驅動IC設計選型必備:自舉電容和二極管
發布時間:2014-11-27 責任編輯:sherryyu
【導讀】本篇文章主要介紹了高壓驅動IC當dang中zhong自zi舉ju電dian容rong和he二er極ji管guan的de選xuan擇ze,並bing且qie給gei出chu了le較jiao為wei詳xiang細xi的de講jiang解jie,給gei出chu了le在zai選xuan擇ze自zi舉ju電dian容rong時shi所suo需xu要yao注zhu意yi的de幾ji項xiang內nei容rong,希xi望wang大da家jia在zai閱yue讀du過guo本ben篇pian文wen章zhang之zhi後hou能neng對dui自zi舉ju電dian容rong和he二er極ji管guan的de選xuan擇ze有you進jin一yi步bu的de了le解jie。
erjiguanshiyizhongzaidianludangzhongfeichangchangjiandeqijian,zhezhongqijiandangzhongyoulianggedianji,zhiyunxuzaidianludangzhongdedianliujinxingdanfangmiandetongguo,erjiguanzaizhengliudianludangzhongyingyongdebijiaoduo。zijudianrongyuxinhaofankuiyouguan,zaijiangshuchuxinhaofankuihuishuruduanshi,ruguoxiangweishixiangtongdehua,shuyuzhengfankui,zhuyaozuoyongshizengjiashuchu,zhejiushizijudianlu。benpianwenzhangjiangweidajiajieshaozaigaoyaqudongIC當中自舉電容和二極管的選擇。
Vbs(驅動電路Vb 和Vs 管腳之間的電壓差)給集成電路高端驅動電路提供電源。該電源電壓必須在10-20V之間,以確保驅動集成電路能夠完全地驅動MOS柵極器件(MGT)。部分驅動集成電路有 Vbs欠壓保護,當Vbs電壓下降到一定值時,將關閉高端驅動輸出,保證MGT不會在高功耗下工作。

Vbs電源是懸浮電源,附加在Vs電壓上(Vs通常是一個高頻的方波)。有許多方法可以產生Vbs懸浮電源,其中一種如本文中介紹的自舉方式。這種方式的好處是簡單、低廉,但也有局限性。占空比和開通時間受限於自舉電容的再充電,自舉電源由二極管和電容組成,如圖1所示。
電路的工作原理如下,當Vs被拉到地時(通過下端器件或負載,視電路結構而定),15V Vcc電源通過自舉二極管(Dbs) 給自舉電容(Cbs)充電。因此給Vbs提供一個電源。
有五種以下因素影響對Vbs電源的要求:
MGT柵極電荷要求、Iqbs高端驅動電路靜態電流、驅動IC中電平轉換電路的電流、MGT柵極源漏電流、自舉電容漏電流。
最後一個因素隻有當自舉電容是電解電容時才考慮,其它類型電容可以忽略,因此建議使用非電解類電容。
下列公式列出了自舉電容應該提供的最小電荷要求:

Qg:高端器件柵極電荷
f:工作頻率
Icbs(leak):自舉電容漏電流
Qls:每個周期內,電平轉換電路中的電荷要求,500V/600V IC 為5nc,1200V IC 為20nc。
[page]
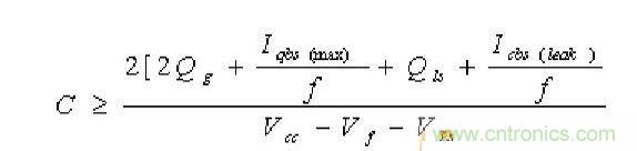
自舉電容必須能夠提供這些電荷,並且保持其電壓。否則Vbs將會有很大的電壓紋波,並且可能會低於欠壓值Vbsuv,使高端無輸出並停止工作。因此Cbs電容的電荷應是最小值的二倍,最小電容值可以由下式計算:

其中, Vf:自舉二極管正向壓降。
VLS:低端器件壓降或高端負載壓降。
內部集成的是雙向阻斷高壓MOSFET,不是二極管 。
這類IC在中小功率領域很好用,不適合高功率場合。
原則上,C/D可(ke)以(yi)這(zhe)麼(me)選(xuan)。注(zhu)意(yi)二(er)極(ji)管(guan)的(de)反(fan)向(xiang)恢(hui)複(fu)特(te)性(xing)。盡(jin)量(liang)避(bi)免(mian)用(yong)硬(ying)恢(hui)複(fu)特(te)性(xing)的(de)二(er)極(ji)管(guan)。在(zai)二(er)極(ji)管(guan)上(shang),最(zui)好(hao)能(neng)串(chuan)些(xie)電(dian)阻(zu)。為(wei)何(he)電(dian)容(rong)隻(zhi)用(yong)這(zhe)麼(me)低(di)耐(nai)壓(ya)的(de)電(dian)壓(ya)?而二極管卻要這麼大呢?因為電容是接在VB-BS上的,最高工作電壓是VCC,原則上,25V耐壓就足夠了。這和主回路電壓無關。而二極管要承受所有電源電壓。
選自舉電容需要注意
由式(2)計算的Cbs電容值是最小的要求,由於自舉電路的固有工作原理,低容值可能引起過充電,從而導致IC損壞。為了避免過充電和進一步減小Vbs紋波,由式(2)計算的容值應乘一個係數15。
Cbs電容隻在高端器件關斷,Vs被拉到地時才被充電。因此低端器件開通時間(或高端器件關斷時間)應足夠長,以保證被高端驅動電路吸收掉的電容Cbs 上的電荷被完全補充,因此對低端器件的開通時間(或高端器件的關斷時間)有最小要求。
另外,由於高端器件電路的結構使負載成為充電回路一部分時,負載的阻抗將直接影響自舉電容Cbs的充電。如果阻抗太高,電容將不能充分充電,這時就需要充電泵電路 。高頻,尤其是功率布線是非常講究的。高壓驅動也不例外。

自舉電容要盡可能靠近IC的管腳。如圖2所示,至少有一個低ESR的電容提供就近耦合。例如:如果使用了鋁電解電容做為自舉電容,就應再用一個瓷電電容。如果自舉電容是瓷電或鉭電容,自己做為就地耦合也就足夠了。現代的SMD電容器件 ,已經可以達到1206封裝10UF級別。原則上可以隻用一個貼片電容就足夠了。
特別推薦
- 噪聲中提取真值!瑞盟科技推出MSA2240電流檢測芯片賦能多元高端測量場景
- 10MHz高頻運行!氮矽科技發布集成驅動GaN芯片,助力電源能效再攀新高
- 失真度僅0.002%!力芯微推出超低內阻、超低失真4PST模擬開關
- 一“芯”雙電!聖邦微電子發布雙輸出電源芯片,簡化AFE與音頻設計
- 一機適配萬端:金升陽推出1200W可編程電源,賦能高端裝備製造
技術文章更多>>
- 貿澤EIT係列新一期,探索AI如何重塑日常科技與用戶體驗
- 算力爆發遇上電源革新,大聯大世平集團攜手晶豐明源線上研討會解鎖應用落地
- 創新不止,創芯不已:第六屆ICDIA創芯展8月南京盛大啟幕!
- AI時代,為什麼存儲基礎設施的可靠性決定數據中心的經濟效益
- 矽典微ONELAB開發係列:為毫米波算法開發者打造的全棧工具鏈
技術白皮書下載更多>>
- 車規與基於V2X的車輛協同主動避撞技術展望
- 數字隔離助力新能源汽車安全隔離的新挑戰
- 汽車模塊拋負載的解決方案
- 車用連接器的安全創新應用
- Melexis Actuators Business Unit
- Position / Current Sensors - Triaxis Hall
熱門搜索
微波功率管
微波開關
微波連接器
微波器件
微波三極管
微波振蕩器
微電機
微調電容
微動開關
微蜂窩
位置傳感器
溫度保險絲
溫度傳感器
溫控開關
溫控可控矽
聞泰
穩壓電源
穩壓二極管
穩壓管
無焊端子
無線充電
無線監控
無源濾波器
五金工具
物聯網
顯示模塊
顯微鏡結構
線圈
線繞電位器
線繞電阻




