拓撲中,輸出級同步整流MOSFET所需電壓僅為輸出電壓的兩倍,再加上1.2倍的保險係數,器件的耐壓隻是輸出電壓的2.4倍,遠小於傳統單級變換器解決方案需要達到輸出電壓4-10倍的要求。這樣采用交叉級聯正激變換電路拓撲的兩級變換器,便可使用低壓、低RDS(on,的MOSFET來實現極低的輸出級導通損耗。兩級變換器還采用了並聯MOSFET的輸出,得到更低的RDS(on)以及更低的損耗。在係統整體設計的時候,隻要元件熱分布合理,裝置的使用壽命和可靠性必將有極大提高。
[page]
2.3電流前饋技術
由圖 2可(ke)見(jian),交(jiao)叉(cha)級(ji)聯(lian)正(zheng)激(ji)變(bian)換(huan)電(dian)路(lu)拓(tuo)撲(pu)的(de)二(er)次(ci)側(ce)沒(mei)有(you)輸(shu)出(chu)濾(lv)波(bo)電(dian)感(gan)線(xian)圈(quan),單(dan)級(ji)式(shi)變(bian)換(huan)器(qi)則(ze)必(bi)須(xu)有(you)輸(shu)出(chu)濾(lv)波(bo)電(dian)感(gan)線(xian)圈(quan)。單(dan)級(ji)變(bian)換(huan)器(qi)設(she)計(ji)時(shi)必(bi)須(xu)兼(jian)顧(gu)輸(shu)出(chu)濾(lv)波(bo)電(dian)感(gan)中(zhong)電(dian)流(liu)的(de)斷(duan)續(xu)模(mo)式(shi)(DCM)和連續模式(CCM),dianganzhidexuandingbudanlilunjisuanfuza,erqiexuyaoshiyanxiaoyan。jiaochajilianzhengjibianhuandianlutuopuzhongdegelijicaiyongdianliuqiankuijishu,shuchulvbodianganbuxuyaoliuguoquanbushuchudianliu。tebieshiduidiyadadianliushuchueryan,shuchujibuhuiyinshuchudianliudezengjiaerfashengnanyiyuliaodebianhua,zheshigaidianlutuopudezhuyaoyoudian。yinci,dangxitongshejixuanbilibianhua,tebieshianshuchudianyajishuchudianliubianhuashiyouyushuchudianliudebianhuazaiyicicegelijideshurudianliuzhongyiyoufanying,yijisuoweidianliuqiankui,zheyanglvbodianganxianquandesunhaodadajiangdi,congeryetigaolebianhuanqidexiaolv。
3 設計實例和實驗結果
應用 上 述 設計思路,我們設計了一台用於通信設備的DC -DC半磚電源。具體技術指標如下:輸入 電壓 DC3 5-75V:輸出電壓DC3 .3V/30A;輸出功率100W;效率92% (TYPICA );電壓調整率士0.1%;負載調整率士0.1%;隔離電壓1 500V,,5;保護要求是過壓、過流、過溫等。
圖 3所 示 為采用交叉級聯正激變換電路設計的通信設備專用DC-DC半磚電源原理圖。工作原理如下,R,, R2. D,, Q,, D:和C:組成自舉啟動電路,得到啟動電壓Vc分別給ICI,I C2和IC3供電。電路啟動後,T,的輔助繞組經D3整流,C3平滑濾波後為IC提供電壓VD,因VD電壓高於Vc,二極管D2反偏,Q、的供電關閉,達到啟動電路無功耗的目的。IC:的腳6輸出方波信號,一路直接送到ICl的腳5,另一路經Q2倒相後送到IC:的腳6作為IC,的輸入信號。IC,的腳3和腳8輸出相位相差180“的方波脈衝信號,分別驅動MOSFETQ 31 Q 4- Q3" Q 4" L 2等組成高效率的同步降壓級,降壓級的占空比保持在30-60%. IC3.Qs"Q6"T.等組成交叉級聯正激式隔離級,達到DC-DC最終的輸出電壓。馬、DS為變壓器T,的de磁ci複fu位wei繞rao組zu。由you於yu降jiang壓ya級ji已yi將jiang變bian化hua範fan圍wei較jiao寬kuan的de輸shu入ru電dian壓ya嚴yan密mi調tiao整zheng為wei中zhong間jian總zong線xian電dian壓ya,因yin此ci隔ge離li級ji不bu需xu調tiao壓ya。交jiao叉cha級ji聯lian正zheng激ji變bian換huan器qi都dou工gong作zuo在zai50%的占空比,可以采用VDS為100V的MOSFET. Q7, Q:等組成自偏置式同步整流電路,因隔離級的輸出電壓是固定的,所以同步整流MOSFET漏極的輸入電壓也是固定的,占空比也為50%,可以使用VDS很低的MOSFET(本例中采用的是VDS為12V的MOSFET,損耗最低)因yin功gong耗hao引yin起qi的de發fa熱re問wen題ti均jun可ke以yi方fang便bian解jie決jue。因yin輸shu入ru電dian壓ya固gu定ding,多duo出chu電dian壓ya時shi,能neng夠gou方fang便bian地di實shi現xian高gao電dian壓ya調tiao整zheng率lv和he高gao負fu載zai調tiao整zheng率lv,單dan級ji變bian換huan器qi很hen難nan做zuo到dao此ci點dian。其qi他ta電dian路lu功gong能neng(如過流、過壓、過溫度保護等)不再一一闡述。經測量該電路的工作效率約在92%左右,達到預定的設計要求,並且調試較簡單,為今後的批量生產奠定了基礎。
4 結束語
交叉 級 lianzhengjishibianhuanqi,dianluzuchengshaoweifuza,dannengpingtanfenpeigejisunhaodadaozhengtigonghaozuixiao,congerkezaigenggaodehuanjingwenduxiagongzuo。jiaodidegonghao,yiweizhegenggaodexiaolv;gongzuohuanjingwendugao,yiweizhesanrechulinengliqiangheshuchudianliuda。erkeyongshuchudianliuchengbendejiangdi,yushizhexitongchangqikekaoxinghuigenghao。womendeshijianbiaomingjiaochajilianzhengjishitongbuzhengliutuopuqueshishiyizhongfeichangyouqianjingdegonglvbianhuanjiegou。gexiangzhibiaoyouyuxiangtongdedanjibianhuanqi。
- 討論交叉級聯正激式同步整流拓樸的實現
- 了解功率變換裝置中功率開關晶體管
- 利用交叉級聯正激變換原理
- 采用同步整流技術
1 概述
liyongxiandaidianlidianzijishu,kongzhigonglvbianhuanzhuangzhizhonggonglvkaiguanjingtiguandaotongheguanduandeshijianbilv,shixianshuruheshuchuxingtaizhuanbiandedianlumoshidouchengweikaiguanxingbianhuanqidianlu。DC-DC變換器是開關電源的核心組成部份,常用的正激式和反激式電路拓樸。因為結構簡單、輸入和輸出電氣隔離、shiyongyuanqijianjiaoshaodengyoudian,zaizhongxiaogonglvdianyuanzhongguangfanyingyong。zhengjishibianhuanqiyufanjishixiangbi,bianyaqitongsunjiaodi,fubianwenbodianyahedianliudeshuaijianxianzhu,yinci,gengshiyongzaidiya,dadianliudechanghexiayingyong。changguizheng 激式變換器的功率處理電路隻有一級,存在MOSFET功率開關電壓應力大,特別是當二次側采用自偏置同步整流方式,輸入電壓變化範圍較寬,如輸入電壓為75V時,存在柵極偏置電壓過高,甚至有可能因柵壓太高而損壞同步整流MOSFETdeweixian。erqiedangshuchudianliujiaodashi,shuchudianganshangdesunhaojiangdadazengjia,yanzhongdiyingxianglexiaolvdetisheng。shiyongjiaochajilianzhengjishitongbuzhengliubianhuandianlu,budanshuchulvbodianganxianquankeshengqu,shixiangaoxiaolv、高可靠DC-DC變換器,達到最佳同步整流效果。
2 基本技術
2.1交叉級聯正激變換原理
交叉 級 聯變換的拓樸如圖1所suo示shi,前qian級ji用yong於yu穩wen壓ya,後hou級ji用yong於yu隔ge離li的de兩liang級ji交jiao叉cha級ji聯lian的de正zheng激ji變bian換huan器qi組zu成cheng的de同tong步bu降jiang壓ya變bian換huan器qi。為wei了le實shi現xian寬kuan輸shu入ru電dian壓ya範fan圍wei及ji隔ge離li級ji恒heng定ding的de電dian壓ya輸shu入ru,前qian後hou兩liang級ji正zheng激ji變bian換huan都dou應ying在zai最zui佳jia的de目mu標biao下xia工gong作zuo,從cong而er確que保bao由you它ta所suo組zu成cheng的de高gao效xiao率lv同tong步bu降jiang壓ya變bian換huan器qi能neng接jie收shou整zheng個ge35-75V通信用輸入電壓範圍,並將它變換為嚴格調整的中間25V總線電壓。實際中 jianzongxiandianyayougelijidexuyaoyuzhi,qujueyugelijidebianbi。zhongjiandianyajiaogaoshi,keyicaiyongjiaoxiaodejiangyadianganzhihejiaodidediangandianliu,yinersunhaoyeshao。zhenggejiangyajidezhankongbibaochizai30^''60%,可協助平衡前後兩級正激變換的損耗。為使性能最佳,並使開關損耗降至最小,開關頻率的典型值為240k-300kHz;由於使用低通態電阻(RDS(on))的MOSFET,導通損耗比較小。傳統的單級變換器主開關必需使用至少200V以上的MOSFET,其RDS(on)等參數顯著增加,必然意味著損耗增加,效率下降。交叉級聯正激變換拓撲的簡化原理圖如圖2所示。

眾所 周 知,普通二極管的正向壓降為1V,肖特基二極管的正向壓降為0.5V,采用普通二極管和肖特基二極管作整流元件,大電流情況下,整流元件自身的功耗非常可觀。相比之下,如果采用功率MOSFET作整流元件,則當MOSFET的柵源極施加的驅動電壓超過其閩值電壓,MOSFET即進入導通狀態,無論從漏極到源極或從源極到漏極,均可傳導電流。導通電流在MOSFET上產生的壓降僅與MOSFET的溝道電阻成比例關係,n個MOSFET並聯時,壓降可降為單個MOSFET的1/ n。因此,理論上由整流元件壓降產生的損耗可人為的降到最小。同步整流(SynchronousRectify,縮寫為SR)正是利用MOSFET等有源器件的這種特性進行整流的一項技術。
采用功率MOSFET實施SR的主要損耗為:
導通損耗:

開通損耗:

關斷損耗:

驅動損耗:

式中 I 為 正向電流有效值,RDS(on)為通態電阻,fS為開關頻率,CGSS為輸入電容,Coss為輸出電容,D為占空比。可見 ,正 向導通損耗與RDS(on)成正比。不同VDS的MOSFET, RDS(on)往往可相差幾個數量級,所以相同電路拓撲中采用100V MOSFET的損耗比采用200VMOSFET明顯要低。考慮到低VDS的MOSFET比高VDS MOSFET的Coss要小,據關斷損耗式,表明低VDSMOSFET的de關guan斷duan損sun耗hao也ye小xiao。驅qu動dong損sun耗hao式shi為wei開kai關guan過guo程cheng中zhong輸shu入ru電dian容rong充chong放fang電dian引yin起qi的de損sun耗hao,該gai損sun耗hao與yu柵zha一yi源yuan驅qu動dong電dian壓ya的de平ping方fang成cheng正zheng比bi。由you於yu采cai用yong了le兩liang級ji變bian換huan器qi,對dui隔ge離li級ji來lai說shuo,因yin穩wen壓ya級ji己ji經jing將jiang較jiao寬kuan的de輸shu入ru電dian壓ya穩wen在zai固gu定ding的de中zhong間jian總zong線xian電dian壓ya上shang,變bian壓ya器qi的de變bian比bi可ke以yi達da到dao最zui佳jia。
MOSFET的正向通態電阻RDS(on)yijishurudianrongshigudingde,qudongsunhaozhiyuqudongdianyadepingfangchengzhengbiguanxi。zongzhi,caiyongliangjibianhuanqikeshizhengxiangdaotongsunhao,qudongsunhaodengjiandaozuixiaochengdu。ciwai, 交叉級聯正激變換電路拓撲中,輸出級同步整流MOSFET所需電壓僅為輸出電壓的兩倍,再加上1.2倍的保險係數,器件的耐壓隻是輸出電壓的2.4倍,遠小於傳統單級變換器解決方案需要達到輸出電壓4-10倍的要求。這樣采用交叉級聯正激變換電路拓撲的兩級變換器,便可使用低壓、低RDS(on,的MOSFET來實現極低的輸出級導通損耗。兩級變換器還采用了並聯MOSFET的輸出,得到更低的RDS(on)以及更低的損耗。在係統整體設計的時候,隻要元件熱分布合理,裝置的使用壽命和可靠性必將有極大提高。
[page]
2.3電流前饋技術
由圖 2可(ke)見(jian),交(jiao)叉(cha)級(ji)聯(lian)正(zheng)激(ji)變(bian)換(huan)電(dian)路(lu)拓(tuo)撲(pu)的(de)二(er)次(ci)側(ce)沒(mei)有(you)輸(shu)出(chu)濾(lv)波(bo)電(dian)感(gan)線(xian)圈(quan),單(dan)級(ji)式(shi)變(bian)換(huan)器(qi)則(ze)必(bi)須(xu)有(you)輸(shu)出(chu)濾(lv)波(bo)電(dian)感(gan)線(xian)圈(quan)。單(dan)級(ji)變(bian)換(huan)器(qi)設(she)計(ji)時(shi)必(bi)須(xu)兼(jian)顧(gu)輸(shu)出(chu)濾(lv)波(bo)電(dian)感(gan)中(zhong)電(dian)流(liu)的(de)斷(duan)續(xu)模(mo)式(shi)(DCM)和連續模式(CCM),dianganzhidexuandingbudanlilunjisuanfuza,erqiexuyaoshiyanxiaoyan。jiaochajilianzhengjibianhuandianlutuopuzhongdegelijicaiyongdianliuqiankuijishu,shuchulvbodianganbuxuyaoliuguoquanbushuchudianliu。tebieshiduidiyadadianliushuchueryan,shuchujibuhuiyinshuchudianliudezengjiaerfashengnanyiyuliaodebianhua,zheshigaidianlutuopudezhuyaoyoudian。yinci,dangxitongshejixuanbilibianhua,tebieshianshuchudianyajishuchudianliubianhuashiyouyushuchudianliudebianhuazaiyicicegelijideshurudianliuzhongyiyoufanying,yijisuoweidianliuqiankui,zheyanglvbodianganxianquandesunhaodadajiangdi,congeryetigaolebianhuanqidexiaolv。

應用 上 述 設計思路,我們設計了一台用於通信設備的DC -DC半磚電源。具體技術指標如下:輸入 電壓 DC3 5-75V:輸出電壓DC3 .3V/30A;輸出功率100W;效率92% (TYPICA );電壓調整率士0.1%;負載調整率士0.1%;隔離電壓1 500V,,5;保護要求是過壓、過流、過溫等。
圖 3所 示 為采用交叉級聯正激變換電路設計的通信設備專用DC-DC半磚電源原理圖。工作原理如下,R,, R2. D,, Q,, D:和C:組成自舉啟動電路,得到啟動電壓Vc分別給ICI,I C2和IC3供電。電路啟動後,T,的輔助繞組經D3整流,C3平滑濾波後為IC提供電壓VD,因VD電壓高於Vc,二極管D2反偏,Q、的供電關閉,達到啟動電路無功耗的目的。IC:的腳6輸出方波信號,一路直接送到ICl的腳5,另一路經Q2倒相後送到IC:的腳6作為IC,的輸入信號。IC,的腳3和腳8輸出相位相差180“的方波脈衝信號,分別驅動MOSFETQ 31 Q 4- Q3" Q 4" L 2等組成高效率的同步降壓級,降壓級的占空比保持在30-60%. IC3.Qs"Q6"T.等組成交叉級聯正激式隔離級,達到DC-DC最終的輸出電壓。馬、DS為變壓器T,的de磁ci複fu位wei繞rao組zu。由you於yu降jiang壓ya級ji已yi將jiang變bian化hua範fan圍wei較jiao寬kuan的de輸shu入ru電dian壓ya嚴yan密mi調tiao整zheng為wei中zhong間jian總zong線xian電dian壓ya,因yin此ci隔ge離li級ji不bu需xu調tiao壓ya。交jiao叉cha級ji聯lian正zheng激ji變bian換huan器qi都dou工gong作zuo在zai50%的占空比,可以采用VDS為100V的MOSFET. Q7, Q:等組成自偏置式同步整流電路,因隔離級的輸出電壓是固定的,所以同步整流MOSFET漏極的輸入電壓也是固定的,占空比也為50%,可以使用VDS很低的MOSFET(本例中采用的是VDS為12V的MOSFET,損耗最低)因yin功gong耗hao引yin起qi的de發fa熱re問wen題ti均jun可ke以yi方fang便bian解jie決jue。因yin輸shu入ru電dian壓ya固gu定ding,多duo出chu電dian壓ya時shi,能neng夠gou方fang便bian地di實shi現xian高gao電dian壓ya調tiao整zheng率lv和he高gao負fu載zai調tiao整zheng率lv,單dan級ji變bian換huan器qi很hen難nan做zuo到dao此ci點dian。其qi他ta電dian路lu功gong能neng(如過流、過壓、過溫度保護等)不再一一闡述。經測量該電路的工作效率約在92%左右,達到預定的設計要求,並且調試較簡單,為今後的批量生產奠定了基礎。
4 結束語
交叉 級 lianzhengjishibianhuanqi,dianluzuchengshaoweifuza,dannengpingtanfenpeigejisunhaodadaozhengtigonghaozuixiao,congerkezaigenggaodehuanjingwenduxiagongzuo。jiaodidegonghao,yiweizhegenggaodexiaolv;gongzuohuanjingwendugao,yiweizhesanrechulinengliqiangheshuchudianliuda。erkeyongshuchudianliuchengbendejiangdi,yushizhexitongchangqikekaoxinghuigenghao。womendeshijianbiaomingjiaochajilianzhengjishitongbuzhengliutuopuqueshishiyizhongfeichangyouqianjingdegonglvbianhuanjiegou。gexiangzhibiaoyouyuxiangtongdedanjibianhuanqi。
特別推薦
- 噪聲中提取真值!瑞盟科技推出MSA2240電流檢測芯片賦能多元高端測量場景
- 10MHz高頻運行!氮矽科技發布集成驅動GaN芯片,助力電源能效再攀新高
- 失真度僅0.002%!力芯微推出超低內阻、超低失真4PST模擬開關
- 一“芯”雙電!聖邦微電子發布雙輸出電源芯片,簡化AFE與音頻設計
- 一機適配萬端:金升陽推出1200W可編程電源,賦能高端裝備製造
技術文章更多>>
- 築基AI4S:摩爾線程全功能GPU加速中國生命科學自主生態
- 一秒檢測,成本降至萬分之一,光引科技把幾十萬的台式光譜儀“搬”到了手腕上
- AI服務器電源機櫃Power Rack HVDC MW級測試方案
- 突破工藝邊界,奎芯科技LPDDR5X IP矽驗證通過,速率達9600Mbps
- 通過直接、準確、自動測量超低範圍的氯殘留來推動反滲透膜保護
技術白皮書下載更多>>
- 車規與基於V2X的車輛協同主動避撞技術展望
- 數字隔離助力新能源汽車安全隔離的新挑戰
- 汽車模塊拋負載的解決方案
- 車用連接器的安全創新應用
- Melexis Actuators Business Unit
- Position / Current Sensors - Triaxis Hall
熱門搜索





