高密度LED顯示屏灰度顯示方案設計
發布時間:2011-11-04
中心議題:
- LED點陣灰度級產生原理
- LED 灰度級實現
- LED控製板的硬件實現
本文在深入研究LED 器件發光特性的基礎上,介紹了一種在高位高密度LED 平板顯示器上實現灰度顯示的解決方案,並對該方案進行了實驗驗證,實驗表明,通過這種方案實現的LED 灰度顯示可以同時兼顧顯示器的亮度和灰度。
1 LED 點陣灰度級產生原理
LED 點陣的每一個像素點由紅(R) 、綠( G) 、藍(B) 三色LED 組成,對應著視頻圖像的一個像素點。在與計算機CRT 同步顯示時,若L ED 點陣每一個像素的紅、綠、藍LED 的發光亮度隨CRT 對應像素點R、G、B 信號變化而變化,就能同步顯示出相應的CRT 圖像。若用灰度級來描述單色LED 的亮度變化,則灰度級越多,圖像色彩就越多,層次越豐富。LED 正向伏安特性與普通二極管大致相同,電壓的開啟點以前無電流,電壓一旦超過開啟點便顯示出導通特性,這時正向電流I與正向電壓U 的關係式如下:

式中m 為複合因子, I0為反向飽和電流, UT =kT/e 稱為溫度電壓當量,在熱力學溫度T = 300 K時,UT = 26 mV1 在寬禁帶半導體中, 當I <0. 1 mA時,通過結內深能級進行複合的空間複合電流起支配作用,這時m = 2 ;電流增大後擴散電流占優勢時m = 1.U 為外加電壓。
圖1 為LED 正向偏向電壓的伏安特性圖

由圖1 可以看出,L ED 從導通開始直到它不被燒毀的最大電流為止,其伏安特性一般是線性的。在這個線性區域內,L ED 的發光強度基本正比於它的電流強度1有兩種方法實現L ED 的亮度控製:
(1) 通過調節L ED 的正向電流,得到L ED 的亮度調製。如把L ED 的正向導通電流按一定步長調節,其發光亮度就可以分為若幹個灰度級。但這種方式所需的驅動電路太複雜,在實際應用中並不可行,在此不予討論。
[page]
(2) 控製單位時間內L ED 的導通時間。L ED具有快速時間響應特性,最高可達數十兆赫茲,可以用脈衝方式驅動L ED 發光,例如用1 MHz ,占空比為0. 25 % ,峰值電流為1 A 的脈衝去驅動L ED ,與用25 mA 的直流驅動,其發光亮度是一致的。顯然,調節驅動脈衝的占空比,可獲得不同的灰度級,那麼如果用CRT 圖像信號各像素點的離散圖像數據去控製對應L ED 的導通時間,即可獲得多灰度級顯示圖像1圖2 表示周期時間T 內,占空比分別為1 、4P7 、2P7 、1P7 的脈衝去驅動L ED ,顯然獲得亮度比為7∶4∶2∶1 ,這樣最高灰度級為7 ,共可獲得8 個灰度級。

圖2a 隻表示了7 、4 、2 、1 這四個灰度級L ED 的導通情況,這種直接調節驅動脈寬以獲得顯示圖像灰度的方法一般不易實現,隻有用間接的方法使L ED 的驅動脈衝占空比受製於圖像數據,以獲得顯示圖像灰度級。
圖2b 表示在T 時間內用一個脈衝竄去驅動L ED ,控製時間內脈衝個數就能控製L ED 的亮度,當各個T 時間內驅動脈衝個數為7 、4 、2 、1時,獲得的亮度比為7∶4∶2∶1 ,同樣也會獲得8 個灰度級。但是,不難看出,用這種方法,驅動脈衝的占空比要下降,這就意味著各灰度級的L ED 亮度要下降,圖2b 是用對稱方法驅動的,那麼與圖2a 相比,導通時間縮短了一半,在同樣的正向導通峰值電流下亮度必然下降一半。可通過提高峰值電流的方法來彌補亮度損失,但重要的是這種調製脈衝個數以獲得圖像灰度的方法在電路實現上也有較大困難。
圖2c 為另一種目前已在等離子體顯示中應用的方法,當所攝圖像亮度化為八級時,可用三位二進製碼“a3 a2 a1 ”表示,最高亮度表示為“111”,最低亮度為“000”,那麼,可以將周期T 分為3 個小的時間間隔t ,在t 時間內分別用二進製碼a3 ,a2 ,a1 來控製L ED的導通狀態“, 1”表示導通“, 0”表示斷開,同時a3 ,a2 ,a1 是有權碼,對應的權值分別為4 、2 、1。如果a3 ,a2 ,a1 不僅僅控製t 時間內L ED 的導通,而且還控製導通時間,其導通時間長短依據所對應的權重,就可以有8 個灰度級。如圖2c 所示,第一個周期T表示最高亮度,其二進製碼為“111”,那麼每一個t時間內,L ED 都導通,其導通時間之比為4∶2∶1 ,第二個周期T 表示4P7 最高亮度, 其二進製碼為“100”,顯然,其導通時間隻有第一個t 時間內L ED導通,與圖2a 相比,不難發現, T 時間內,L ED 導通時間仍減少了,所以在同一峰值電流下每灰度級的亮度都下降了,因而這種犧牲顯示圖像亮度的辦法對L ED 點陣顯示是不利的。
圖2d 表示,如果將每一周期等分成7 個小的時間間隔,每一時間間隔電平的高低決定著L ED 的亮滅,那麼,可以獲得8 個灰度級1 例如,當7 個時間間隔電平全為高,L ED 亮度為最高,有6 個時間間隔電平為高,另一個為低時,獲得6P7 最高亮度,依次類推,7 個時間間隔電平全為低,為全黑1 圖2d也表示的是亮度之比為7∶4∶2∶1 ,與2a 圖相比對應的導通時間是相等的,因而顯示圖像亮度沒有損失1在實驗中,作者采用的正是這種方法。具體實現如下。
[page]
2 LED 灰度級實現
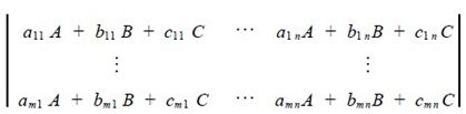
CRT 圖像是按幀頻來刷新的,每一幀的圖像可由一個M 行N 列的矩陣來表示,對應著一幀M ×N 像素點的視頻圖像。 每一場圖像不一樣,矩陣元素的值也會發生相應的變化,矩陣的表達式為

矩陣(2) 中的每一元素代表著M ×N 點CRT圖像中對應像素點的圖像亮度信息,而元素在矩陣中的位置恰恰是該像素點在CRT 圖像中的位置。其中A 、B 、C 代表著具有單位亮度的R、G、B 三原色,係數aij 、bij 、cij 為零和正整數,它決定著混成該像素點顏色所需R、G、B 三色的亮度份額,如果將該圖像白電平亮度所含R、G、B 三原色的亮度分別等分成N 級,那麼每份亮度就是A 、B 、C , 即單位亮度, aij 、bij 、cij 的取值分別為從0 到N ,表示用aij 份的單元亮度紅色, bij 份的單位亮度綠色和cij 份的單位亮度藍色,可混成該元素所對應像素點的顏色。根據矩陣運算法則,矩陣(2) 又可表示為

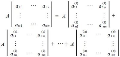
它表示一場圖像可分解為R、G、B 單色圖像,同樣,用R、G、B 單色圖像在空間或時間上疊加,可恢複原來所對應的彩色圖像。
式(3) 中的各項分別代表紅、綠、藍單色圖像,是具有若幹灰度級的,如果aij 、bij 、cij 的取值分別從0 到N ,那麼,每一單色圖像的灰度級為N + 1。根據矩陣運算法則有

其中aij ( n) = 0 或1 ,且aij = aij (1) + aij (2) + ...+ aij ( n) 。
從式(4) 看出,一個單色圖像數據矩陣可分解為若幹二值矩陣(矩陣中每一個元素均為0 或1) 的和,每一個二值矩陣代表著一具有單位亮度的單色二值圖像,那麼式(4) 的意義為:具有( N + 1) 灰度級的單色圖像可有若幹N 個具有單位亮度的單色二值圖像在時間上疊加而成,顯然,在空間疊加是不現實的1 這意味著可將一電視場的單色視頻圖像分成若幹個單色二值圖像,再將這些單色二值圖像順序顯示出來,根據人眼的積分效應,又可複現出原來的單色視頻圖像1 同樣的方法,同時恢複出R、G、B單色視頻圖像,再使它們在空間疊加就可以獲得彩色視頻顯示圖像。
具體來說,如果每一單色像素的灰度級數為N+ 1 ,灰度級由低到高分別為0 ,1 , ..., N ,對每一級灰度規定一串N 位‘0’、‘1’控製碼與其對應,而在每一控製碼中,‘1’的總數與其對應灰度級的編號相等,即灰度級越高,其控製碼中‘1’越多。
再將L ED的每個顯示周期分為等間隔的N 段,每一段用一位控製碼控製L ED 的通斷,‘1’是控製L ED通‘, 0’是控製L ED斷1由於不同灰度級中‘1’的個數不同,故在一周期內,L ED 導通的時間不同,通過人眼視覺的積分效應,就產生了亮度的差別。
由此類推,把CRT 顯示的一幀單色畫麵分成N場在L ED 點陣屏上顯示,每場顯示的時間為TPN ,在各場中,各像素由其對應的控製碼來控製L ED 的通斷,通過視覺的積分效應,就產生了整個畫麵的灰度效果。
[page]
3 LED 控製板的硬件實現
L ED 板的硬件設計框圖如圖3示

CRT 的紅色信號經采樣量化後形成紅色4 位二進製數,因此經量化的亮度有16 級,如把CRT 的一幀圖像在LED 點陣屏幕上分為15 場來顯示,通過控製15 場中LED 像素點亮次數來形成不同的亮度等級1 如15 場中某一像素點全不點亮,即為黑點亮一次,表現為僅高於黑的圖像亮度;點亮兩次,亮度又高一級;全部點亮,即為最亮1 在實際電路中,考慮到電路的複雜性,將L ED 屏分成16 場顯示,第一場始終不點亮,這樣當然會損失一些亮度,但簡化了設計。
4 結論
在完成其測試係統研製的基礎上, 對高密度LED 矩陣顯示屏進行了部分性能參數的測試,實驗表明,通過這種方案實現的LED 灰度顯示可以同時兼顧顯示屏的亮度和灰度。
- 噪聲中提取真值!瑞盟科技推出MSA2240電流檢測芯片賦能多元高端測量場景
- 10MHz高頻運行!氮矽科技發布集成驅動GaN芯片,助力電源能效再攀新高
- 失真度僅0.002%!力芯微推出超低內阻、超低失真4PST模擬開關
- 一“芯”雙電!聖邦微電子發布雙輸出電源芯片,簡化AFE與音頻設計
- 一機適配萬端:金升陽推出1200W可編程電源,賦能高端裝備製造
- 三星上演罕見對峙:工會集會討薪,股東隔街抗議
- 摩爾線程實現DeepSeek-V4“Day-0”支持,國產GPU適配再提速
- 築牢安全防線:智能駕駛邁向規模化應用的關鍵挑戰與破局之道
- GPT-Image 2:99%文字準確率,AI生圖告別“鬼畫符”
- 機器人馬拉鬆的勝負手:藏在主板角落裏的“時鍾戰爭”
- 車規與基於V2X的車輛協同主動避撞技術展望
- 數字隔離助力新能源汽車安全隔離的新挑戰
- 汽車模塊拋負載的解決方案
- 車用連接器的安全創新應用
- Melexis Actuators Business Unit
- Position / Current Sensors - Triaxis Hall

