IGBT的四大保護措施
發布時間:2011-07-07
中心議題:
- IGBT的工作原理及損壞機製
- IGBT的保護措施
- IGBT柵極的保護
- IGBT集電極與發射極間的過壓保護
- IGBT集電極電流過流保護
- IGBT的過熱保護
絕緣柵雙極型晶體管IGBT是由MOSFET和雙極型晶體管複合而成的一種器件,其輸入極為MOSFET,輸出極為PNP晶體管,因此,可以把其看作是MOS輸入的達林頓管。它融和了這兩種器件的優點,既具有MOSFET器件驅動簡單和快速的優點,又具有雙極型器件容量大的優點,因而,在現代電力電子技術中得到了越來越廣泛的應用。
在中大功率的開關電源裝置中,IGBT由於其控製驅動電路簡單、工作頻率較高、容量較大的特點,已逐步取代晶閘管或GTO。但是在開關電源裝置中,由於它工作在高頻與高電壓、大電流的條件下,使得它容易損壞,另外,電源作為係統的前級,由於受電網波動、雷擊等原因的影響使得它所承受的應力更大,故IGBT的可靠性直接關係到電源的可靠性。因而,在選擇IGBT時除了要作降額考慮外,對IGBT的保護設計也是電源設計時需要重點考慮的一個環節。
1 IGBT的工作原理
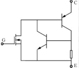
IGBT的等效電路如圖1所示。由圖1可知,若在IGBT的柵極和發射極之間加上驅動正電壓,則MOSFET導通,這樣PNP晶體管的集電極與基極之間成低阻狀態而使得晶體管導通;若IGBT的柵極和發射極之間電壓為0V,則MOSFET截止,切斷PNP晶體管基極電流的供給,使得晶體管截止。

圖1 IGBT的等效電路
由此可知,IGBT的安全可靠與否主要由以下因素決定:
(1)IGBT柵極與發射極之間的電壓;
(2)IGBT集電極與發射極之間的電壓;
(3)流過IGBT集電極-發射極的電流;
(4)IGBT的結溫
如果IGBT柵極與發射極之間的電壓,即驅動電壓過低,則IGBT不能穩定正常地工作,如果過高超過柵極-發射極之間的耐壓則IGBT可能永久性損壞;同樣,如果加在IGBT集電極與發射極允許的電壓超過集電極-發射極之間的耐壓,流過IGBT集電極-發射極的電流超過集電極-發射極允許的最大電流,IGBT的結溫超過其結溫的允許值,IGBT都可能會永久性損壞。
2 保護措施
在進行電路設計時,應針對影響IGBT可靠性的因素,有的放矢地采取相應的保護措施。
2.1 IGBT柵極的保護
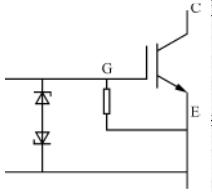
IGBT的柵極-發射極驅動電壓VGE的保證值為±20V,如果在它的柵極與發射極之間加上超出保證值的電壓,則可能會損壞IGBT,因此,在IGBT的驅動電路中應當設置柵壓限幅電路。另外,若IGBTdezhajiyufashejijiankailu,erzaiqijidianjiyufashejizhijianjiashangdianya,zesuizhejidianjidianweidebianhua,youyuzhajiyujidianjihefashejizhijianjishengdianrongdecunzai,shidezhajidianweishenggao,jidianji-發射極有電流流過。這時若集電極和發射極間處於高壓狀態時,可能會使IGBT發熱甚至損壞。如果設備在運輸或振動過程中使得柵極回路斷開,在不被察覺的情況下給主電路加上電壓,則IGBT就可能會損壞。為防止此類情況發生,應在IGBT的柵極與發射極間並接一隻幾十kΩ的電阻,此電阻應盡量靠近柵極與發射極。如圖2所示。

圖2 柵極保護電路
[page]
由於IGBT是功率MOSFET和PNP雙極晶體管的複合體,特別是其柵極為MOS結構,因此除了上述應有的保護之外,就像其他MOS結構器件一樣,IGBT對於靜電壓也是十分敏感的,故而對IGBT進行裝配焊接作業時也必須注意以下事項:
(1)在需要用手接觸IGBT前(qian),應(ying)先(xian)將(jiang)人(ren)體(ti)上(shang)的(de)靜(jing)電(dian)放(fang)電(dian)後(hou)再(zai)進(jin)行(xing)操(cao)作(zuo),並(bing)盡(jin)量(liang)不(bu)要(yao)接(jie)觸(chu)模(mo)塊(kuai)的(de)驅(qu)動(dong)端(duan)子(zi)部(bu)分(fen),必(bi)須(xu)接(jie)觸(chu)時(shi)要(yao)保(bao)證(zheng)此(ci)時(shi)人(ren)體(ti)上(shang)所(suo)帶(dai)的(de)靜(jing)電(dian)已(yi)全(quan)部(bu)放(fang)掉(diao);
(2)在焊接作業時,為了防止靜電可能損壞IGBT,焊機一定要可靠地接地。
2.2 集電極與發射極間的過壓保護
過電壓的產生主要有兩種情況,一種是施加到IGBT集電極-發射極間的直流電壓過高,另一種為集電極-發射極上的浪湧電壓過高。
2.2.1 直流過電壓
直流過壓產生的原因是由於輸入交流電源或IGBT的前一級輸入發生異常所致。解決的辦法是在選取IGBT時,進行降額設計;另外,可在檢測出這一過壓時分斷IGBT的輸入,保證IGBT的安全。
2.2.2 浪湧電壓的保護
因為電路中分布電感的存在,加之IGBT的開關速度較高,當IGBT關斷時及與之並接的反向恢複二極管逆向恢複時,就會產生很大的浪湧電壓Ldi/dt,威脅IGBT的安全。
通常IGBT的浪湧電壓波形如圖3所示。

圖中:VCE為IGBT集電極-發射極間的電壓波形;ic為IGBT的集電極電流;Ud為輸入IGBT的直流電壓;VCESP=Ud+Ldic/dt,為浪湧電壓峰值。
如果VCESP超出IGBT的集電極-發射極間耐壓值VCES,就可能損壞IGBT。解決的辦法主要有:
(1)在選取IGBT時考慮設計裕量;
(2)在電路設計時調整IGBT驅動電路的Rg,使di/dt盡可能小;
(3)盡量將電解電容靠近IGBT安裝,以減小分布電感;
(4)根據情況加裝緩衝保護電路,旁路高頻浪湧電壓
由於緩衝保護電路對IGBT的安全工作起著很重要的作用,在此將緩衝保護電路的類型和特點作一介紹。


圖4 緩衝保護電路
(1)C緩衝電路如圖4(a)所示,采用薄膜電容,靠近IGBT安裝,其特點是電路簡單,其缺點是由分布電感及緩衝電容構成LC諧振電路,易產生電壓振蕩,而且IGBT開通時集電極電流較大。
(2)RC緩衝電路如圖4(b)所示,其特點是適合於斬波電路,但在使用大容量IGBT時,必須使緩衝電阻值增大,否則,開通時集電極電流過大,使IGBT功能受到一定限製。
(3)RCD緩衝電路如圖4(c)所示,與RC緩衝電路相比其特點是,增加了緩衝二極管從而使緩衝電阻增大,避開了開通時IGBT功能受阻的問題。該緩衝電路中緩衝電阻產生的損耗為:
,式中:L為主電路中的分布電感;I為IGBT關斷時的集電極電流;f為IGBT的開關頻率;C為緩衝電容;Ud為直流電壓值。
(4)放電阻止型緩衝電路如圖4(d)所示,與RCD緩衝電路相比其特點是,產生的損耗小,適合於高頻開關。在該緩衝電路中緩衝電阻上產生的損耗為:
根gen據ju實shi際ji情qing況kuang選xuan取qu適shi當dang的de緩huan衝chong保bao護hu電dian路lu,抑yi製zhi關guan斷duan浪lang湧yong電dian壓ya。在zai進jin行xing裝zhuang配pei時shi,要yao盡jin量liang降jiang低di主zhu電dian路lu和he緩huan衝chong電dian路lu的de分fen布bu電dian感gan,接jie線xian越yue短duan越yue粗cu越yue好hao。
[page]
2.3 集電極電流過流保護
對IGBT的過流保護,主要有3種方法。


圖5 集電極過流保護電路
2.3.1 用電阻或電流互感器檢測過流進行保護
如圖5(a)及圖5(b)所示,可以用電阻或電流互感器與IGBT串聯,檢測流過IGBT集電極的電流。當有過流情況發生時,控製執行機構斷開IGBT的輸入,達到保護IGBT的目的。
2.3.2 由IGBT的VCE(sat)檢測過流進行保護
如圖5(c)所示,因VCE(sat)=IcRCE(sat),當Ic增大時,VCE(sat)也隨之增大,若柵極電壓為高電平,而VCE為高,則此時就有過流情況發生,此時與門輸出高電平,將過流信號輸出,控製執行機構斷開IGBT的輸入,保護IGBT。
2.3.3 檢測負載電流進行保護
此方法與圖5(a)中的檢測方法基本相同,但圖5(a)屬直接法,此屬間接法,如圖5(d)所示。若負載短路或負載電流加大時,也可能使前級的IGBT的集電極電流增大,導致IGBT損壞。由負載處(或IGBT的後一級電路)檢測到異常後,控製執行機構切斷IGBT的輸入,達到保護的目的。
2.4 過熱保護
一般情況下流過IGBT的電流較大,開關頻率較高,故而器件的損耗也比較大,如果熱量不能及時散掉,使得器件的結溫Tj超過Tjmax,則IGBT可能損壞。
IGBT的de功gong耗hao包bao括kuo穩wen態tai功gong耗hao和he動dong態tai動dong耗hao,其qi動dong態tai功gong耗hao又you包bao括kuo開kai通tong功gong耗hao和he關guan斷duan功gong耗hao。在zai進jin行xing熱re設she計ji時shi,不bu僅jin要yao保bao證zheng其qi在zai正zheng常chang工gong作zuo時shi能neng夠gou充chong分fen散san熱re,而er且qie還hai要yao保bao證zheng其qi在zai發fa生sheng短duan時shi過guo載zai時shi,IGBT的結溫也不超過Tjmax
當然,受設備的體積和重量等的限製以及性價比的考慮,散熱係統也不可能無限製地擴大。可在靠近IGBT處加裝一溫度繼電器等,檢測IGBT的工作溫度。控製執行機構在發生異常時切斷IGBT的輸入,保護其安全。 除此之外,將IGBT往散熱器上安裝固定時應注意以下事項:
(1)由於熱阻隨IGBT安裝位置的不同而不同,因此,若在散熱器上僅安裝一個IGBT時,應將其安裝在正中間,以便使得熱阻最小;當要安裝幾個IGBT時,應根據每個IGBT的發熱情況留出相應的空間;
(2)使用帶紋路的散熱器時,應將IGBT較寬的方向順著散熱器的紋路,以減少散熱器的變形;
(3)散熱器的安裝表麵光潔度應≤10μm,如果散熱器的表麵不平,將大大增加散熱器與器件的接觸熱阻,甚至在IGBT的管芯和管殼之間的襯底上產生很大的張力,損壞IGBT的絕緣層
(4)為了減少接觸熱阻,最好在散熱器與IGBT模塊間塗抹導熱矽脂。
3 結語
在應用IGBT時應根據實際情況,采取相應的保護措施。隻要在過壓、過流、過熱等幾個方麵都采取有效的保護措施後,在實際應用中均能夠取得良好的效果,保證IGBT安全可靠地工作。
- 噪聲中提取真值!瑞盟科技推出MSA2240電流檢測芯片賦能多元高端測量場景
- 10MHz高頻運行!氮矽科技發布集成驅動GaN芯片,助力電源能效再攀新高
- 失真度僅0.002%!力芯微推出超低內阻、超低失真4PST模擬開關
- 一“芯”雙電!聖邦微電子發布雙輸出電源芯片,簡化AFE與音頻設計
- 一機適配萬端:金升陽推出1200W可編程電源,賦能高端裝備製造
- 築基AI4S:摩爾線程全功能GPU加速中國生命科學自主生態
- 一秒檢測,成本降至萬分之一,光引科技把幾十萬的台式光譜儀“搬”到了手腕上
- AI服務器電源機櫃Power Rack HVDC MW級測試方案
- 突破工藝邊界,奎芯科技LPDDR5X IP矽驗證通過,速率達9600Mbps
- 通過直接、準確、自動測量超低範圍的氯殘留來推動反滲透膜保護
- 車規與基於V2X的車輛協同主動避撞技術展望
- 數字隔離助力新能源汽車安全隔離的新挑戰
- 汽車模塊拋負載的解決方案
- 車用連接器的安全創新應用
- Melexis Actuators Business Unit
- Position / Current Sensors - Triaxis Hall




