基於PWM的可控矽非線性調光LED驅動電路
發布時間:2011-08-12
中心議題:
- 雙向可控矽TRIAC調光原理
- 可控矽調光的LED驅動電源設計
解決方案:
- 可控矽調光的LED驅動電源設計
1 雙向可控矽TRIAC調光原理
市麵上大多數可控矽調光器基本結構如圖1所示,其工作原理如下:當交流電壓加雙向可控矽TRIAC兩端時,由於Rt、Ct組成的RC充電電路有一個充電時間,電容上的電壓是從0V開始充電的,並且TRIAC的驅動極串聯有一個DIAC(雙向觸發二極管,一般是30V左右),因此TRIAC可靠截止。當Ct上的電壓上升到30V時,DIAC觸發導通,TRIAC可靠導通,此時TRIAC兩端的電壓瞬間變為零,Ct通過Rt迅速放電,當Ct電壓跌落到30V以下時,DIAC截止,如果TRIAC通過的電流大於其維持電流則繼續導通,如果低於其維持電流將會截止。電感L和電容C的作用是減小電流和電壓的變化率,以抑製電磁幹擾EMI問題。

可控矽前沿調光器若直接用於控製普通的LED驅動器,LED燈會產生閃爍,更不能實現寬範圍的調光控製。原因歸結如下:
(1)可控矽的維持電流問題。目前市麵上的可控矽調光器功率等級不同,維持電流一般是7~75mA(驅動電流則是7~100mA),導通後流過可控矽的電流必須要大於這個值才能繼續導通,否則會自行關斷。
(2)阻zu抗kang匹pi配pei問wen題ti。當dang可ke控kong矽gui導dao通tong後hou,可ke控kong矽gui和he驅qu動dong電dian路lu的de阻zu抗kang都dou發fa生sheng變bian化hua,且qie驅qu動dong電dian路lu由you於yu有you差cha模mo濾lv波bo電dian容rong的de存cun在zai,呈cheng容rong性xing阻zu抗kang,與yu可ke控kong矽gui調tiao光guang器qi存cun在zai阻zu抗kang匹pi配pei的de問wen題ti,因yin此ci在zai設she計ji電dian路lu時shi一yi般ban需xu要yao使shi用yong較jiao小xiao的de差cha模mo濾lv波bo電dian容rong。
(3)衝(chong)擊(ji)電(dian)流(liu)問(wen)題(ti)。由(you)於(yu)可(ke)控(kong)矽(gui)前(qian)沿(yan)斬(zhan)波(bo)使(shi)得(de)輸(shu)入(ru)電(dian)壓(ya)可(ke)能(neng)一(yi)直(zhi)處(chu)於(yu)峰(feng)值(zhi)附(fu)近(jin),輸(shu)入(ru)濾(lv)波(bo)電(dian)容(rong)將(jiang)承(cheng)受(shou)大(da)的(de)衝(chong)擊(ji)電(dian)流(liu),同(tong)時(shi)還(hai)可(ke)能(neng)使(shi)得(de)可(ke)控(kong)矽(gui)意(yi)外(wai)截(jie)止(zhi),導(dao)致(zhi)可(ke)控(kong)矽(gui)不(bu)斷(duan)重(zhong)啟(qi),所(suo)以(yi)一(yi)般(ban)需(xu)要(yao)在(zai)驅(qu)動(dong)器(qi)輸(shu)入(ru)端(duan)串(chuan)接(jie)電(dian)阻(zu)來(lai)減(jian)小(xiao)衝(chong)擊(ji)。
(4)導通角較小時LED會出現閃爍。當可控矽導通角較小時,由於此時輸入電壓和電流均較小,導致維持電流不夠或者芯片供電Vcc不夠,電路停止工作,使LED產生閃爍。
2 一種可控矽調光的LED驅動電源
線性調光存在的問題,即人眼在低亮度情況下對光線的細微變化很敏感;而在較亮時,由於人眼視覺的飽和,光線較大的變化卻不易被察覺。並提出了利用單片機編程來實現調光信號和調光輸出的非線性關係(如指數、平方等關係)的方法,使得人眼感覺的調光是一個線性平穩過程。文中設計的電路利用RC充放電電路來實現這一功能。
圖2是一種利用普通的脈寬調製PWM芯片結合外圍電路來搭建可控矽調光的LED驅動電路框圖。維持電流補償電路通過檢測R1端電壓(即輸入電流)來控製流過維持電流補償電路的電流。當輸入電流較小時,維持電流補償電路上流過較大的電流;當輸入電流較大時,維持電流補償電路關斷,維持電流補償以恒流源的形式保證可控矽的維持電流。調光控製電路包括比較器、RC充放電電路和增益電路。實驗中選用一款旋鈕行程和斬波角成正比的可控矽調光器,其最小導通角約為30°。
[page]
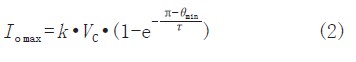
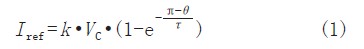
根據圖2中,RC充放電電路的輸出經過增益電路後可得電流參考為:
![]()
式中k為增益,VC為RC充放電電路的輸入電壓,τ為RC的時間係數,θ為可控矽的導通角。
則在最小導通角對應的輸出為零,即電路輸出的最大值對應電流參考的最大值:

從式(1)和式(2)可得輸出電流表達式如式(3)所示,輸出電流在不同RC時間係數下隨可控矽導通角之間的關係如圖3a)所示。

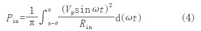
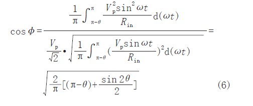
在斬波角為θ時,電路對應的輸入功率為:

式中Vp為輸入電壓峰值,Rin為等效輸入阻抗。
假設電路的變換效率為η,且電路的輸出功率為PO=IO·UO,則可得到電路的等效輸入阻抗如式(5)所示。

從式(5)可得電路的功率因數如式(6)所示,功率因數隨可控矽的導通角的關係如圖3b)所示。

3 實驗及結果
根據以上分析,本文設計一台基於反激變換器的可控矽調光LED驅動器,控製芯片為NCP1607;輸入交流電壓220V,最大輸出功率為25W,最大輸出電流為0.7A;以3串(每串10隻0.8W的LED燈)相並聯作為負載;RC時間係數選擇0.5,增益為0.2。電路的實驗波形和工作特性曲線如圖4所示。
[page]

圖4a)、b)、c)為可控矽導通角為115°時阻抗匹配開關驅動電壓VZ、輸入電流Iin、輸入電壓Vin的波形,電路的輸出電流為470mA,功率因數為0.78。從(cong)圖(tu)中(zhong)可(ke)看(kan)出(chu),當(dang)可(ke)控(kong)矽(gui)導(dao)通(tong)瞬(shun)間(jian),由(you)於(yu)驅(qu)動(dong)器(qi)輸(shu)入(ru)端(duan)有(you)差(cha)模(mo)濾(lv)波(bo)電(dian)容(rong)導(dao)致(zhi)輸(shu)入(ru)電(dian)流(liu)有(you)衝(chong)擊(ji)電(dian)流(liu)尖(jian)峰(feng),而(er)當(dang)輸(shu)入(ru)電(dian)流(liu)小(xiao)於(yu)一(yi)定(ding)值(zhi)時(shi),阻(zu)抗(kang)匹(pi)配(pei)開(kai)關(guan)開(kai)通(tong)以(yi)保(bao)證(zheng)流(liu)過(guo)可(ke)控(kong)矽(gui)的(de)電(dian)流(liu)大(da)於(yu)其(qi)維(wei)持(chi)電(dian)流(liu)。

圖4d)為可控矽不同導通角對應的輸出電流曲線,實際調試中可控矽導通角在150°之後就接近滿載輸出了。圖4e)為可控矽在不同導通角下對應電路的cosφ曲線。
4 結語
本文分析了現有可控矽調光器用於LED驅動時存在的問題,並根據人眼對光線反應非線性的特點,設計了一種利用普通PWM芯片結合外圍電路搭建的可控矽非線性調光LED驅動電路,分析了電路在調光過程中的工作特性,實驗結果實現0~100%平穩無閃爍調光。
- 噪聲中提取真值!瑞盟科技推出MSA2240電流檢測芯片賦能多元高端測量場景
- 10MHz高頻運行!氮矽科技發布集成驅動GaN芯片,助力電源能效再攀新高
- 失真度僅0.002%!力芯微推出超低內阻、超低失真4PST模擬開關
- 一“芯”雙電!聖邦微電子發布雙輸出電源芯片,簡化AFE與音頻設計
- 一機適配萬端:金升陽推出1200W可編程電源,賦能高端裝備製造
- 築基AI4S:摩爾線程全功能GPU加速中國生命科學自主生態
- 一秒檢測,成本降至萬分之一,光引科技把幾十萬的台式光譜儀“搬”到了手腕上
- AI服務器電源機櫃Power Rack HVDC MW級測試方案
- 突破工藝邊界,奎芯科技LPDDR5X IP矽驗證通過,速率達9600Mbps
- 通過直接、準確、自動測量超低範圍的氯殘留來推動反滲透膜保護
- 車規與基於V2X的車輛協同主動避撞技術展望
- 數字隔離助力新能源汽車安全隔離的新挑戰
- 汽車模塊拋負載的解決方案
- 車用連接器的安全創新應用
- Melexis Actuators Business Unit
- Position / Current Sensors - Triaxis Hall




