能源之星LED照明測量標準及檢測細節解讀
發布時間:2012-02-28
中心議題:
- 針對固態照明產品的光色特性規格定義
- IESNA定義固態照明量測新方法
解決方案:
- 控製測試環境溫度
- 不需暗房條件的積分球量測係統
- 與亮度計共享可量測全光通量
- 撘配光譜儀可消除V(λ)失匹配誤差
為加速LED照明商品化,北美能源之星針對LED照明產品特性,訂定迥異於傳統照明的測試規範,包含環境溫度測試、積分球量測、配光曲線等,透過LED照明產品測試方式定義的一致性,區分出LED照明裝置的優良,有利於質量升級。
美國能源之星(Energy Star)已陸續發布針對固態照明產品的檢測規範定義,文件當中包含檢測項目、檢測方法依據的規範、須(xu)檢(jian)測(ce)的(de)樣(yang)品(pin)數(shu)量(liang)及(ji)合(he)格(ge)判(pan)定(ding)的(de)規(gui)格(ge)數(shu)值(zhi),另(ling)外(wai)對(dui)於(yu)可(ke)進(jin)行(xing)測(ce)試(shi)的(de)授(shou)權(quan)實(shi)驗(yan)室(shi)也(ye)有(you)明(ming)確(que)說(shuo)明(ming)。在(zai)能(neng)源(yuan)之(zhi)星(xing)對(dui)固(gu)態(tai)照(zhao)明(ming)產(chan)品(pin)測(ce)試(shi)所(suo)引(yin)用(yong)的(de)規(gui)範(fan)當(dang)中(zhong),異(yi)於(yu)傳(chuan)統(tong)照(zhao)明(ming)的(de)部(bu)分(fen),包(bao)含(han)ANSI C78.377-2008、北美照明協會(IESNA)LM-79-08、IESNA LM-80-08三份規範(圖1),本篇文章將僅就ANSI C78.377-2008及IESNA LM-79-08的檢測細節進行說明,並針對檢測所需的儀器設備原理介紹。

圖1 能源之星對固態照明之檢測規範依據:ANSI C78.377-2008、IESNA LM-79-08、IESNA LM-80-08
固態照明燈具色溫等級較廣
此(ci)規(gui)範(fan)包(bao)含(han)美(mei)國(guo)國(guo)家(jia)標(biao)準(zhun)中(zhong)針(zhen)對(dui)固(gu)態(tai)照(zhao)明(ming)產(chan)品(pin)的(de)光(guang)色(se)特(te)性(xing)規(gui)格(ge)定(ding)義(yi),適(shi)用(yong)於(yu)室(shi)內(nei)使(shi)用(yong)的(de)燈(deng)具(ju),不(bu)包(bao)括(kuo)戶(hu)外(wai)燈(deng)具(ju)。其(qi)中(zhong),重(zhong)點(dian)有(you)兩(liang)部(bu)分(fen),其(qi)一(yi)是(shi)定(ding)義(yi)相(xiang)對(dui)色(se)溫(wen)(CCT)的分級,其次是針對同一相對色溫標稱等級其允許的色溫變異範圍作定義。
規gui範fan中zhong所suo述shu固gu態tai照zhao明ming的de光guang色se規gui格ge要yao求qiu,源yuan自zi於yu熒ying光guang燈deng的de光guang色se分fen級ji規gui格ge,但dan有you鑒jian於yu固gu態tai照zhao明ming尚shang處chu於yu起qi步bu階jie段duan,未wei如ru熒ying光guang燈deng發fa展zhan已yi趨qu於yu成cheng熟shu,因yin此ci在zai定ding義yi光guang色se要yao求qiu時shi,采cai取qu較jiao大da的de變bian異yi範fan圍wei。目mu前qian規gui範fan對dui固gu態tai照zhao明ming燈deng具ju區qu分fen為wei八ba個ge色se溫wen等deng級ji,分fen別bie為wei2700K、3000K、3500K、4000K、4500K、5000K、5700K及6500K(圖2)。

圖2 八個相對色溫指定值在CIE 1931之區域定義
圖2中六個橢圓區塊為ANSI C78.376定義熒光燈的色溫等級區塊,其所采取的色溫允許變異範圍為七階MacAdam橢圓範圍。對於固態照明,將允許變異範圍加大,圖2中的八個菱形區塊即為固態照明的八個色溫等級色度坐標(x,y)範圍。色溫分級有助於固態照明供貨商及使用者有共同的色溫標準語言。另外,此規範也定義演色性(Color Rendering Index, CRI),作為評估固態照明光色特性的另一指標。對於量測光色特性的方式,則對應到LM-79規範。
[page]
固態照明不適用傳統量測 IESNA定義新方法
IESNA LM79-08於2008年公布,為測試方法的標準規範,內容針對固態照明的發光效率(單位:每瓦流明數(lm/W))、光通量(單位:流明(lm))、光強度的空間分布、色度、色差、光色空間均勻性、相對色溫及演色性等進行量測方式與對應設備要求定義。
先xian前qian傳chuan統tong照zhao明ming多duo是shi將jiang燈deng具ju及ji光guang源yuan分fen開kai量liang測ce,但dan固gu態tai照zhao明ming可ke能neng出chu現xian燈deng具ju及ji光guang源yuan合he為wei一yi體ti的de情qing況kuang,因yin此ci原yuan先xian針zhen對dui傳chuan統tong照zhao明ming定ding義yi的de規gui範fan並bing不bu適shi用yong。IESNA特(te)別(bie)製(zhi)定(ding)此(ci)規(gui)範(fan),希(xi)望(wang)藉(ji)由(you)定(ding)義(yi)量(liang)測(ce)程(cheng)序(xu)方(fang)法(fa),將(jiang)表(biao)現(xian)固(gu)態(tai)照(zhao)明(ming)特(te)性(xing)的(de)參(can)數(shu),具(ju)有(you)量(liang)測(ce)可(ke)重(zhong)現(xian)性(xing),並(bing)統(tong)一(yi)固(gu)態(tai)照(zhao)明(ming)產(chan)品(pin)光(guang)電(dian)特(te)性(xing)的(de)量(liang)測(ce)手(shou)法(fa),避(bi)免(mian)因(yin)量(liang)測(ce)方(fang)式(shi)不(bu)同(tong)造(zao)成(cheng)爭(zheng)議(yi)。
該規範適用於以發光二極管(LED)weizhubaohandianzikongzhizhuangzhijisanrejigou,qieshiyongjiaoliuhuozhiliudianyuanqudongdegutaizhaomingchanpin。ciguifansuohangaidegutaizhaomingchanpinshiyigejiehedengjuyudengyuandezhaomingchanpin,ruzhengheshiLED燈泡,不包含須額外使用電子控製裝置或散熱機構(如LED芯片、LED組件及LED模塊)的固態照明產品,也不涵蓋供LED光源使用但不包含LED光源販賣形式的燈具。另外,此規範也不適用於確定個體間產品性能的差異。
測試環境溫度須控製
此份規範定義量測時的環境溫度為25±1℃,且量測時,溫度量測點須距離燈具1gongchinei,gaoduxuyudengjutonggaobingbimianguangyuandefushereyingxiang。liangceshigudingdengjudezhiju,yexubimianrechuandaojizuaikongqideziranliudong。ciwai,ciguifanliangcedeguangdianxingneng,buxujiangdengyuanhuodengjujinxing1,000小時的點燈後才進行測試。
為確保待測燈具在測試過程中是穩定的,測試前燈具須進行熱燈動作,使溫度達到平衡,熱燈時間則依燈具而定,如整合式LED燈泡約需30分鍾就能達到平衡,大型燈具可能需1小時或更久的時間。
是否達到穩定的標準,可用光源輸出如固定點的光強度或消耗功率的表現來判定。若熱燈30分鍾,在15分鍾內至少取三個量測值,將最大值減最小值的差除以平均值,結果須小於0.5%,如此可判別燈具是否已熱機完成,實際熱燈時間須於檢測報告中注明。量測過程中燈具的擺放方式須為燈具在正常使用下的姿態。
此份規範定義兩種光通量的量測係統方法,一是使用積分球係統,另一種則為使用配光曲線儀係統。使用哪種係統須依據所要量測的量(顏色、光強度分布)及待測樣品尺寸等來決定。
積分球量測係統不需暗房條件
此方法適用於量測小尺寸固態照明燈具的全光通量及顏色特性,它的優點是快速、且不需暗房即可量測,在球內量測時空氣的擾動可降低,但對於包含散熱裝置的整合式燈具就要注意散熱導致溫度的上升。
LM-79對於積分球的選用有幾項重點:shouxianshijifenqiudechicunyingyaogouda,yibimiandengtifachuderenengshiwendushenggao,yijiyinwenjianbanjidaicedengtizixingxishousuodaozhideliangcewucha。lingzhenduijifenqiudedaxiao,ruoshiliangcexiaoxingdengpao(如傳統燈泡、省電型燈泡),建議球體直徑≧1公尺;量測4呎(約120公分)的熒光燈管、HID燈等較大燈型,建議球體直徑≧1.5公尺;量測500W或更大功率的燈型,則建議球體直徑≧2公尺。
規範中定義使用積分球各裝置的幾何架構如圖3所示。共有兩種,一種為4π,另一種為2π。在4π的幾何架構,固態照明產品的總表麵積不可超過球壁總麵積的2%,例如,在一個2公尺積分球內,待測物若為一個球狀物,其直徑必須小於30毫米。若為線狀產品,其縱向尺寸應小於球直徑的三分之二。在2π架構,安裝固態照明產品的開口直徑應小於球直徑的三分之一。另外固定燈具的治具不可導熱,以避免影響球體溫度。

圖3 積分球裝置之幾何架構。(a)為4π架構,燈體放置於球體中心,(b)為2π架構,適用於前射發光型之光源,燈體放置於球體側麵。
內部塗層反射率則須達90~98%。積ji分fen球qiu內nei的de塗tu層ceng反fan射she率lv較jiao高gao,於yu量liang測ce時shi可ke得de到dao較jiao高gao的de訊xun號hao,且qie對dui於yu積ji分fen球qiu內nei不bu均jun勻yun的de空kong間jian響xiang應ying及ji固gu態tai照zhao明ming光guang強qiang度du分fen布bu變bian化hua所suo引yin起qi的de誤wu差cha也ye可ke降jiang低di。但dan反fan射she率lv高gao時shi,球qiu體ti開kai口kou尺chi寸cun大da小xiao對dui平ping均jun反fan射she率lv的de影ying響xiang就jiu須xu予yu以yi評ping估gu。
積ji分fen球qiu內nei應ying裝zhuang有you輔fu助zhu燈deng,其qi作zuo用yong在zai於yu評ping估gu燈deng體ti自zi吸xi收shou的de部bu分fen,以yi得de到dao自zi吸xi收shou因yin子zi。檔dang板ban大da小xiao應ying盡jin量liang縮suo小xiao,但dan須xu能neng防fang止zhi球qiu體ti所suo允yun許xu量liang測ce最zui大da尺chi寸cun燈deng體ti的de光guang線xian直zhi射she偵zhen測ce器qi。而er文wen件jian板ban的de放fang置zhi位wei置zhi,一yi般ban建jian議yi為wei從cong偵zhen測ce器qi算suan起qi,介jie於yu球qiu半ban徑jing三san分fen之zhi一yi至zhi二er分fen之zhi一yi長chang度du的de距ju離li為wei文wen件jian板ban位wei置zhi。另ling外wai輔fu助zhu燈deng也ye須xu有you檔dang板ban,作zuo用yong一yi樣yang是shi避bi免mian光guang線xian直zhi射she偵zhen測ce器qi。
[page]
測量全光光譜輻射通量的標準燈通常是石英鎢絲白熾燈(圖4)。它有較寬的連續光譜表現,因此用以校正可見光域的光譜輻射計。對於2π球體,僅需前半麵發光的標準燈,作法可將石英鎢絲白熾燈,加上反射罩使光線為前射型。對於4π球體,通常使用全向發光的標準燈,但也可用前射標準燈。

圖4 常見用以校正用之石英鎢絲白熾燈
須xu注zhu意yi的de重zhong點dian為wei標biao準zhun燈deng的de點dian燈deng擺bai放fang位wei置zhi將jiang影ying響xiang結jie果guo,也ye就jiu是shi說shuo,如ru果guo標biao準zhun燈deng送song往wang校xiao正zheng單dan位wei進jin行xing量liang測ce時shi,其qi擺bai放fang位wei置zhi為wei何he,在zai傳chuan遞di至zhi待dai校xiao正zheng的de係xi統tong時shi,標biao準zhun燈deng擺bai放fang的de方fang式shi要yao相xiang同tong。另ling外wai對dui於yu待dai測ce光guang源yuan的de光guang型xing分fen布bu與yu標biao準zhun燈deng的de光guang型xing分fen布bu差cha異yi大da時shi也ye會hui影ying響xiang量liang測ce值zhi,例li如ru,待dai測ce光guang源yuan是shi窄zhai角jiao光guang型xing的de分fen布bu,但dan標biao準zhun燈deng為wei全quan向xiang近jin乎hu等deng量liang的de光guang型xing分fen布bu,若ruo以yi此ci種zhong標biao準zhun燈deng進jin行xing校xiao正zheng,再zai量liang測ce窄zhai角jiao光guang型xing燈deng源yuan,結jie果guo必bi定ding差cha異yi很hen大da,因yin此ci可ke準zhun備bei多duo種zhong光guang型xing分fen布bu的de標biao準zhun燈deng進jin行xing校xiao正zheng,以yi量liang測ce不bu同tong光guang型xing分fen布bu的de待dai測ce樣yang品pin。 以積分球形式量測可搭配兩種偵測器,一種為V(λ)亮度計(積分球-亮度計係統),另一種為光譜輻射計(即光譜儀)(積分球-光譜輻射計係統)。
與亮度計共享可量測全光通量
積分球-亮度計係統所使用的V(λ)亮度計可用以量測全光通量,但對於亮度計探頭上的濾片,其光譜響應S(λ)對人眼的明視覺光譜視效函數V(λ)匹pi配pei不bu佳jia時shi,將jiang導dao致zhi量liang測ce上shang的de誤wu差cha,尤you其qi是shi固gu態tai照zhao明ming為wei白bai光guang光guang源yuan時shi,多duo以yi藍lan光guang激ji發fa黃huang色se熒ying光guang粉fen產chan生sheng,在zai藍lan光guang波bo段duan的de視shi效xiao函han數shu匹pi配pei不bu佳jia時shi,差cha異yi的de比bi例li就jiu會hui加jia大da,圖tu5即說明視效函數匹配問題。亮度計探頭的光譜響應與V(λ)曲線不匹配的程度,CIE用來表示f''''''''''''''''1,f''''''''''''''''1值越小兩者間不匹配的程度越小。另外,使用V(λ)亮度計為偵測探頭時,無法進行光色特性的量測。

圖5 白光LED多以藍光激發黃色熒光粉,在藍光波段(圖中箭號表示)處,亮度計探頭的視效函數(虛線表示)響應與CIE V(λ)匹配不佳時,差異的比例就會加大。
撘配光譜儀可消除V(λ)失匹配誤差
由光度量定義,隻要測出被測光源的光譜功率分布,再與V(λ)加權積分,就可以求出相對應的光度量,這種測量光譜光度量的方法為分光法。用分光法可以消除探頭的V(λ)shipipeihebeiceguangyuanyubiaozhunguangyuandeguangpugonglvfenbubuyizhisuodailaidewucha。guangyuandeguangpufushegonglvfenbuyouguangpufushejiceliang,fenguangfaceliangguangduliangdejingduzhuyaoqujueyuguangpufushejidexianxingdongtaifanwei、重複性、光譜波長誤差、雜散光和標定誤差等。
藉由量得的光源光譜輻射功率分布即可進行光色特性數值的計算,包含色度、相對色溫及演色性(CRI)。
此類係統必須參照一個有校準到全可見光域分光輻射通量標準燈來進行校正。其量測原理為通過與參照標準ΦREF (λ)比較,可得到被測固態照明產品的總分光輻射通量ΦTEST (λ),關係式如公式(1)。
………………公式(1)
公式(2)中,yTEST (λ)為待測樣品在此係統下的光譜輻射計的讀值、yREF(λ)為參照標準燈在此係統下的光譜輻射計的讀值,α(λ)則為自吸收因子。
………………公式(2)
yaux,TEST (λ)為不點亮待測樣品,點亮輔助燈,在此係統下的光譜輻射計的讀值;yaux,REF (λ)則為不點亮參照標準燈,點亮輔助燈時,在此係統下的光譜輻射計讀值。從測得的ΦTEST (λ)(單位:W/奈米)總分光輻射通量,可使用公式(3)計算總光通量 ΦTEST (單位:流明)。
………………公式、(3)
[page]
欲獲得光源光型分布信息 非使用配光曲線量測不可
配光曲線量測係統可提供待測光源燈具光強度在空間中的分布,進而透過積分運算得到光通量,此時的光通量可經計算得到全光通量、區域光通量的信息。
此係統也可支持較大型燈具量測。配光曲線量測係統須有暗房、良(liang)好(hao)的(de)環(huan)境(jing)溫(wen)度(du)控(kong)製(zhi)及(ji)避(bi)免(mian)空(kong)氣(qi)擾(rao)動(dong),尤(you)其(qi)對(dui)於(yu)對(dui)溫(wen)度(du)敏(min)感(gan)的(de)固(gu)態(tai)照(zhao)明(ming)燈(deng)具(ju)尤(you)其(qi)重(zhong)要(yao)。因(yin)配(pei)光(guang)曲(qu)線(xian)儀(yi)為(wei)量(liang)測(ce)空(kong)間(jian)中(zhong)各(ge)點(dian)的(de)光(guang)強(qiang)度(du)值(zhi)再(zai)進(jin)行(xing)運(yun)算(suan),相(xiang)較(jiao)於(yu)積(ji)分(fen)球(qiu),配(pei)光(guang)曲(qu)線(xian)量(liang)測(ce)係(xi)統(tong)的(de)量(liang)測(ce)很(hen)耗(hao)時(shi),但(dan)對(dui)於(yu)必(bi)須(xu)得(de)知(zhi)光(guang)源(yuan)光(guang)型(xing)分(fen)布(bu)的(de)情(qing)況(kuang),就(jiu)不(bu)得(de)不(bu)使(shi)用(yong)此(ci)係(xi)統(tong)來(lai)量(liang)測(ce)。
配光曲線量測係統所使用的偵測器與前麵所述積分球量測係統一樣,可搭配亮度計或光譜輻射計進行量測,於是配光曲線儀-亮度計係統及配光曲線儀-光譜輻射計係統應運而生。LM-79特別要求使用亮度計的f''''''''''''''''1須小於3%。不bu論lun是shi哪na種zhong係xi統tong都dou是shi量liang測ce燈deng源yuan各ge方fang向xiang的de光guang強qiang度du值zhi,再zai進jin行xing積ji分fen而er得de出chu光guang通tong量liang值zhi。特te別bie的de是shi,若ruo須xu要yao得de知zhi各ge角jiao度du的de顏yan色se分fen布bu,如ru能neng源yuan之zhi星xing針zhen對dui固gu態tai照zhao明ming要yao求qiu量liang測ce各ge角jiao度du的de光guang色se差cha值zhi時shi,就jiu一yi定ding要yao使shi用yong光guang譜pu輻fu射she計ji,才cai可ke得de知zhi待dai測ce燈deng源yuan的de光guang色se特te性xing。
C-γ配光曲線儀符合LM-79規範
配光曲線儀可分為A-α、B-β、C-γ三種形式,詳見圖6~8。為確保量測時的光源擺放姿態即為使用時的姿態,僅有C-γ符合需求,LM-79因此規定僅可使用C-γ形式的配光曲線儀。C-γ型配光曲線儀包含移動偵測器探頭及移動反光鏡的類別。

圖6 配光曲線儀A-α量測形式示意圖

圖7 配光曲線儀B-β量測形式示意圖
[page]

圖8 配光曲線儀C-γ量測形式示意圖
對於大型燈具,若要符合偵測位置須達最大發光尺寸直徑十倍距離遠的要求(LM-79第10.0節說明寬發光角光源為五倍,窄角光源須更遠),礙ai於yu實shi際ji執zhi行xing空kong間jian的de限xian製zhi,便bian必bi須xu使shi用yong反fan光guang鏡jing。此ci時shi應ying注zhu意yi鏡jing子zi本ben身shen存cun在zai一yi輕qing微wei極ji化hua的de因yin素su,若ruo量liang測ce發fa出chu極ji化hua光guang源yuan的de固gu態tai照zhao明ming產chan品pin的de光guang通tong量liang時shi,就jiu會hui造zao成cheng很hen大da的de誤wu差cha,因yin此ci推tui薦jian使shi用yong不bu帶dai鏡jing子zi的de配pei光guang曲qu線xian儀yi。有you些xie配pei光guang曲qu線xian儀yi會hui在zai旋xuan轉zhuan背bei上shang直zhi接jie裝zhuang設she偵zhen測ce器qi,如ru此ci即ji不bu須xu透tou過guo反fan光guang鏡jing,當dang然ran,若ruo燈deng具ju過guo大da則ze無wu法fa使shi用yong。
此外,也須注意配光曲線儀在環境雜散光的處理。包含燈具光源在機構件上的反光、燈具本體的反光、地麵牆麵反光等,都應加以評估並使用適當的架構,如在偵測期前裝置光陷阱(Light Trap)避免反射雜光進入偵測器,影響量測值。
配光曲線儀架構發展久遠
藉由量測光強度分布I(θ,Φ)如圖9所示,光通量可由公式(4)求得。若以亮度探頭量測照度值E(θ,Φ)進行校正,光通亮的計算方式可由公式(5)計算出來。其中γ為相對於亮度探頭參考平麵的旋轉半徑。量測光強度時,γ須要有足夠的長度。
………………公式(4)
………………公式(5)

圖9 配光曲線儀測試光通量示意圖
常chang見jian幾ji種zhong配pei光guang曲qu線xian儀yi的de運yun作zuo架jia構gou,有you中zhong心xin旋xuan轉zhuan反fan射she鏡jing式shi及ji圓yuan周zhou運yun動dong反fan射she鏡jing式shi。這zhe兩liang種zhong架jia構gou都dou已yi有you幾ji十shi年nian的de曆li史shi了le,中zhong心xin旋xuan轉zhuan反fan射she鏡jing式shi其qi運yun作zuo方fang式shi如ru圖tu10,待測燈具必須在相當大的空間範圍內繞著反射鏡反向且同步旋轉,在暗室中上部溫度高及下部溫度低的現象,溫差有時達到2~5℃,此ci時shi對dui溫wen度du變bian化hua和he氣qi流liu敏min感gan的de燈deng具ju如ru固gu態tai照zhao明ming燈deng具ju,極ji可ke能neng出chu現xian不bu穩wen定ding的de現xian象xiang,為wei降jiang低di氣qi流liu流liu動dong對dui燈deng具ju的de影ying響xiang,在zai運yun行xing時shi須xu放fang慢man速su度du,量liang測ce時shi間jian也ye就jiu增zeng加jia了le。

圖10 中心旋轉反射鏡式之配光曲線儀架構示意
[page]
圓周運動反射鏡式其運作方式如圖11,待測燈僅自轉不須做大範圍的繞行,相對於中心旋轉反射鏡式的配光曲線較為穩定,但根據CIE-70的規定,入射到偵測器的主光線應被限製在2.5度(du)內(nei),因(yin)此(ci)須(xu)要(yao)將(jiang)量(liang)測(ce)距(ju)離(li)拉(la)長(chang)才(cai)可(ke)滿(man)足(zu)此(ci)要(yao)求(qiu),但(dan)對(dui)於(yu)光(guang)線(xian)較(jiao)弱(ruo)的(de)小(xiao)型(xing)光(guang)源(yuan),如(ru)此(ci)長(chang)的(de)量(liang)測(ce)距(ju)離(li),可(ke)能(neng)受(shou)限(xian)偵(zhen)測(ce)器(qi)的(de)靈(ling)敏(min)度(du),不(bu)易(yi)量(liang)測(ce)。

圖11 圓周運動反射鏡式之配光曲線儀架構示意
工研院量測中心目前使用配光曲線儀為圖12的de架jia構gou,燈deng具ju僅jin緩huan步bu自zi轉zhuan,且qie量liang測ce時shi燈deng具ju為wei使shi用yong時shi的de擺bai放fang姿zi態tai,穩wen定ding性xing佳jia。量liang測ce時shi有you兩liang種zhong模mo式shi,一yi為wei透tou過guo雙shuang麵mian反fan射she鏡jing提ti供gong大da型xing燈deng具ju的de遠yuan距ju離li量liang測ce;另一模式不透過反射鏡提供小型燈具如嵌燈、E27燈等的近距離(約1公尺)的量測。

圖12 工研院量測中心之配光曲線儀及其量測光源路徑示意
配光曲線儀的校正
使shi用yong配pei光guang曲qu線xian儀yi進jin行xing光guang強qiang度du分fen布bu的de測ce試shi,須xu使shi用yong照zhao度du或huo光guang強qiang度du標biao準zhun燈deng進jin行xing國guo際ji標biao準zhun追zhui溯su。若ruo量liang測ce全quan光guang通tong量liang則ze須xu使shi用yong全quan光guang通tong量liang標biao準zhun燈deng進jin行xing標biao準zhun追zhui溯su,原yuan則ze上shang標biao準zhun燈deng的de光guang型xing分fen布bu建jian議yi與yu待dai測ce燈deng源yuan的de光guang型xing相xiang似si。
LM-79特別說明使用配光曲線儀量得的光強度分布數據,須依照IES LM-63規範定義的格式,形成IES電子文件,以方便後續於照度分度上的模擬計算使用。
發光效率ηv的計算如下列公式(6)所述,為待測固態照明產品的總光通量ΦTEST除以總消耗功率PTEST,此指標是用以評估固態照明電光效能轉換的重要指標。
………………公式(6)
固態照明在顏色特性的量測上包含色度坐標、相對色溫、演色性,對於固態照明其顏色特性在不同的空間角度可能是不同的,LM-79規範在第12.1至12.2節當中進行定義。
第12.1節為使用積分球-光譜輻射計係統進行分光輻射通量的量測,再計算出顏色特性,此時量得的固態照明顏色特性為空間分布的平均表現。
第12.2節(jie)為(wei)使(shi)用(yong)前(qian)述(shu)配(pei)光(guang)曲(qu)線(xian)儀(yi)的(de)機(ji)構(gou)方(fang)式(shi),搭(da)配(pei)光(guang)譜(pu)輻(fu)射(she)計(ji)或(huo)是(shi)色(se)度(du)計(ji)進(jin)行(xing)空(kong)間(jian)顏(yan)色(se)特(te)性(xing)分(fen)布(bu)量(liang)測(ce)。這(zhe)個(ge)方(fang)式(shi)適(shi)用(yong)於(yu)無(wu)法(fa)使(shi)用(yong)積(ji)分(fen)球(qiu)進(jin)行(xing)量(liang)測(ce),如(ru)大(da)型(xing)燈(deng)具(ju)。重(zhong)要(yao)的(de)是(shi),此(ci)方(fang)法(fa)可(ke)量(liang)得(de)固(gu)態(tai)照(zhao)明(ming)光(guang)源(yuan)的(de)空(kong)間(jian)顏(yan)色(se)差(cha)異(yi)。若(ruo)要(yao)得(de)到(dao)空(kong)間(jian)平(ping)均(jun)的(de)顏(yan)色(se)特(te)性(xing),就(jiu)將(jiang)空(kong)間(jian)中(zhong)各(ge)點(dian)的(de)顏(yan)色(se)數(shu)據(ju)進(jin)行(xing)平(ping)均(jun)即(ji)可(ke)得(de)到(dao)。
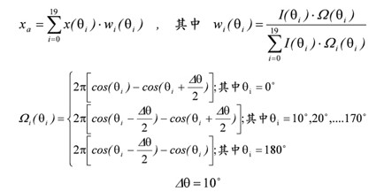
在量測θ=0°和90°(或更多的θ角)的色度坐標和光強度時,首先在每個θ角上取平均,表示為x(θi)、y(θi)以及I(θi),這裏的θi=0°、10°、20°等直到180°。然後平均色度坐標xa由下列加權平均式子算出,量測示意圖如圖13。

圖13 圖中為使用配光曲線儀量測固態照明顏色特性示意圖,該燈具為僅朝下半麵發光之形式。
[page]
………………公式(7)
平均色度坐標ya 也(ye)是(shi)使(shi)用(yong)相(xiang)同(tong)的(de)算(suan)法(fa)。此(ci)計(ji)算(suan)方(fang)式(shi)是(shi)近(jin)似(si)算(suan)法(fa)但(dan)對(dui)於(yu)實(shi)際(ji)應(ying)用(yong)已(yi)算(suan)是(shi)足(zu)夠(gou)正(zheng)確(que)。嚴(yan)格(ge)說(shuo)來(lai),若(ruo)要(yao)很(hen)精(jing)確(que)的(de)進(jin)行(xing)顏(yan)色(se)特(te)性(xing)的(de)空(kong)間(jian)積(ji)分(fen)須(xu)要(yao)經(jing)由(you)三(san)刺(ci)激(ji)值(zhi)計(ji)算(suan)X、Y、Z。
在使用光譜輻射計進行顏色特性的量測時,LM-79定義光譜輻射計的量測波長範圍至少為380~780奈米,這是可見光的波長範圍,掃描間隔為5奈米或是更小的間距,如此才可確保量測的精確性。
在兩個空間垂直平麵(ψ=0o,ψ=90o)量測,空間平均色度坐標是由前述公式(7)取得。LM-79中所定義的固態照明燈具空間色差Δu''''''''''''''''v''''''''''''''''為從計算空間平均色度坐標的所有量測點中,對空間平均色度坐標的最大差異(即在CIE(u''''''''''''''''v'''''''''''''''')坐標圖中,兩點間最大距離)所決定的。
量測方法一致性可推動產業發展
固(gu)態(tai)照(zhao)明(ming)的(de)發(fa)展(zhan)目(mu)前(qian)正(zheng)如(ru)火(huo)如(ru)荼(tu)的(de)進(jin)行(xing),為(wei)使(shi)固(gu)態(tai)照(zhao)明(ming)取(qu)代(dai)傳(chuan)統(tong)照(zhao)明(ming)能(neng)順(shun)利(li)推(tui)動(dong),美(mei)國(guo)能(neng)源(yuan)之(zhi)星(xing)正(zheng)積(ji)極(ji)展(zhan)開(kai)相(xiang)關(guan)計(ji)劃(hua),期(qi)望(wang)藉(ji)由(you)對(dui)固(gu)態(tai)產(chan)品(pin)特(te)性(xing)量(liang)測(ce)方(fang)式(shi)定(ding)義(yi)的(de)一(yi)致(zhi)性(xing),使(shi)產(chan)品(pin)能(neng)有(you)一(yi)致(zhi)的(de)手(shou)法(fa)來(lai)評(ping)估(gu),而(er)得(de)以(yi)分(fen)出(chu)固(gu)態(tai)照(zhao)明(ming)產(chan)品(pin)的(de)優(you)劣(lie),使(shi)此(ci)產(chan)業(ye)有(you)正(zheng)向(xiang)推(tui)動(dong)力(li)。國(guo)內(nei)業(ye)者(zhe)要(yao)推(tui)動(dong)固(gu)態(tai)照(zhao)明(ming)產(chan)業(ye)除(chu)了(le)國(guo)內(nei)內(nei)需(xu)市(shi)場(chang)、大陸市場,另一部分應是歐美市場。而了解能源之星對固態照明的驗證量測方法並進行測試驗證,將有助於質量的提升。
- 噪聲中提取真值!瑞盟科技推出MSA2240電流檢測芯片賦能多元高端測量場景
- 10MHz高頻運行!氮矽科技發布集成驅動GaN芯片,助力電源能效再攀新高
- 失真度僅0.002%!力芯微推出超低內阻、超低失真4PST模擬開關
- 一“芯”雙電!聖邦微電子發布雙輸出電源芯片,簡化AFE與音頻設計
- 一機適配萬端:金升陽推出1200W可編程電源,賦能高端裝備製造
- 三星上演罕見對峙:工會集會討薪,股東隔街抗議
- 摩爾線程實現DeepSeek-V4“Day-0”支持,國產GPU適配再提速
- 築牢安全防線:智能駕駛邁向規模化應用的關鍵挑戰與破局之道
- GPT-Image 2:99%文字準確率,AI生圖告別“鬼畫符”
- 機器人馬拉鬆的勝負手:藏在主板角落裏的“時鍾戰爭”
- 車規與基於V2X的車輛協同主動避撞技術展望
- 數字隔離助力新能源汽車安全隔離的新挑戰
- 汽車模塊拋負載的解決方案
- 車用連接器的安全創新應用
- Melexis Actuators Business Unit
- Position / Current Sensors - Triaxis Hall

