DC/DC電源中的紋波抑製設計
發布時間:2011-07-25
中心議題:
- 有源濾波器設計原理
- DC/DC電源中的紋波抑製設計
解決方案:
- 有源濾波器設計
- LC低通濾波器設計
開關電源以其體積小、效率高等優點在通信設備中得到了廣泛應用。但duiyushuchudianyawenboyaoqiujiaoxiaodechanghe,chuantongkaiguandianyuanshejideshuchudianyawenbojiaoda,yibunengdadaoshejiyaoqiu。ertongguocaiyongbenwendeyouyuanlvboqijiqiqianduanjiaruLCditonglvboqiwangluodefangfa,zenenggouduiwenbojinxingyouxiaoyizhi,congerdadaoshejisuoxuyaodezhibiao。shiyanjieguobiaoming,gaifangfajuyouyidingdelilunyushijiyiyi。
1 有源濾波器原理
有源濾波器的設計原理圖如圖1所示,圖中采用了一個運算放大器、四個電阻和兩個電容來構成有適當阻尼的二階有源低通濾波器。

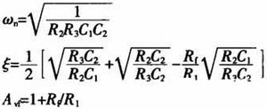
利用理想運放的分析方法,求得該電路的頻率特性函數為:

一般情況下,根據二階低通濾波器的頻率特性函數為:

通過上式可以求出該有源濾波器的一些參數,如自然角頻率ωn阻尼係數ξ和閉環增益Avf等:

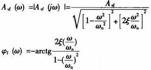
由上麵的公式可以推得二階低通濾波器的幅頻特性Avf(ω)和相頻特性φf(ω)為:

[page]
圖2所示是其幅頻特性與相頻特性圖。

2 LC低通濾波器
在zai實shi際ji應ying用yong中zhong,有you源yuan低di通tong濾lv波bo器qi由you於yu受shou到dao運yun算suan放fang大da器qi的de增zeng益yi和he帶dai寬kuan限xian製zhi,其qi工gong作zuo在zai高gao頻pin段duan的de波bo形xing效xiao果guo不bu太tai理li想xiang,而er在zai有you源yuan低di通tong濾lv波bo器qi的de前qian端duan加jia入ru截jie止zhi頻pin率lv較jiao高gao的deLC低通濾波器,則可以達到比較理想的紋波抑製效果。其前端加入LC的濾波器原理圖如圖3所示。
3 實驗結果及其波形
在有輸出紋波的波形中,圖4給出了未使用有源濾波網絡的輸出電壓紋波圖,而圖5所示則是使用有源濾波網絡後的輸出電壓紋波圖。

4 結束語
通過對比可以看出,采用本文的有源濾波網絡及在其前端加入LC低通濾波電路,可以有效的濾除電壓紋波,達到方案中所要求的技術指標,同時,供電設備的工作穩定性也可得到可靠保證。
- 噪聲中提取真值!瑞盟科技推出MSA2240電流檢測芯片賦能多元高端測量場景
- 10MHz高頻運行!氮矽科技發布集成驅動GaN芯片,助力電源能效再攀新高
- 失真度僅0.002%!力芯微推出超低內阻、超低失真4PST模擬開關
- 一“芯”雙電!聖邦微電子發布雙輸出電源芯片,簡化AFE與音頻設計
- 一機適配萬端:金升陽推出1200W可編程電源,賦能高端裝備製造
- 2026藍牙亞洲大會暨展覽在深啟幕
- 新市場與新場景推動嵌入式係統研發走向統一開發平台
- 維智捷發布中國願景
- 2秒啟動係統 • 資源受限下HMI最優解,米爾RK3506開發板× LVGL Demo演示
- H橋降壓-升壓電路中的交替控製與帶寬優化
- 車規與基於V2X的車輛協同主動避撞技術展望
- 數字隔離助力新能源汽車安全隔離的新挑戰
- 汽車模塊拋負載的解決方案
- 車用連接器的安全創新應用
- Melexis Actuators Business Unit
- Position / Current Sensors - Triaxis Hall

