DIY:LED標牌和LED矩陣顯示屏
發布時間:2015-07-06 責任編輯:tomruanduo
首先,我們要對比不同的LED驅動電路,以確定最佳方案。
連接電壓源
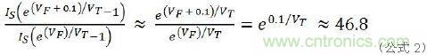
眾所周知,LED 燈(或二極管)在具有足夠正向電壓(VF)時開始導通。導通時其正向電流通常會發光。根據這個基本知識可以得出圖1a中的第一種選項,不過這樣行不通。因為 LED 電流是其電壓偏置的指數函數(公式1),LED 燈的光強度對該電壓非常敏感。大多數情況下,大電流條件通常會將原本長壽命的LED變成昂貴的閃光燈泡。
![]()
下麵是圖1a行不通的原因所在。在公式1中,IS、RS是常數,取決於LED產品本身,與VT是熱電壓無關。假設串聯電阻RS是理想值零,那麼僅0.1V的VF變化就會產生47倍的ILED差異。

例如,20mA的目標LED電流值在其偏置電流出現僅0.1V的差異時就會跳變至1A。即使考慮實際RS值,真實LED器件在具有0.1V偏置差異時仍會出現10至20倍的差異。

圖 1.對比三種LED驅動電路
支持流限電阻器的電壓源
現在我們來看看圖1b。添加一個限流電阻器RLIMIT來保護LED燈。由於有限流電阻器,因此該燈不會被燒壞。在視頻顯示器應用領域,這種方法在控製LED光強度方麵仍然不夠好。LED曲線和RLIMIT產生的負載曲線可決定其LED電流值。如紅色或藍色標記所示,該LED和電阻器分別存在製造誤差造成的正向電壓變化及電阻變化。這些誤差因素會使LED電流(綠)產生不可忽視的變化。
恒流源
圖1c采用恒流電路而非電阻器。該恒流驅動器電路可直接將LED電流調節為目標值。無論LED燈在製造過程中會產生多少VF變化,LED都會傳導特定的電流值。LED燈的光強度與通過 PN 結點的電荷緊密相關,因此該恒流驅動器是從LED燈獲得統一光輸出的理想方法。
此外,我們都知道集成電路(IC)可提供良好的匹配電路對。這也是選擇恒流法的另一個優勢。圖2是LED驅動器的基本輸出級結構。市場上很多LED驅動器IC都有參考電流設置端 IREF,該參考電流是鏡像到其輸出端的恒流。
圖 2. LED 驅動器IC的基本輸出配置
圖2是該討論的結果,即LED驅動器的基本輸出電路配置。
色彩驅動
到目前為止,我們已經能夠確定如何驅動單個LED燈了。下一步是為視頻顯示係統實現全色彩光輸出。通過組合光的不同深淺紅綠藍三原色(RGB),任何色彩都可生成。較為熟悉的示例是采用個人計算機(PC)上的色彩選擇工具。
數字或模擬的灰階控製
PC 操作係統將三種色彩混合為256個色階(每階8個二進製位)或更多,以顯示全彩色像素。對於LED顯示係統而言,也需要采用相同概念的色階色彩強度控製,以便在LED驅動器設計中實現色階控製或灰階控製。
首先應決定使用數字控製還是模擬控製。前麵已經介紹過,經過 PN 結點的總電荷數可決定光強度,因此數字和模擬方法均可控製光強度。圖3是數字和模擬法中的50%灰階控製。在總體256個色階的示例中,該50%表明了一個有128個灰階的目標。

圖 3.數字和模擬的50%強度控製
LED 電流與色彩變化
這時候,需要考慮電流變化對LED光輸出波長值的影響。改變波長就意味著改變人眼看到的色彩。圖4是綠色LED燈的實例。通常在業界,510nm 廣泛代表綠色。因此,大部分LED燈製造商所設計的LED燈產品在最大額定電流下都具備510nm的波長。在圖4中,隨著LED電流的升高,波長可達到510nm。獲得綠色的最佳方法是盡量使燈的驅動電流接近最大額定值。這也就說明了為什麼使用數字控製比使用模擬控製好。
選擇數字控製的另一個優勢是便於以數字電路模塊的形式對LED驅動器IC實施控製。對於256階的灰階控製而言,數字控製的成本比模擬控製低。

圖 4.綠色LED電流與波長實例
這種ON/OFF 數字控製稱之為脈寬調製(PWM)控製,或者PWM調光。現將PWM控製開關添加至圖2。
RGB LED燈可平鋪構成2維(2D)影像。
顯示係統結構
RGB LED燈可用於構成正方形的基礎結構或模塊。它通常包含一塊PCB以及一個16×16至64×64的像素陣列,不同的應用有所不同。可將多個模塊組合在一起,構成機械係統結構或麵板。LED顯示係統廠商通常提供各種麵板。每個麵板都有機械框架,可放置多個模塊。它包含一個或多個控製單元,用以提供電源分配、數shu據ju接jie口kou和he處chu理li器qi。在zai構gou建jian體ti育yu場chang大da屏ping幕mu或huo路lu邊bian廣guang告gao牌pai等deng顯xian示shi係xi統tong的de現xian場chang,可ke安an裝zhuang多duo塊kuai麵mian板ban構gou成cheng最zui終zhong顯xian示shi屏ping。在zai施shi工gong現xian場chang,每mei塊kuai麵mian板ban的de所suo有you數shu據ju線xian和he電dian源yuan線xian都dou會hui集ji中zhong在zai中zhong央yang控kong製zhi單dan元yuan。

圖 5.LED 顯示係統由模塊/麵板/顯示屏組成
像素間距
一套LED顯示係統包含大量的LED燈和一個大電源。設計係統時需要重點考慮LED燈的密度優化問題。LED 燈(deng)的(de)該(gai)密(mi)度(du)稱(cheng)為(wei)每(mei)個(ge)像(xiang)素(su)的(de)距(ju)離(li)或(huo)像(xiang)素(su)間(jian)距(ju)。如(ru)果(guo)像(xiang)素(su)間(jian)距(ju)太(tai)密(mi),一(yi)旦(dan)超(chao)出(chu)了(le)人(ren)眼(yan)能(neng)識(shi)別(bie)的(de)精(jing)度(du),它(ta)就(jiu)不(bu)會(hui)改(gai)善(shan)影(ying)像(xiang)輸(shu)出(chu)質(zhi)量(liang),而(er)且(qie)會(hui)增(zeng)加(jia)成(cheng)本(ben)。人(ren)眼(yan)可(ke)識(shi)別(bie)的(de)兩(liang)個(ge)單(dan)光(guang)源(yuan)是(shi)在(zai)這(zhe)兩(liang)點(dian)形(xing)成(cheng)1個弧度的1/60(=1 弧分)時。

圖 6.人眼可識別的分辨率
圖6是如何計算人眼可分辨像素間距Dpp1。如公式3所示,其中L為視距。
在最佳實踐中,DPP1可視為過大,對於高質量視頻係統而言三倍Dpp1就夠好了。在公式4中,DPP是指導標準。
公式4 的簡單記憶方法是:所需的像素間距(毫米:mm)=“視距”(米:m)
例如,5m視距的係統需要5mm像素間距來實現良好分辨率。另一個視覺實例如圖7所示,圖中展示了過低像素間距如何降低輸出影像質量。像素間距為12.5mm 的影像(上)看起來很粗糙,無法近距離辨識。但保持一定的距離觀看時影像開始變得清晰,與觀看像素間距為5mm的影像(下)類似。這個實例清楚地說明了視距與像素間距的關係。

圖 7.不同像素間距與視距的對比
靜態驅動器與時分複用驅動器
從圖2可以看出,LED燈的陰極采用當前市場常見的LED驅動器IC驅動。這裏要討論LED燈的陽極驅動器電路。陰極采用恒流驅動器有優勢,陽極希望也隻提供足夠的電壓。但仍需做出如何驅動陽極的重要決定!
圖8 對比了靜態陽極驅動器係統與時分複用陽極驅動器係統。靜態陽極驅動器配置十分明確:一個LED驅動器IC驅動一個LED。在設計具有大量像素點的係統時,靜態陽極驅動器需要大量LED驅動器IC。相反,時分複用陽極驅動器係統讓多個LED燈共享一個IC,因而使用的LED驅動器IC數量較少。時分複用驅動器的權衡在於輸出LED光強度會因分時而降低。
在戶外顯示係統中,需要極強的LED輸(shu)出(chu)來(lai)克(ke)服(fu)太(tai)陽(yang)光(guang)亮(liang)度(du),以(yi)便(bian)人(ren)眼(yan)能(neng)看(kan)清(qing)楚(chu)影(ying)像(xiang)。在(zai)這(zhe)種(zhong)戶(hu)外(wai)係(xi)統(tong)中(zhong),更(geng)適(shi)合(he)選(xuan)用(yong)靜(jing)態(tai)陽(yang)極(ji)驅(qu)動(dong)器(qi)。另(ling)一(yi)方(fang)麵(mian),在(zai)室(shi)內(nei)係(xi)統(tong)中(zhong),時(shi)分(fen)複(fu)用(yong)陽(yang)極(ji)驅(qu)動(dong)器(qi)則(ze)是(shi)降(jiang)低(di)係(xi)統(tong)構(gou)建(jian)成(cheng)本(ben)的(de)好(hao)方(fang)法(fa)。

圖 8.靜態陽極驅動器與時分複用陽極驅動器
如何創建電影/視頻影像
幀速率/幀刷新率
老式模擬電視通常在一秒鍾內顯示24張不同的靜態影像,幀速率為24。當模擬電視攝像機拍攝另一個模擬電視屏幕時,可產生由視頻影像與黑色條帶構成的斑馬紋混合畫麵(圖9)。這種現象由同步電視攝像機和電視屏幕掃描率引起。在拍攝LED屏幕的攝像機采用時分複用陽極驅動器時,也會出現相同的問題。應用實例包括使用電視攝像機拍攝背景牆壁上由LED顯示器放大演員的舞台影像或者用電視攝像機拍攝體育場中體育賽事比分牌或標牌等。要避免這個問題,LED顯示器現在需要比攝像機係統運行得更快,特別是在專用LED顯示器市場。

圖 9. 電視攝像機拍攝另一個電視屏幕引起的黑色條帶
為滿足更快運行這一要求,很多LED顯示係統都在一個幀周期內反複顯示相同的影像,稱為幀刷新率。圖10是幀速率與刷新率的關係。隻有兩張幀影像:A 和 B。每個幀重複“影像 x”兩次。因而本實例“幀刷新率”= 2 ד幀速率”。

圖 10.幀速率與幀刷新率
在普通LED顯示係統中,幀速率在50Hz至120Hz的範圍內,而幀刷新率則介於50Hz至2kHz之間。
ON/OFF 控製驅動器或 PWM 控製驅動器
為了滿足係統幀速率與刷新率的需求,需要在實施邏輯電路的兩種方法中做出選擇。第一種是ON/OFF控製驅動器,而第二種則是PWM控製驅動器。
圖11a是采用ON/OFF控製IC的係統,具有每個位對應於一個輸出的ON/OFF寄存器。寄存器位的邏輯高可打開對應的輸出,而邏輯低則可將其關閉。
圖11b是采用PWM控製IC的係統,具有一個可參考時鍾計數器的灰階參考時鍾輸入端。另外,該IC還具有一組保存灰階邏輯代碼的寄存器。PWM 比較器可通過計數器和灰階 (GS)寄存器比較和生成PWM輸出模式。
對於這兩種類型的驅動器IC而言,兩種工作都是並列執行的:
- 恒流驅動器模塊根據當前顯示周期數據的輸入驅動其LED燈陣列;
- 並將下一個顯示周期的數據接收在移位寄存器中。


圖 11.采用ON/OFF控製IC和PWM控製IC的LED顯示係統
總結
縱觀全文,我們介紹單個LED燈的驅動器電路,再討論詳細的LED燈物理特性、顯示係統的物理布局與結構以及靜態及時分複用控製,進而得出完整的LED驅動器IC結構。然後我們介紹影像處理控製器IC與LED驅動器IC之間的數據傳送,並舉出實例。還探討與LED顯示驅動器IC有關的特性主題。
- 噪聲中提取真值!瑞盟科技推出MSA2240電流檢測芯片賦能多元高端測量場景
- 10MHz高頻運行!氮矽科技發布集成驅動GaN芯片,助力電源能效再攀新高
- 失真度僅0.002%!力芯微推出超低內阻、超低失真4PST模擬開關
- 一“芯”雙電!聖邦微電子發布雙輸出電源芯片,簡化AFE與音頻設計
- 一機適配萬端:金升陽推出1200W可編程電源,賦能高端裝備製造
- 貿澤EIT係列新一期,探索AI如何重塑日常科技與用戶體驗
- 算力爆發遇上電源革新,大聯大世平集團攜手晶豐明源線上研討會解鎖應用落地
- 創新不止,創芯不已:第六屆ICDIA創芯展8月南京盛大啟幕!
- AI時代,為什麼存儲基礎設施的可靠性決定數據中心的經濟效益
- 矽典微ONELAB開發係列:為毫米波算法開發者打造的全棧工具鏈
- 車規與基於V2X的車輛協同主動避撞技術展望
- 數字隔離助力新能源汽車安全隔離的新挑戰
- 汽車模塊拋負載的解決方案
- 車用連接器的安全創新應用
- Melexis Actuators Business Unit
- Position / Current Sensors - Triaxis Hall



