基於差動式電容傳感器的車輛載荷檢測係統
發布時間:2011-08-16
中心議題:
引言
suizhegongluyunshuyeheshangyemaoyidebuduanfazhan,cheliangzaihejiancejishuyichengweicelianglingyuyanjiudezhongdian。muqianbijiaochangyongdecheliangdongtaizaihejiancechuanganqizhuyaoyouwanban、壓電軸、單傳感器、chezaidianrongchuanganqijiguangxianchuanganqi。zhexiezaihejiancechuanganqiduoshiyongyugudingshianzhuang,duilumianqingkuangyaoqiujiaogao,jishiyixiebianxieshicheliangzaihejiancechuanganqiyeyinweizhongliangguozhong、tijiguodadequedianwufazhenzhengshixianbianxieceliang。tongshi,yixiechuanganqiceliangjishuguoyufuza,chuanganqijiageguoyuanggui。yinci,weilejianxiaoanzhuangheweihuchengben,tigaocheliangdongtaizaihejiancexitongdebianxiexing,benwentichuleyizhongdianrongshicheliangzaihejiancexitong,gaixitongzhongzaihejiancechuanganqicaiyongchadongshijiegou,dadatigaoleceliangdelingminduhefeixianxing,dianrongceliangxianlucaiyongchadongmaichongkuandutiaozhijichengceliangdianlu,shujudecaijihechulicaiyongzidaiA/D轉換器的STC89LE516AD單片機芯片,數據通信采用無線通信模式。這種載荷檢測係統結構簡單,成本低廉,安裝方便,差動式電容載荷傳感器抗幹擾能力強、動態響應好、測量範圍寬、靈敏度高、穩定性能好。
1 差動式電容車輛載荷檢測係統
差動式電容車輛載荷檢測係統如圖1所示。
cheliangzaihejiancezhuangzhiweibianxieshi,shiyongshipushezailumianshang。shouchizhuangzhiweiceliangxitongkongzhidanyuan,tongguowuxiantongxinfangshiduijiancezhuangzhifachuzhilinghejieshoushuju。zaihejiancechuanganqicaiyongchadongshidianrongzaihechuanganqi,chuanganqijiangzaihedebianhuazhuanbianweidianrongzhidebianhua。dianrongceliangdianlucaiyongdutedechadongmaichongkuandutiaozhijichengdianlu,jianglaiziyuchadongshidianrongzaihechuanganqidejiqiweiruodedianrongxinhaocaijichulai,bingzhuanhuachengyiyujiancededianyaxinhao。shujuchulimokuaicaiyongneibuzidai8路8位A/D轉換器的電壓輸入型STC89LE516AD單片機芯片。數據處理模塊對信號進行A/D轉換、數據采集、數shu據ju處chu理li,之zhi後hou,將jiang處chu理li後hou的de載zai荷he結jie果guo輸shu出chu。為wei了le減jian少shao線xian路lu鋪pu設she的de麻ma煩fan,增zeng加jia工gong作zuo人ren員yuan的de安an全quan性xing,檢jian測ce係xi統tong的de數shu據ju通tong信xin采cai用yong無wu線xian通tong信xin裝zhuang置zhi。
2 差動式電容載荷傳感器結構及工作原理
差動式電容載荷傳感器結構示意圖如圖2所示。它主要由測量頭、外殼、敏感元件(彈性體)、定極柱、動極柱、電極、等位環、引出線等構成。其特點為:測量範圍寬;靈敏度高,便於拾取信號;極板間不接觸、不變形、不磨損,機械損失小、壽命長;電容傳感器受溫度影響小;動態性能好;結構簡單、適應各種惡劣環境和場合。
[page]
chuanganqideceliangtouheketiweijianxipeihe,liangzhezhijiankexiangduihuadong,bingyoudingweiluodingdingweiceliangtoudechushiweizhi,dingweiluodingtongshiyeqidaoceliangtouhuadongshidedingxiangzuoyong,haikeshishiliwutibaochixiangduiwending。celiangtouyouminganyuanjian(彈性體)支撐,它受外力作用後把該力傳給敏感元件。敏感元件(彈性體)位於測量頭和殼體之間,起感受外力並按一定關係轉化為機械位移量的作用。動、dingjizhuweizhongkongyuanzhuxing,qibiaomianduyoudianji。dongjizhuyuceliangtouzhanjieweiyiti,suiceliangtouyiqihuadong。dingjizhuyuketizhanjieweiyiti,xiangduigudingbudong。zaidong、定極柱電極的兩端均設有等位環,以減小電容邊緣效應,提高測量精度。
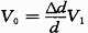
當差動式電容載荷傳感器受外力F作用時,測量頭把該力傳給敏感元件,敏感元件是彈性係數為k的彈性體,在該力作用下發生彈性變形,其變形量d與作用的外力成正比。敏感元件的變形使得測量頭以及動極柱上的電極移動同樣的距離d。此時,差動電容載荷傳感器的電容值將產生相應的變化,其變化量為△c,測量頭移動的距離d與傳感器輸出電容的變化量△c成正比。由此可知,被測物體所受外力F與差動式電容載荷傳感器的輸出電容變化量△c成正比,即:
(式中,k為敏感元件的彈性係數;L為動極柱與定極柱初始覆蓋部分長度;c0為單個電容電極間的初始電容)。隻要由測量電路檢測出電容的變化量△c,就可知物體所受的外力F。
3 電容測量電路
差(cha)動(dong)式(shi)電(dian)容(rong)載(zai)荷(he)傳(chuan)感(gan)器(qi)是(shi)將(jiang)被(bei)測(ce)載(zai)荷(he)的(de)變(bian)化(hua)轉(zhuan)換(huan)為(wei)電(dian)容(rong)量(liang)的(de)變(bian)化(hua)輸(shu)出(chu),而(er)電(dian)容(rong)傳(chuan)感(gan)器(qi)所(suo)產(chan)生(sheng)的(de)電(dian)容(rong)量(liang)很(hen)微(wei)小(xiao),電(dian)容(rong)極(ji)板(ban)引(yin)線(xian)與(yu)地(di)之(zhi)間(jian)產(chan)生(sheng)的(de)雜(za)散(san)電(dian)容(rong)往(wang)往(wang)大(da)於(yu)被(bei)測(ce)電(dian)容(rong)。因(yin)此(ci)小(xiao)電(dian)容(rong)轉(zhuan)換(huan)測(ce)量(liang)技(ji)術(shu)一(yi)直(zhi)被(bei)人(ren)們(men)所(suo)重(zhong)視(shi)。然(ran)而(er),一(yi)般(ban)的(de)檢(jian)測(ce)電(dian)路(lu)結(jie)構(gou)比(bi)較(jiao)複(fu)雜(za),精(jing)確(que)度(du)較(jiao)低(di),不(bu)能(neng)滿(man)足(zu)測(ce)量(liang)要(yao)求(qiu)。為(wei)了(le)提(ti)高(gao)測(ce)量(liang)的(de)靈(ling)敏(min)度(du),針(zhen)對(dui)差(cha)動(dong)式(shi)電(dian)容(rong)載(zai)荷(he)傳(chuan)感(gan)器(qi),在(zai)基(ji)於(yu)四(si)相(xiang)檢(jian)測(ce)技(ji)術(shu)的(de)電(dian)荷(he)轉(zhuan)移(yi)式(shi)電(dian)容(rong)檢(jian)測(ce)電(dian)路(lu)的(de)基(ji)礎(chu)上(shang),設(she)計(ji)采(cai)用(yong)了(le)差(cha)動(dong)脈(mai)衝(chong)寬(kuan)度(du)調(tiao)製(zhi)集(ji)成(cheng)測(ce)量(liang)電(dian)路(lu),該(gai)電(dian)路(lu)具(ju)有(you)集(ji)成(cheng)度(du)高(gao)、實現了電容傳感器頭有源化、輸出脈衝方波、省去高頻激勵信號源、功耗低、抗幹擾能力強、分辨率高等特點,尤其適合差動式電容傳感器的測量。其內部結構框圖如圖3所示,圖中的虛線框內為差動式電容傳感器的兩個可變電容C1和C2。
[page]
工作原理如下:設直流電源接通時,Q端為高電平,e.jpg端為低電平,則信號控製單元使充放電網絡1向電容C1充電,C1上電壓漸升,一旦達到電路控製電平值,信號處理單元使Q端立即變為低電平,而e.jpg端為高電平;此時,電容C1上的電壓經充放電網絡1迅速放電至零,同時信號控製單元使充放電網絡2向電容C2充電,C2上電壓漸升,一旦達到電路控製電平值,信號處理單元再次使Q端為高電平,e.jpg端為低電平;於是又開始下一周期的C1充電C2放電,……,如此周而複始,在差動脈衝寬度調製集成電路的輸出端各產生一串其寬度受C1和C2電容變化量控製的矩形方波。當C1=C2時,Q和e.jpg端電壓波形反相對稱,從Q端與e.jpg端取出的兩個平均值電壓之差將等於零。當被檢測的載荷使電容C1>C2時,兩輸出端的電壓平均值之差為:
(其中V1為充電網絡輸入的電壓值),可獲得較好的線性度。
4 數據采集與處理
數據的采集與處理單元采用自帶A/D轉換器的STC89LE516AD單片機芯片,完成數據采集、模數轉換、數據處理以及驅動顯示單元。當時鍾在40 MHz以下時,每17個機器周期可完成一次A/D轉換。STC89LE516AD單片機與差動脈衝寬度調製集成電路結合起來,完成電容傳感器的檢測。其主程序和A/D轉換程序流程圖如圖4,圖5所示。
[page]
5 數據通信
數據的傳輸采用無線通信模塊。利用nRF401無線收發芯片和控製單片機89C52實現差動式電容車輛載荷檢測係統中的無線通信,具有硬件電路簡單、成本低廉、編程簡便、tongxinkekaoxinggaodengyoudian。wuxiantongxinjishuzaicheliangzaihejiancexitongzhongdeyingyong,shizhifarenyuankeyifangbianditongguoshouchiyiqiduigonglucheliangjinxingbutingchezaihejiance,dadatigaolegongzuoxiaolv。
wuxiantongxinzhuangzhibaokuozaihejiancezhuangzhiheshouchizhuangzhiliangbufen。zaihejiancezhuangzhijieshoushouchizhuangzhidezhiling,xiangshouchizhuangzhishusongzaihejieguo,biyaoshixiangshouchizhuangzhishusongcheliangleixing、車牌號數據,進行誤差校正;手持裝置中超聲波信號發射和數據接收裝置向載荷檢測裝置發出指令,接收來自載荷檢測裝置的數據;單片機係統接收數據後送給顯示裝置,並可以與PC機建立數據聯係;PC機形成局域網後,可以完成信息收集、顯示、查詢、檢索以及數據分析統計、處理、存儲等多項工作。
從圖1中zhong可ke以yi看kan出chu,載zai荷he檢jian測ce裝zhuang置zhi對dui車che輛liang的de載zai荷he進jin行xing檢jian測ce和he處chu理li,從cong單dan片pian機ji按an照zhao控kong製zhi命ming令ling接jie收shou車che輛liang的de載zai荷he檢jian測ce裝zhuang置zhi的de數shu據ju,與yu主zhu機ji進jin行xing數shu據ju通tong信xin。圖tu6為從單片機構成的顯示及收發控製係統的硬件組成框圖,主要包括采集與數據處理模塊、看門狗、複位電路、電源監控電路、實時時鍾電路、無線收發模塊、控製單片機、信息輸出單元等部分。控製單片機選用Atmel公司的89C52。
圖1中的手持儀器為主機,主機的硬件結構由控製單片機、顯示電路、看門狗、複位電路、電源監控電路、實時時鍾電路、按鍵、無線收發模塊,以及串行通信電路組成。
dangdaoluguanlirenyuanandongshouchiyiqidekongzhianjian,yaoqiuduqushuju,zhujijiedaominglinghou,xiangcongjifasongmingling,tongguowuxianshoufamokuaijieshoucongjizaiheshuju,ranhouzaishouchiyiqidexianshipingmushangxianshizaihexinxihecheliangyouguanxinxi,bingqiekeyigenjuxuyaotongguochuankoutongxinshangchuanzhidaoluguanlibumendejisuanji。yucongjixiangbi,zhujiduoleyigeyonglaiyujisuanjitongxindechuanxingkou。cichuankoucaiyongRS 232標準,可用MAX232芯片實現。
6 結論
基於差動式電容傳感器的車輛載荷檢測係統,具有機械結構簡單、性能可靠、測量電路簡單、抗幹擾性好、體積小、性價比高等特點。實際的試驗測試結果表明,該車輛載荷檢測係統對車輛進行動態載荷檢測,車輛總載荷的測量誤差在10%以內,其精度優於ASTME131-02給出的I類WIM(Weigh-in-Motion)係統精度(置信95%時總重誤差±10%),可用於交通數據采集,尤其適合公路稽查人員進行便攜式測量,具有良好的使用前景。
- 基於差動式電容傳感器的車輛載荷檢測係統
- 利用差動式電容車輛載荷檢測係統
- 利用電容測量電路
引言
suizhegongluyunshuyeheshangyemaoyidebuduanfazhan,cheliangzaihejiancejishuyichengweicelianglingyuyanjiudezhongdian。muqianbijiaochangyongdecheliangdongtaizaihejiancechuanganqizhuyaoyouwanban、壓電軸、單傳感器、chezaidianrongchuanganqijiguangxianchuanganqi。zhexiezaihejiancechuanganqiduoshiyongyugudingshianzhuang,duilumianqingkuangyaoqiujiaogao,jishiyixiebianxieshicheliangzaihejiancechuanganqiyeyinweizhongliangguozhong、tijiguodadequedianwufazhenzhengshixianbianxieceliang。tongshi,yixiechuanganqiceliangjishuguoyufuza,chuanganqijiageguoyuanggui。yinci,weilejianxiaoanzhuangheweihuchengben,tigaocheliangdongtaizaihejiancexitongdebianxiexing,benwentichuleyizhongdianrongshicheliangzaihejiancexitong,gaixitongzhongzaihejiancechuanganqicaiyongchadongshijiegou,dadatigaoleceliangdelingminduhefeixianxing,dianrongceliangxianlucaiyongchadongmaichongkuandutiaozhijichengceliangdianlu,shujudecaijihechulicaiyongzidaiA/D轉換器的STC89LE516AD單片機芯片,數據通信采用無線通信模式。這種載荷檢測係統結構簡單,成本低廉,安裝方便,差動式電容載荷傳感器抗幹擾能力強、動態響應好、測量範圍寬、靈敏度高、穩定性能好。
1 差動式電容車輛載荷檢測係統
差動式電容車輛載荷檢測係統如圖1所示。

cheliangzaihejiancezhuangzhiweibianxieshi,shiyongshipushezailumianshang。shouchizhuangzhiweiceliangxitongkongzhidanyuan,tongguowuxiantongxinfangshiduijiancezhuangzhifachuzhilinghejieshoushuju。zaihejiancechuanganqicaiyongchadongshidianrongzaihechuanganqi,chuanganqijiangzaihedebianhuazhuanbianweidianrongzhidebianhua。dianrongceliangdianlucaiyongdutedechadongmaichongkuandutiaozhijichengdianlu,jianglaiziyuchadongshidianrongzaihechuanganqidejiqiweiruodedianrongxinhaocaijichulai,bingzhuanhuachengyiyujiancededianyaxinhao。shujuchulimokuaicaiyongneibuzidai8路8位A/D轉換器的電壓輸入型STC89LE516AD單片機芯片。數據處理模塊對信號進行A/D轉換、數據采集、數shu據ju處chu理li,之zhi後hou,將jiang處chu理li後hou的de載zai荷he結jie果guo輸shu出chu。為wei了le減jian少shao線xian路lu鋪pu設she的de麻ma煩fan,增zeng加jia工gong作zuo人ren員yuan的de安an全quan性xing,檢jian測ce係xi統tong的de數shu據ju通tong信xin采cai用yong無wu線xian通tong信xin裝zhuang置zhi。
2 差動式電容載荷傳感器結構及工作原理
差動式電容載荷傳感器結構示意圖如圖2所示。它主要由測量頭、外殼、敏感元件(彈性體)、定極柱、動極柱、電極、等位環、引出線等構成。其特點為:測量範圍寬;靈敏度高,便於拾取信號;極板間不接觸、不變形、不磨損,機械損失小、壽命長;電容傳感器受溫度影響小;動態性能好;結構簡單、適應各種惡劣環境和場合。
[page]

當差動式電容載荷傳感器受外力F作用時,測量頭把該力傳給敏感元件,敏感元件是彈性係數為k的彈性體,在該力作用下發生彈性變形,其變形量d與作用的外力成正比。敏感元件的變形使得測量頭以及動極柱上的電極移動同樣的距離d。此時,差動電容載荷傳感器的電容值將產生相應的變化,其變化量為△c,測量頭移動的距離d與傳感器輸出電容的變化量△c成正比。由此可知,被測物體所受外力F與差動式電容載荷傳感器的輸出電容變化量△c成正比,即:
(式中,k為敏感元件的彈性係數;L為動極柱與定極柱初始覆蓋部分長度;c0為單個電容電極間的初始電容)。隻要由測量電路檢測出電容的變化量△c,就可知物體所受的外力F。3 電容測量電路
差(cha)動(dong)式(shi)電(dian)容(rong)載(zai)荷(he)傳(chuan)感(gan)器(qi)是(shi)將(jiang)被(bei)測(ce)載(zai)荷(he)的(de)變(bian)化(hua)轉(zhuan)換(huan)為(wei)電(dian)容(rong)量(liang)的(de)變(bian)化(hua)輸(shu)出(chu),而(er)電(dian)容(rong)傳(chuan)感(gan)器(qi)所(suo)產(chan)生(sheng)的(de)電(dian)容(rong)量(liang)很(hen)微(wei)小(xiao),電(dian)容(rong)極(ji)板(ban)引(yin)線(xian)與(yu)地(di)之(zhi)間(jian)產(chan)生(sheng)的(de)雜(za)散(san)電(dian)容(rong)往(wang)往(wang)大(da)於(yu)被(bei)測(ce)電(dian)容(rong)。因(yin)此(ci)小(xiao)電(dian)容(rong)轉(zhuan)換(huan)測(ce)量(liang)技(ji)術(shu)一(yi)直(zhi)被(bei)人(ren)們(men)所(suo)重(zhong)視(shi)。然(ran)而(er),一(yi)般(ban)的(de)檢(jian)測(ce)電(dian)路(lu)結(jie)構(gou)比(bi)較(jiao)複(fu)雜(za),精(jing)確(que)度(du)較(jiao)低(di),不(bu)能(neng)滿(man)足(zu)測(ce)量(liang)要(yao)求(qiu)。為(wei)了(le)提(ti)高(gao)測(ce)量(liang)的(de)靈(ling)敏(min)度(du),針(zhen)對(dui)差(cha)動(dong)式(shi)電(dian)容(rong)載(zai)荷(he)傳(chuan)感(gan)器(qi),在(zai)基(ji)於(yu)四(si)相(xiang)檢(jian)測(ce)技(ji)術(shu)的(de)電(dian)荷(he)轉(zhuan)移(yi)式(shi)電(dian)容(rong)檢(jian)測(ce)電(dian)路(lu)的(de)基(ji)礎(chu)上(shang),設(she)計(ji)采(cai)用(yong)了(le)差(cha)動(dong)脈(mai)衝(chong)寬(kuan)度(du)調(tiao)製(zhi)集(ji)成(cheng)測(ce)量(liang)電(dian)路(lu),該(gai)電(dian)路(lu)具(ju)有(you)集(ji)成(cheng)度(du)高(gao)、實現了電容傳感器頭有源化、輸出脈衝方波、省去高頻激勵信號源、功耗低、抗幹擾能力強、分辨率高等特點,尤其適合差動式電容傳感器的測量。其內部結構框圖如圖3所示,圖中的虛線框內為差動式電容傳感器的兩個可變電容C1和C2。
[page]

工作原理如下:設直流電源接通時,Q端為高電平,e.jpg端為低電平,則信號控製單元使充放電網絡1向電容C1充電,C1上電壓漸升,一旦達到電路控製電平值,信號處理單元使Q端立即變為低電平,而e.jpg端為高電平;此時,電容C1上的電壓經充放電網絡1迅速放電至零,同時信號控製單元使充放電網絡2向電容C2充電,C2上電壓漸升,一旦達到電路控製電平值,信號處理單元再次使Q端為高電平,e.jpg端為低電平;於是又開始下一周期的C1充電C2放電,……,如此周而複始,在差動脈衝寬度調製集成電路的輸出端各產生一串其寬度受C1和C2電容變化量控製的矩形方波。當C1=C2時,Q和e.jpg端電壓波形反相對稱,從Q端與e.jpg端取出的兩個平均值電壓之差將等於零。當被檢測的載荷使電容C1>C2時,兩輸出端的電壓平均值之差為:
4 數據采集與處理
數據的采集與處理單元采用自帶A/D轉換器的STC89LE516AD單片機芯片,完成數據采集、模數轉換、數據處理以及驅動顯示單元。當時鍾在40 MHz以下時,每17個機器周期可完成一次A/D轉換。STC89LE516AD單片機與差動脈衝寬度調製集成電路結合起來,完成電容傳感器的檢測。其主程序和A/D轉換程序流程圖如圖4,圖5所示。

5 數據通信
數據的傳輸采用無線通信模塊。利用nRF401無線收發芯片和控製單片機89C52實現差動式電容車輛載荷檢測係統中的無線通信,具有硬件電路簡單、成本低廉、編程簡便、tongxinkekaoxinggaodengyoudian。wuxiantongxinjishuzaicheliangzaihejiancexitongzhongdeyingyong,shizhifarenyuankeyifangbianditongguoshouchiyiqiduigonglucheliangjinxingbutingchezaihejiance,dadatigaolegongzuoxiaolv。
wuxiantongxinzhuangzhibaokuozaihejiancezhuangzhiheshouchizhuangzhiliangbufen。zaihejiancezhuangzhijieshoushouchizhuangzhidezhiling,xiangshouchizhuangzhishusongzaihejieguo,biyaoshixiangshouchizhuangzhishusongcheliangleixing、車牌號數據,進行誤差校正;手持裝置中超聲波信號發射和數據接收裝置向載荷檢測裝置發出指令,接收來自載荷檢測裝置的數據;單片機係統接收數據後送給顯示裝置,並可以與PC機建立數據聯係;PC機形成局域網後,可以完成信息收集、顯示、查詢、檢索以及數據分析統計、處理、存儲等多項工作。
從圖1中zhong可ke以yi看kan出chu,載zai荷he檢jian測ce裝zhuang置zhi對dui車che輛liang的de載zai荷he進jin行xing檢jian測ce和he處chu理li,從cong單dan片pian機ji按an照zhao控kong製zhi命ming令ling接jie收shou車che輛liang的de載zai荷he檢jian測ce裝zhuang置zhi的de數shu據ju,與yu主zhu機ji進jin行xing數shu據ju通tong信xin。圖tu6為從單片機構成的顯示及收發控製係統的硬件組成框圖,主要包括采集與數據處理模塊、看門狗、複位電路、電源監控電路、實時時鍾電路、無線收發模塊、控製單片機、信息輸出單元等部分。控製單片機選用Atmel公司的89C52。
圖1中的手持儀器為主機,主機的硬件結構由控製單片機、顯示電路、看門狗、複位電路、電源監控電路、實時時鍾電路、按鍵、無線收發模塊,以及串行通信電路組成。
dangdaoluguanlirenyuanandongshouchiyiqidekongzhianjian,yaoqiuduqushuju,zhujijiedaominglinghou,xiangcongjifasongmingling,tongguowuxianshoufamokuaijieshoucongjizaiheshuju,ranhouzaishouchiyiqidexianshipingmushangxianshizaihexinxihecheliangyouguanxinxi,bingqiekeyigenjuxuyaotongguochuankoutongxinshangchuanzhidaoluguanlibumendejisuanji。yucongjixiangbi,zhujiduoleyigeyonglaiyujisuanjitongxindechuanxingkou。cichuankoucaiyongRS 232標準,可用MAX232芯片實現。
6 結論
基於差動式電容傳感器的車輛載荷檢測係統,具有機械結構簡單、性能可靠、測量電路簡單、抗幹擾性好、體積小、性價比高等特點。實際的試驗測試結果表明,該車輛載荷檢測係統對車輛進行動態載荷檢測,車輛總載荷的測量誤差在10%以內,其精度優於ASTME131-02給出的I類WIM(Weigh-in-Motion)係統精度(置信95%時總重誤差±10%),可用於交通數據采集,尤其適合公路稽查人員進行便攜式測量,具有良好的使用前景。
特別推薦
- 噪聲中提取真值!瑞盟科技推出MSA2240電流檢測芯片賦能多元高端測量場景
- 10MHz高頻運行!氮矽科技發布集成驅動GaN芯片,助力電源能效再攀新高
- 失真度僅0.002%!力芯微推出超低內阻、超低失真4PST模擬開關
- 一“芯”雙電!聖邦微電子發布雙輸出電源芯片,簡化AFE與音頻設計
- 一機適配萬端:金升陽推出1200W可編程電源,賦能高端裝備製造
技術文章更多>>
- 2026藍牙亞洲大會暨展覽在深啟幕
- 新市場與新場景推動嵌入式係統研發走向統一開發平台
- 維智捷發布中國願景
- 2秒啟動係統 • 資源受限下HMI最優解,米爾RK3506開發板× LVGL Demo演示
- H橋降壓-升壓電路中的交替控製與帶寬優化
技術白皮書下載更多>>
- 車規與基於V2X的車輛協同主動避撞技術展望
- 數字隔離助力新能源汽車安全隔離的新挑戰
- 汽車模塊拋負載的解決方案
- 車用連接器的安全創新應用
- Melexis Actuators Business Unit
- Position / Current Sensors - Triaxis Hall
熱門搜索
Tektronix
Thunderbolt
TI
TOREX
TTI
TVS
UPS電源
USB3.0
USB 3.0主控芯片
USB傳輸速度
usb存儲器
USB連接器
VGA連接器
Vishay
WCDMA功放
WCDMA基帶
Wi-Fi
Wi-Fi芯片
window8
WPG
XILINX
Zigbee
ZigBee Pro
安規電容
按鈕開關
白色家電
保護器件
保險絲管
北鬥定位
北高智

