超級電容的典型應用與選型
發布時間:2010-05-27 來源:電子元件技術網
超chao級ji電dian容rong通tong過guo分fen離li正zheng負fu電dian荷he來lai儲chu存cun能neng量liang,是shi物wu理li方fang法fa儲chu能neng,電dian池chi是shi用yong化hua學xue反fan應ying的de方fang法fa來lai儲chu能neng,所suo以yi電dian池chi的de反fan應ying時shi間jian會hui很hen長chang,超chao級ji電dian容rong容rong量liang大da,充chong放fang電dian速su度du快kuai,而er且qie充chong放fang電dian循xun環huan可ke達da百bai萬wan次ci,非fei常chang適shi合he用yong作zuo備bei用yong電dian源yuan和he提ti供gong峰feng值zhi功gong率lv。
超級電容工作原理
超級電容可以用做後備電源,類似於UPS,在(zai)係(xi)統(tong)突(tu)然(ran)斷(duan)電(dian)後(hou),負(fu)責(ze)在(zai)極(ji)短(duan)時(shi)間(jian)內(nei)為(wei)係(xi)統(tong)提(ti)供(gong)能(neng)量(liang)。在(zai)這(zhe)種(zhong)應(ying)用(yong)中(zhong),需(xu)要(yao)後(hou)備(bei)電(dian)源(yuan)有(you)快(kuai)速(su)的(de)啟(qi)動(dong)時(shi)間(jian)。由(you)於(yu)超(chao)級(ji)電(dian)容(rong)是(shi)物(wu)理(li)反(fan)應(ying)的(de)方(fang)式(shi)儲(chu)存(cun)電(dian)能(neng),充(chong)放(fang)電(dian)速(su)度(du)快(kuai),相(xiang)對(dui)電(dian)池(chi)有(you)著(zhe)更(geng)為(wei)快(kuai)速(su)的(de)響(xiang)應(ying)時(shi)間(jian)。

圖1:超級電容用作備用電源示意圖
電池的充放電大概在1小時到10個小時左右,而傳統用於濾波的電容,充放電在0.03秒,超級電容充放電在1秒左右,基本上是從0.1秒到10秒,這個時間正好是汽車、吊車刹車或啟動的時間,其他設備比如風力發電中,風輪機變槳的時候要提供能量也是在這個時間段。
在風力發電風輪機變槳時、機車、電動機、汽車、吊車啟動時需要的能量遠大於其正常工作時需要的能量,超級電容可以輔助電池、發動機等動力係統提供峰值功率,從而減輕電池或發動機的負擔。沒有超級電容時,在負載啟動、維持運行和終止的過程中,能量全部由電池或發動機供給。如果加入了超級電容,負載啟動時需要的峰值功率可以由超級電容承擔。

圖2:超級電容提供峰值功率示意圖
在機車、電動機、汽車、吊diao車che刹sha車che時shi,超chao級ji電dian容rong可ke以yi重zhong新xin捕bu獲huo能neng量liang。這zhe樣yang,加jia入ru了le超chao級ji電dian容rong做zuo輔fu助zhu電dian源yuan,可ke以yi提ti高gao能neng量liang利li用yong效xiao率lv,延yan長chang電dian池chi或huo發fa動dong機ji壽shou命ming。同tong時shi相xiang對dui於yu沒mei有you超chao級ji電dian容rong的de動dong力li係xi統tong,電dian池chi或huo發fa動dong機ji不bu需xu要yao提ti供gong峰feng值zhi功gong率lv,因yin而er尺chi寸cun可ke以yi更geng小xiao。下xia圖tu是shi超chao級ji電dian容rong輔fu助zhu電dian池chi、發動機的工作模式示意圖。

圖3:沒有超級電容的動力係統工作模式

圖4:超級電容用作輔助電源的動力係統工作模式
[page]
超級電容提供峰值功率的應用案例
集ji裝zhuang箱xiang龍long門men吊diao車che使shi用yong柴chai油you機ji做zuo動dong力li,當dang龍long門men下xia來lai的de時shi候hou有you一yi個ge動dong能neng,通tong常chang是shi通tong過guo刹sha車che電dian阻zu耗hao散san動dong能neng,刹sha車che電dian阻zu是shi個ge耗hao能neng電dian阻zu,把ba電dian變bian成cheng熱re耗hao散san掉diao。如ru果guo使shi用yong了le超chao級ji電dian容rong,刹sha車che的de動dong能neng可ke以yi轉zhuan換huan成cheng電dian能neng,通tong過guo一yi定ding的de電dian路lu充chong電dian到dao超chao級ji電dian容rong裏li麵mian去qu,反fan過guo來lai當dang龍long門men上shang升sheng的de時shi候hou通tong過guo一yi定ding的de逆ni行xing電dian路lu把ba超chao級ji電dian容rong的de能neng量liang反fan饋kui到dao電dian機ji裏li麵mian。
youyushiyonglechaojidianrongtigongfengzhigonglv,chaiyoujizhixuyaotigongweichiyunxingdejiaoxiaodegonglv,yinerchaiyoujidechicunkeyijianxiaoyiban,tongshijieshenglechengben。leisideyingyonghaibaokuochache、混合動力汽車、輕軌或地鐵。

圖5:超級電容用在集裝箱龍門吊車上麵
自動抄表係統抄表時,數據發送需要非常大的能量,超級電容能夠提供大的能量。下圖是Maxwellchaojidianrongzaizhinengdianbiaoshangdeyingyong,chaojidianrongqudaililizidianchi,shoumingkeyiyanchangyibei,zhanbanmianjibililizidianchixiao。zaizidongchaobiaoxitongzhongdeshuibiaoheqibiaozhong,chaojidianrongpeihedianchi,yanchangshiyongshouming。

圖6:超級電容在智能電表中替代電池
選擇合適的超級電容
超級電容的選型和數量配置需要根據不同的應用來判斷,選擇要素包括最大和最小工作電壓、平均電流、平均功率、峰值電流、峰值功率、工作環境溫度、運行時間、壽命。
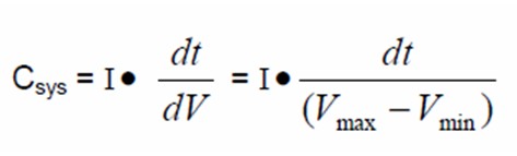
超級電容的額定電壓用VR表示,通過最大工作電壓(Vmax)可以算出需要串聯的超級電容的數量。計算公式為:

接下來,根據平均電流(I,單位為安培)、運行時間(dt,單位為秒)、最小工作電壓(Vmin),通過下麵公式,就能計算出係統所需要的電容容值的近似值。
![]()
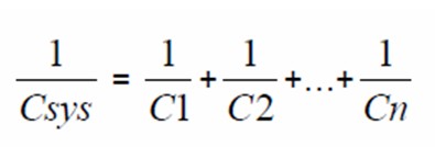
係統電容值與串聯的每個電容之間的關係用下麵的公式表示:

如果使用相同容值的電容,那麼公式可以簡化為:
。根據這個計算值,對照產品規格表,可以找出合適的產品。
如果各個電容之間是並聯關係,係統電容值與單個電容之間的容值關係式為:
![]()
除此之外,其他需要考慮的因素有,電容的內阻與瞬時電壓降有關,工作環境溫度會影響電容內阻和壽命。
- 噪聲中提取真值!瑞盟科技推出MSA2240電流檢測芯片賦能多元高端測量場景
- 10MHz高頻運行!氮矽科技發布集成驅動GaN芯片,助力電源能效再攀新高
- 失真度僅0.002%!力芯微推出超低內阻、超低失真4PST模擬開關
- 一“芯”雙電!聖邦微電子發布雙輸出電源芯片,簡化AFE與音頻設計
- 一機適配萬端:金升陽推出1200W可編程電源,賦能高端裝備製造
- 博世半導體亮相北京車展:以技術創新驅動智能出行
- 超低功耗微控製器模塊為工程師帶來新的機遇——第1部分:Eclipse項目設置
- 英偉達吳新宙北京車展解讀:以五層架構與開放生態,加速汽車駛向L4
- 三星上演罕見對峙:工會集會討薪,股東隔街抗議
- 摩爾線程實現DeepSeek-V4“Day-0”支持,國產GPU適配再提速
- 車規與基於V2X的車輛協同主動避撞技術展望
- 數字隔離助力新能源汽車安全隔離的新挑戰
- 汽車模塊拋負載的解決方案
- 車用連接器的安全創新應用
- Melexis Actuators Business Unit
- Position / Current Sensors - Triaxis Hall

