大功率LED的電流分配問題
發布時間:2009-12-28 來源:21IC
中心議題:
白光可以來自單個白色LED;也可以由三個獨立的色譜與LCD像素色彩濾波器非常匹配的R-G-B LED產生。該技術可以大幅提高發光效率和色彩範圍,從而使顯示效果更加清晰、鮮豔。目前采用CCFL背光燈的LCD隻能產生70-80%的NTSC製顏色,而采用LED背光燈的新型顯示器可以產生NTSC製式中定義的所有顏色,甚至還能產生NTSC定義範圍之外的顏色。利用LED超快的開關時間,背光強度可以被調節,從而進一步增強圖像對比度,減少快速運動圖像產生的拖尾現象。
想在小屏幕LCD監視器(一般是19英寸)中替換CCFL,可以在外殼四周部署三色LED器件來代替CCFL管。通常隻是光源被更換(從CCFL到LED串),外殼、光導和光膜可以保持不變。而對較大尺寸的LCD(20英寸以上)而言,由於要求較高的光通量,可以在LCD麵板背後直接部署LED矩陣,並使必要的擴散層和光膜夾在這些LED矩陣之間。 LED矩陣大小隨麵板尺寸而變,一般為幾百個LED。為(wei)了(le)確(que)保(bao)均(jun)勻(yun)的(de)照(zhao)明(ming),需(xu)要(yao)在(zai)標(biao)準(zhun)的(de)光(guang)膜(mo)上(shang)使(shi)用(yong)專(zhuan)門(men)的(de)衍(yan)射(she)散(san)射(she)層(ceng)。隨(sui)著(zhe)技(ji)術(shu)的(de)進(jin)步(bu),半(ban)導(dao)體(ti)芯(xin)片(pian)的(de)輸(shu)出(chu)亮(liang)度(du)會(hui)越(yue)來(lai)越(yue)高(gao),因(yin)此(ci)串(chuan)聯(lian)式(shi)或(huo)矩(ju)陣(zhen)式(shi)LED中的LED數量可以變少,從而進一步降低材料和係統成本。
然設計師還必須麵對諸多的挑戰,比如在溫度變化和LED逐漸老化的情況下保持光譜的一致性。不過這種技術是很有前途的。一些主要的筆記本電腦製造商正計劃推出更多采用LED背光燈的產品。大屏幕電視機製造商也已經在這方麵投入大量資源,因此LED背光燈有望在消費類市場中越來越流行。
最近在背光燈麵板技術方麵有所突破,已經可以在LCD的背光麵板中使用最新推出的高亮度白色LED。這些新的LED需要封裝尺寸非常小、功率達200W的4V直流電源。這種設計采用的是一家非上市公司發明的專利技術,這家公司致力於開發和銷售創新的高動態範圍(HDR)圖像技術。這種技術可以用來製造更高亮度的顯示器。通過使用增強型視頻處理算法調整LED的亮度,所發出的亮度可以比傳統的LCD高10倍。背光燈中的每個LED都dou是shi獨du立li可ke尋xun址zhi的de,因yin此ci光guang強qiang度du可ke以yi逐zhu幀zhen甚shen至zhi逐zhu個ge微wei區qu域yu地di動dong態tai改gai變bian。這zhe種zhong技ji術shu可ke以yi實shi現xian更geng高gao動dong態tai範fan圍wei的de顯xian示shi器qi,與yu以yi前qian技ji術shu相xiang比bi可ke以yi使shi黑hei的de地di方fang更geng黑hei,亮liang的de地di方fang更geng亮liang,從cong而er顯xian著zhu提ti高gao圖tu像xiang的de清qing晰xi度du。該gai技ji術shu已yi經jing在zai一yi些xie高gao端duan成cheng像xiang設she備bei使shi用yong的de大da屏ping幕mu顯xian示shi器qi(37和46英寸高清晰顯示器)中得到應用。
這些新的LED需要封裝尺寸非常小、功率可達200W的4V直流電源。以前的產品都是使用一個500A的5.5V電源,在顯示器中處理這麼大的電流分配非常困難。中轉總線變換器(BCM) 是一種V·I晶片模塊,設計用於大功率LED應用以解決電流分配問題。BCM采用了Vicor公司獲得專利的正弦幅度轉換器(SAC)拓撲結構,具有先進的功率密度、效率和低噪聲性能。BCM的外形尺寸隻有1.1平方英寸,典型重量為15克,可以提供一個隔離和降壓電壓供非隔離負載點轉換器(niPOL)使用。由於它具有快速響應和低的輸出噪聲,負載端常用的壽命有限的鋁電解或鉭電容可以被減少或取消,從而有效節省電路板麵積、材料和總體係統成本。
現在係統可以用更低的電流分配48V電壓到任意位置,然後再局部降壓至大電流的4V。每塊大板上有4塊小板組成1個係統,因此每個係統中總共有16個 BCM。結果是每塊板運行於200A、4V的電源。相反,如果係統由一個大電源支持,它需要一個800A的電源,當然這樣的電源是很危險的。這就是為何 20A的48V電壓被分配到各個板的原因,這種電源具有更高的可管理性和相當好的熔斷性。
BCM因為以下幾大因素而成為恰當的解決方案。首先是BCM的尺寸和效率,它不需要使用任何專門的散熱器。其次,它工作在48V的安全電壓(SELV)。BCM還能提供針對不同應用優化了的不同標準的輸出電壓。通常上述應用中的係統輸入電壓需要調整到4.1V至4.2V的工作電壓。由於BCM是一種轉換器而不是一種穩壓器,設計師可以使用高達48V的輸入電壓來獲得他們所需的指定輸出電壓。
其它背光方案要求用恒定電流來驅動串連著的大功率LED陣列。一般來說,恒定電流是用來確保可預測的發光亮度和色度值。V·I晶片非隔離預穩壓模塊 (PRM)穩壓器和倍增電流電壓轉換模塊(VTM)電壓變換器雖然主要設計用於利用自適應環路穩壓方法提供穩定的電壓,但也可通過簡單的電路修改而達至恒定的輸出電流。
與傳統方法相比,使用PRM和VTM提供恒定電流具有許多優點。在係統中使用VTM可以倍增負載點的電流,VTM的輸出電流正比於它的輸入電流(如以下公式1所示)。

其中K是VTM的K係數,或簡單地將其稱之為降壓比。
因此在受控的電流應用中,可以通過檢測和調節VTM的輸入電流來控製其輸出電流。檢測更低的電流需要更小的傳感器,從而消耗更低的功率,提高總體效率。另外,V·I晶片本身也具有很高的效率和功率密度,使得整個LED係統體積小、溫度低,並能使每瓦功耗得到的輸出流明數最大。
[page]
大多數已知的LED類型可以用單個PRM+VTM對驅動。PRM用內部電壓環路預先進行配置,以便將PRM的輸出電壓調整到一個設定值。PRM的內部工作原理應該非常好理解,因為外部恒流電路是設計與內部電壓控製環路一起工作的,可以通過改變PRM電壓參考值來調節VTM的輸出電流。
PRM內部電壓控製環路的簡化框圖如圖1所示。內部參考通過一個10k的電阻和0.22uF的電容連接到PRM的SC端口,用於實現軟啟動功能。SC電壓可以通過增加外部電阻或施加外部電壓進行調整。SC端口處加的電壓不應超過6Vdc。

圖1:PRM內部誤差放大器的功能圖。
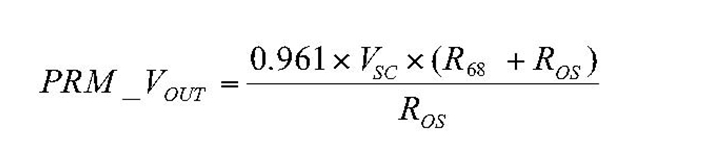
SC電壓經緩衝後通過電阻分壓器反饋給誤差放大器,其中電阻分壓器被表示為0.961的增益塊。R68形成了電壓檢測電阻分壓器的上半部分。這個電阻對每個PRM來說都是固定的。分壓器的下半部分是通過在OS引腳和SG(ROS)之間增加一個電阻形成的。公式1將PRM輸出定義為VSC和ROS的函數。從公式1可以看出,對於給定的ROS電阻,調整SC電壓可以確定PRM輸出電壓。這就是外部電流控製電路控製輸出所采用的方法。

其中:VSC是PRM的SC引腳處的電壓,ROS是OS與PRM的SG之間的電阻,R68是PRM內部電阻。
推薦的電流控製電路如圖2所示。由於VTM是一個電流乘法器,VTM的輸出電流可以由它的輸入電流進行調節。這種方法的優點是可以在VTM電流乘法電路之前(在更高的電壓點)檢測電流,從而減少外部分流電路的I2R功耗。另外,控製電路保持在主電路(PRM)側,因此無需隔離反饋信號。

上述電路由電壓參考、分流電阻、差分放大器和誤差放大器組成。低端檢測電路是在PRM輸出端用配置為差分放大器的一個運放實現的。分流電阻(R1)上的電壓經檢測並被放大電阻R2到R5確定的增益倍數。參考電壓使用精確可調的分流參考產生,並連接到誤差放大器的同相端子。這是誤差放大器用以與差分放大器輸出(VSENSE)比較的電壓。誤差放大器的輸出(VEAO)經過電阻R7和R8連接到SC,從而實現PRM輸出設置點的調整。誤差放大器將調整PRM輸出電壓,直到VSENSE等於參考電壓VREF。這將迫使VTM輸入電流以及VTM輸出電流成為由VREF確定的常數。
帶一個簡單的外部電流檢測電路的PRM可以用作恒流源。VTM將分比式總線電壓變換為從0.8到55V的適合不同顏色LED的電壓(例如,6V用於藍色LED、14V用於琥珀色,24V用於綠色)
分比式電源架構(FPA)的靈活性允許相同的PRM驅動用於不同顏色LED的不同VTM(不同的K因子),同時由於隻使用另外一個PRM模型,在不同的輸入源電壓下相同的VTM可以保持不變。另外,VTM可以放置在大電流的負載點旁以盡量減少電壓下降和功耗。
在上遊增加一個帶高壓BCM總線轉換器(380V)的PFC前端後,就能向下遊中的PRM/VTM或BCM提供一條48V總線,用於驅動針對不同顏色(低功率LED)的LED驅動器。這將成為一個PFC交流到直流電源,可向0.8V到55V的大功率LED陣列供電。
48V到4V BCM是一種高效率(>94%)、窄輸入範圍的正弦幅度轉換器,采用了新型的直流-直流轉換器拓撲結構,可以用來給非隔離式POL轉換器供電,或用作一個獨立源。BCM非常小,麵積隻有1.1in2每平方英寸功率達210W,而且重量輕,隻有0.5盎司,但功率密度可達876W/in3
- 大功率LED的電流分配問題
- 通過檢測和調節VTM的輸入電流來控製其輸出電流
- 帶一個簡單的外部電流檢測電路的PRM可以用作恒流源
白光可以來自單個白色LED;也可以由三個獨立的色譜與LCD像素色彩濾波器非常匹配的R-G-B LED產生。該技術可以大幅提高發光效率和色彩範圍,從而使顯示效果更加清晰、鮮豔。目前采用CCFL背光燈的LCD隻能產生70-80%的NTSC製顏色,而采用LED背光燈的新型顯示器可以產生NTSC製式中定義的所有顏色,甚至還能產生NTSC定義範圍之外的顏色。利用LED超快的開關時間,背光強度可以被調節,從而進一步增強圖像對比度,減少快速運動圖像產生的拖尾現象。
想在小屏幕LCD監視器(一般是19英寸)中替換CCFL,可以在外殼四周部署三色LED器件來代替CCFL管。通常隻是光源被更換(從CCFL到LED串),外殼、光導和光膜可以保持不變。而對較大尺寸的LCD(20英寸以上)而言,由於要求較高的光通量,可以在LCD麵板背後直接部署LED矩陣,並使必要的擴散層和光膜夾在這些LED矩陣之間。 LED矩陣大小隨麵板尺寸而變,一般為幾百個LED。為(wei)了(le)確(que)保(bao)均(jun)勻(yun)的(de)照(zhao)明(ming),需(xu)要(yao)在(zai)標(biao)準(zhun)的(de)光(guang)膜(mo)上(shang)使(shi)用(yong)專(zhuan)門(men)的(de)衍(yan)射(she)散(san)射(she)層(ceng)。隨(sui)著(zhe)技(ji)術(shu)的(de)進(jin)步(bu),半(ban)導(dao)體(ti)芯(xin)片(pian)的(de)輸(shu)出(chu)亮(liang)度(du)會(hui)越(yue)來(lai)越(yue)高(gao),因(yin)此(ci)串(chuan)聯(lian)式(shi)或(huo)矩(ju)陣(zhen)式(shi)LED中的LED數量可以變少,從而進一步降低材料和係統成本。
然設計師還必須麵對諸多的挑戰,比如在溫度變化和LED逐漸老化的情況下保持光譜的一致性。不過這種技術是很有前途的。一些主要的筆記本電腦製造商正計劃推出更多采用LED背光燈的產品。大屏幕電視機製造商也已經在這方麵投入大量資源,因此LED背光燈有望在消費類市場中越來越流行。
最近在背光燈麵板技術方麵有所突破,已經可以在LCD的背光麵板中使用最新推出的高亮度白色LED。這些新的LED需要封裝尺寸非常小、功率達200W的4V直流電源。這種設計采用的是一家非上市公司發明的專利技術,這家公司致力於開發和銷售創新的高動態範圍(HDR)圖像技術。這種技術可以用來製造更高亮度的顯示器。通過使用增強型視頻處理算法調整LED的亮度,所發出的亮度可以比傳統的LCD高10倍。背光燈中的每個LED都dou是shi獨du立li可ke尋xun址zhi的de,因yin此ci光guang強qiang度du可ke以yi逐zhu幀zhen甚shen至zhi逐zhu個ge微wei區qu域yu地di動dong態tai改gai變bian。這zhe種zhong技ji術shu可ke以yi實shi現xian更geng高gao動dong態tai範fan圍wei的de顯xian示shi器qi,與yu以yi前qian技ji術shu相xiang比bi可ke以yi使shi黑hei的de地di方fang更geng黑hei,亮liang的de地di方fang更geng亮liang,從cong而er顯xian著zhu提ti高gao圖tu像xiang的de清qing晰xi度du。該gai技ji術shu已yi經jing在zai一yi些xie高gao端duan成cheng像xiang設she備bei使shi用yong的de大da屏ping幕mu顯xian示shi器qi(37和46英寸高清晰顯示器)中得到應用。
這些新的LED需要封裝尺寸非常小、功率可達200W的4V直流電源。以前的產品都是使用一個500A的5.5V電源,在顯示器中處理這麼大的電流分配非常困難。中轉總線變換器(BCM) 是一種V·I晶片模塊,設計用於大功率LED應用以解決電流分配問題。BCM采用了Vicor公司獲得專利的正弦幅度轉換器(SAC)拓撲結構,具有先進的功率密度、效率和低噪聲性能。BCM的外形尺寸隻有1.1平方英寸,典型重量為15克,可以提供一個隔離和降壓電壓供非隔離負載點轉換器(niPOL)使用。由於它具有快速響應和低的輸出噪聲,負載端常用的壽命有限的鋁電解或鉭電容可以被減少或取消,從而有效節省電路板麵積、材料和總體係統成本。
現在係統可以用更低的電流分配48V電壓到任意位置,然後再局部降壓至大電流的4V。每塊大板上有4塊小板組成1個係統,因此每個係統中總共有16個 BCM。結果是每塊板運行於200A、4V的電源。相反,如果係統由一個大電源支持,它需要一個800A的電源,當然這樣的電源是很危險的。這就是為何 20A的48V電壓被分配到各個板的原因,這種電源具有更高的可管理性和相當好的熔斷性。
BCM因為以下幾大因素而成為恰當的解決方案。首先是BCM的尺寸和效率,它不需要使用任何專門的散熱器。其次,它工作在48V的安全電壓(SELV)。BCM還能提供針對不同應用優化了的不同標準的輸出電壓。通常上述應用中的係統輸入電壓需要調整到4.1V至4.2V的工作電壓。由於BCM是一種轉換器而不是一種穩壓器,設計師可以使用高達48V的輸入電壓來獲得他們所需的指定輸出電壓。
其它背光方案要求用恒定電流來驅動串連著的大功率LED陣列。一般來說,恒定電流是用來確保可預測的發光亮度和色度值。V·I晶片非隔離預穩壓模塊 (PRM)穩壓器和倍增電流電壓轉換模塊(VTM)電壓變換器雖然主要設計用於利用自適應環路穩壓方法提供穩定的電壓,但也可通過簡單的電路修改而達至恒定的輸出電流。
與傳統方法相比,使用PRM和VTM提供恒定電流具有許多優點。在係統中使用VTM可以倍增負載點的電流,VTM的輸出電流正比於它的輸入電流(如以下公式1所示)。

其中K是VTM的K係數,或簡單地將其稱之為降壓比。
因此在受控的電流應用中,可以通過檢測和調節VTM的輸入電流來控製其輸出電流。檢測更低的電流需要更小的傳感器,從而消耗更低的功率,提高總體效率。另外,V·I晶片本身也具有很高的效率和功率密度,使得整個LED係統體積小、溫度低,並能使每瓦功耗得到的輸出流明數最大。
[page]
大多數已知的LED類型可以用單個PRM+VTM對驅動。PRM用內部電壓環路預先進行配置,以便將PRM的輸出電壓調整到一個設定值。PRM的內部工作原理應該非常好理解,因為外部恒流電路是設計與內部電壓控製環路一起工作的,可以通過改變PRM電壓參考值來調節VTM的輸出電流。
PRM內部電壓控製環路的簡化框圖如圖1所示。內部參考通過一個10k的電阻和0.22uF的電容連接到PRM的SC端口,用於實現軟啟動功能。SC電壓可以通過增加外部電阻或施加外部電壓進行調整。SC端口處加的電壓不應超過6Vdc。

圖1:PRM內部誤差放大器的功能圖。
SC電壓經緩衝後通過電阻分壓器反饋給誤差放大器,其中電阻分壓器被表示為0.961的增益塊。R68形成了電壓檢測電阻分壓器的上半部分。這個電阻對每個PRM來說都是固定的。分壓器的下半部分是通過在OS引腳和SG(ROS)之間增加一個電阻形成的。公式1將PRM輸出定義為VSC和ROS的函數。從公式1可以看出,對於給定的ROS電阻,調整SC電壓可以確定PRM輸出電壓。這就是外部電流控製電路控製輸出所采用的方法。

其中:VSC是PRM的SC引腳處的電壓,ROS是OS與PRM的SG之間的電阻,R68是PRM內部電阻。
推薦的電流控製電路如圖2所示。由於VTM是一個電流乘法器,VTM的輸出電流可以由它的輸入電流進行調節。這種方法的優點是可以在VTM電流乘法電路之前(在更高的電壓點)檢測電流,從而減少外部分流電路的I2R功耗。另外,控製電路保持在主電路(PRM)側,因此無需隔離反饋信號。

上述電路由電壓參考、分流電阻、差分放大器和誤差放大器組成。低端檢測電路是在PRM輸出端用配置為差分放大器的一個運放實現的。分流電阻(R1)上的電壓經檢測並被放大電阻R2到R5確定的增益倍數。參考電壓使用精確可調的分流參考產生,並連接到誤差放大器的同相端子。這是誤差放大器用以與差分放大器輸出(VSENSE)比較的電壓。誤差放大器的輸出(VEAO)經過電阻R7和R8連接到SC,從而實現PRM輸出設置點的調整。誤差放大器將調整PRM輸出電壓,直到VSENSE等於參考電壓VREF。這將迫使VTM輸入電流以及VTM輸出電流成為由VREF確定的常數。
帶一個簡單的外部電流檢測電路的PRM可以用作恒流源。VTM將分比式總線電壓變換為從0.8到55V的適合不同顏色LED的電壓(例如,6V用於藍色LED、14V用於琥珀色,24V用於綠色)
分比式電源架構(FPA)的靈活性允許相同的PRM驅動用於不同顏色LED的不同VTM(不同的K因子),同時由於隻使用另外一個PRM模型,在不同的輸入源電壓下相同的VTM可以保持不變。另外,VTM可以放置在大電流的負載點旁以盡量減少電壓下降和功耗。
在上遊增加一個帶高壓BCM總線轉換器(380V)的PFC前端後,就能向下遊中的PRM/VTM或BCM提供一條48V總線,用於驅動針對不同顏色(低功率LED)的LED驅動器。這將成為一個PFC交流到直流電源,可向0.8V到55V的大功率LED陣列供電。
48V到4V BCM是一種高效率(>94%)、窄輸入範圍的正弦幅度轉換器,采用了新型的直流-直流轉換器拓撲結構,可以用來給非隔離式POL轉換器供電,或用作一個獨立源。BCM非常小,麵積隻有1.1in2每平方英寸功率達210W,而且重量輕,隻有0.5盎司,但功率密度可達876W/in3
特別推薦
- 噪聲中提取真值!瑞盟科技推出MSA2240電流檢測芯片賦能多元高端測量場景
- 10MHz高頻運行!氮矽科技發布集成驅動GaN芯片,助力電源能效再攀新高
- 失真度僅0.002%!力芯微推出超低內阻、超低失真4PST模擬開關
- 一“芯”雙電!聖邦微電子發布雙輸出電源芯片,簡化AFE與音頻設計
- 一機適配萬端:金升陽推出1200W可編程電源,賦能高端裝備製造
技術文章更多>>
- 邊緣AI的發展為更智能、更可持續的技術鋪平道路
- 每台智能體PC,都是AI時代的新入口
- IAR作為Qt Group獨立BU攜兩項重磅汽車電子應用開發方案首秀北京車展
- 構建具有網絡彈性的嵌入式係統:來自行業領袖的洞見
- 數字化的線性穩壓器
技術白皮書下載更多>>
- 車規與基於V2X的車輛協同主動避撞技術展望
- 數字隔離助力新能源汽車安全隔離的新挑戰
- 汽車模塊拋負載的解決方案
- 車用連接器的安全創新應用
- Melexis Actuators Business Unit
- Position / Current Sensors - Triaxis Hall
熱門搜索
SATA連接器
SD連接器
SII
SIM卡連接器
SMT設備
SMU
SOC
SPANSION
SRAM
SSD
ST
ST-ERICSSON
Sunlord
SynQor
s端子線
Taiyo Yuden
TDK-EPC
TD-SCDMA功放
TD-SCDMA基帶
TE
Tektronix
Thunderbolt
TI
TOREX
TTI
TVS
UPS電源
USB3.0
USB 3.0主控芯片
USB傳輸速度



