Buck電路開關電源紋波的抑製方法
發布時間:2011-08-17
中心議題:
- Buck電路開關電源紋波的定義
- Buck電路產生紋波的機理及計算
- 影響紋波的因素分析及抑製措施
解決方案:
- 考慮開關頻率、L和C的取值
- 降低ESR
開關電源具有效率高、輸出電壓可調範圍大、損耗小、體積小、zhongliangqingdengtedian,dedaoleguangfandeyingyong。youyukaiguandianyuantijixiao,shuchuzhiliudianyadewenbohanliangbitonggonglvxianxingdianyuanda,ruhejiangdiwenbohanliangchengweikaiguandianyuanyingyongjizhizaojishuzhongdeyigeguanjianjishunandian。benwentongguoduiBuck電路的分析,找出對紋波的產生有影響的因素及改善的措施。
1 紋波的定義
Buck類型開關電源的拓撲結構如圖1所示。

tongchangqingkuangxia,kaiguandianyuanshouxianbadianwangdianyaquanbozhengliubianweizhiliudian,jinggaopinkaiguanbianhuanyoubianyaqijiangya,jinggaopinerjiguanzhengliulvbohou,dedaowendingdezhiliudianyashuchu。qizishenhanyoudaliangdexieboganrao,tongshiyouyubianyaqidelouganheshuchuerjiguandefanxianghuifudianliuzaochengdejianfengdouxingchengledianciganraoyuan,zhexiejianfengjiushishuchuwenbo。shuchuwenbozhuyaolaiyuanyu4個方麵:低頻紋波、高頻紋波、共模紋波、功率器件開關過程中產生的超高頻諧振等。
2 Buck電路產生紋波的機理及計算
2.1 紋波電流計算
電感的定義:

λ為線圈磁鏈;N為線圈匝數;i為流經線圈的電流;Φ為線圈磁通。如果式(1)兩端以時間t為變量進行微分計算,可得:

這便是大家所熟知的電感電壓降回路方程。
現在假設對於每個單獨的開關周期,在開關管導通狀態和關斷狀態,輸入輸出電壓都基本沒有變化,可以寫出導通狀態和關斷狀態時的L兩端的電壓。
導通狀態L兩端的電壓:
![]()
關斷狀態L兩端的電壓:
![]()
Vsat為開關管的導通壓降;VF為二極管的導通壓降。
由於Vsat和VF相對於Vi和Vo很小,這裏忽略不計,可以得到:

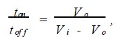
可以看出Von和Voff都是常數,即對於
,不論在導通狀態還是在關斷狀態都有:
[page]
為常數,所以可以用
替換
,代入式(4)並整理得:
![]()
可以認為Δi就是電感線圈中的紋波電流,將導通和關斷狀態時的時間和電壓式(2)和式(3)代入上式,分別寫出導通狀態和關斷狀態時的紋波電流表達式:

Δion為導通狀態紋波電流;ton為導通時間;Δioff為關斷狀態紋波電流;toff為關斷時間。
在電源穩定工作時,
![]()
ΔiL為線圈上紋波電流的絕對值。將式(5)和式(6)代入式(7),整理得:

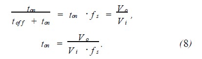
進而得出:

fs為開關頻率。
將式(8)代入式(5),得:

式(9)即為紋波電流的表達式。
2.2 紋波電壓計算
注意到在輸出部分,電感電流在電容C和負載之間分割,有:
![]()
設在穩態下,輸出到負載的電流不變。所以有:
![]()
這也是一種近似,因為就算是負載恒定不變,由於電壓紋波的影響,電流也會改變的,但由於這個變化量和ΔiL相比很小,所以在此忽略。如果不忽略,也可以推導出更複雜的表達式。ΔiC加之於C就會產生紋波電壓。
首先計算第一部分。當ΔiC流過理想電容C時,在C兩端產生的電壓變化:
![]()
取積分下限為ton/2,積分上限為toff/2,計算積分得:

計算第二部分,對於一般電容,都具有串聯等效電感和串聯等效電阻(其實還有並聯等效絕緣電阻)。串聯等效電感隻在較高頻率時起作用,在分析開關頻率時可以將其忽略,但必須考慮的是串聯等效電阻ESR.電流ΔiC流過ESR時,會在ESR兩端產生電壓降,其值為:
![]()
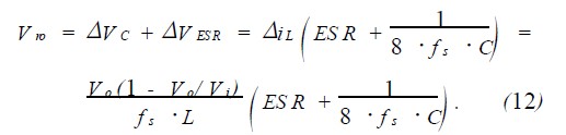
ΔVESR也會作為紋波的一部分表現在輸出端上,所以總的紋波表達式為式(10)和式(11)的和,即:
[page]
Vro為總紋波;ESR為C的等效串聯電阻。
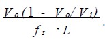
式(12)即是Buck類型開關電源的紋波電壓的近似表達式,其中的每個變量都是影響紋波的因素,調整這些變量就是調整紋波的主要方法。
3 影響紋波的因素分析及抑製措施
根據式(12),逐一分析影響紋波電壓的因素

1)首先觀察括號內的因素:試取一個典型的值計算一下,如fs=300kHz,C=470μF,可知為

盡管對於ESR的計算要考慮很多因素,一般情況下,電解電容和若幹陶瓷電容並聯後的等效電阻ESR在十幾到幾十mΩ之間,由此可見ESR是紋波產生的主要因素,並且C取值的增加不會顯著改變紋波。
2)其次觀察等式右邊的前半部分

如果L或者fs增大,則Vro變小,可以減小紋波,即增大電感的值和提高開關頻率可以降低紋波。
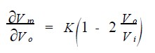
3)最容易忽略的是輸出電壓和紋波的關係。考察Vo對Vro的變化率。
在所有其他因素都不改變的條件下,將Vro對Vo求導,可得:

其中:

令
有
,此時電源輸出的紋波最大。
Vo無論大於還是小於這個值,紋波都將減小。由該規律可以推算輸出電壓調整的電源模塊的紋波。
4)在實際工作中,一切可以調整的因素都是相對穩定的,並且帶有一定的實際工作誤差。因此在考慮開關頻率、L和C的(de)取(qu)值(zhi)的(de)時(shi)候(hou),要(yao)考(kao)慮(lv)幹(gan)擾(rao)因(yin)素(su),選(xuan)取(qu)受(shou)到(dao)很(hen)多(duo)因(yin)素(su)影(ying)響(xiang)的(de)一(yi)個(ge)折(zhe)中(zhong)的(de)結(jie)果(guo)。調(tiao)整(zheng)這(zhe)些(xie)取(qu)值(zhi)要(yao)考(kao)慮(lv)其(qi)他(ta)製(zhi)約(yue)因(yin)素(su),下(xia)麵(mian)列(lie)舉(ju)一(yi)些(xie)製(zhi)約(yue)因(yin)素(su),在(zai)調(tiao)整(zheng)參(can)數(shu)時(shi)需(xu)要(yao)注(zhu)意(yi):
a)提高開關頻率將使係統功耗增大,電源效率降低,溫度升高,帶來散熱問題。
b)開關頻率受到開關管、控製芯片、二極管及其他因素的限製,不能無限提高。
c)提高L的值會使電感體積增加,成本增加,而電感的選擇麵是比較窄的。
d)無論是修改L、C或是開關頻率,都要注意電源的穩定性。
通過上述分析可以得知,降低ESR可以降低紋波幹擾,即在實際通常使用電解和若幹瓷片電容並聯的方法降低輸出C的ESR,進而降低紋波幹擾。
4 結語
本文通過對Buck電路中元器件的計算公式,推導出紋波電壓、電流的計算公式。根據影響因素,對電感量、電容量的選擇進行分析比較,從而得出紋波的抑製方法。然而問題並沒有完全解決,下麵的問題更加值得關注與了解:
1)各類電解電容和各類薄膜電容的ESR特性是什麼;
2)各類電容的ESR受哪些因素的影響;
3)如何估算電容並聯的ESR;
4)輸出電容的相對位置對ESR有何影響。
前(qian)兩(liang)個(ge)問(wen)題(ti)可(ke)以(yi)通(tong)過(guo)基(ji)本(ben)的(de)性(xing)能(neng)實(shi)驗(yan)求(qiu)解(jie),第(di)三(san)個(ge)問(wen)題(ti)則(ze)需(xu)要(yao)使(shi)用(yong)解(jie)析(xi)和(he)仿(fang)真(zhen)的(de)方(fang)法(fa)來(lai)進(jin)行(xing)解(jie)決(jue),而(er)第(di)四(si)個(ge)問(wen)題(ti)就(jiu)需(xu)要(yao)加(jia)強(qiang)基(ji)礎(chu)和(he)理(li)論(lun)深(shen)入(ru)的(de)研(yan)究(jiu)。
- 噪聲中提取真值!瑞盟科技推出MSA2240電流檢測芯片賦能多元高端測量場景
- 10MHz高頻運行!氮矽科技發布集成驅動GaN芯片,助力電源能效再攀新高
- 失真度僅0.002%!力芯微推出超低內阻、超低失真4PST模擬開關
- 一“芯”雙電!聖邦微電子發布雙輸出電源芯片,簡化AFE與音頻設計
- 一機適配萬端:金升陽推出1200W可編程電源,賦能高端裝備製造
- 築基AI4S:摩爾線程全功能GPU加速中國生命科學自主生態
- 一秒檢測,成本降至萬分之一,光引科技把幾十萬的台式光譜儀“搬”到了手腕上
- AI服務器電源機櫃Power Rack HVDC MW級測試方案
- 突破工藝邊界,奎芯科技LPDDR5X IP矽驗證通過,速率達9600Mbps
- 通過直接、準確、自動測量超低範圍的氯殘留來推動反滲透膜保護
- 車規與基於V2X的車輛協同主動避撞技術展望
- 數字隔離助力新能源汽車安全隔離的新挑戰
- 汽車模塊拋負載的解決方案
- 車用連接器的安全創新應用
- Melexis Actuators Business Unit
- Position / Current Sensors - Triaxis Hall


