采用交流耦合儀表放大器實現共模抑製比性能的設計電路應用
發布時間:2020-07-22 責任編輯:lina
【導讀】現代的電池電壓為3~3.6V,這就要求電路能在低壓下高效工作。本設計提出的一種交流耦合儀表放大器,具有很大的共模抑製比(CMRR)、很寬的直流輸入電壓容限以及一階高通特性。這些特性大多是由高增益 級設計提供的。電路采用普通參數值和普通容限的元件。圖1a示出簡化的放大器電路。該電路的一般原理是電容器C和電阻器R3對輸入信號進行緩衝和交流耦合。
現代的電池電壓為3~3.6V,這就要求電路能在低壓下高效工作。本設計提出的一種交流耦合儀表放大器,具有很大的共模抑製比(CMRR)、很寬的直流輸入電壓容限以及一階高通特性。這些特性大多是由高增益 級設計提供的。電路采用普通參數值和普通容限的元件。圖1a示出簡化的放大器電路。該電路的一般原理是電容器C和電阻器R3對輸入信號進行緩衝和交流耦合。第二級由兩個差動放大器AD組成。每個差動放大器放大差動輸入信號的一半。求和運算可以得到求VOUT的如下公式:

在圖1a中, VA、VB、VC和VD是兩個差動放大器的輸入電壓,AD是增益。時間常數2R3C決定高通的截止頻率。圖1b示出了詳細的電路。 輸入級由運算放大器A1、A2、A3和A4組成。A1和A2是主要的增益級。因為A1和A2的反相輸入端和非反相輸入端的電位相同,所以A1和A2的輸入電壓都供給電阻器R3。緩衝器A3和A4與電阻器R2一起,可使R3的電流放大1+R3/R2倍,因為R2和R3都連接到相等的電位。這種電路結構是本設計的 。電容器C上的電壓沒有交流分量,而A1和A2各放大差動輸入交流信號的一半。C濾除出現在A3和A4輸出端的輸入直流分量。第二級是一個增益為1的、四個輸入加法器—減法器級。它能實現上述的公式,式中的AD等於1+R1/(R2||R1) 。假定R3》》R2, AD=1+R1/R2。

圖1 電容器C對簡化的放大器電路(a)進行交流去耦;詳細的電路(b)采用幾個增益級和一個加法器—減法器級。
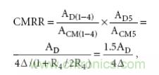
第二級的另一種可能的實現方法是采用兩個差動通道ADC,產生一個數字化的VOUT,供微處理器處理。如果使用一個±5V的電源,則就有可能利用一塊芯片上的兩個差動放大器,如INA2134來獲得VOUT。你可以計算出共態抑製比的最小值:

式中AD(1-4) 分別是放大器A1到A4的差動增益,ACM(1-4) 分別是這四個放大器的共模增益,AD5是放大器A5的差動增益,ACM5則是A5的共模增益。Δ是電路中電阻器R4的容限。一個非常重要的參數是運算放大器的輸入失調電壓,對於A3和A4來說尤其是這樣。A1和A2的失調電壓不會引起差錯,因為它們隻增加輸入信號的直流分量,而電容器C則將這些直流分量去掉。
由運算放大器失調電壓引起的 輸出電壓誤差為:

式中,V10MAX為相應運算放大器的 失調電壓。在選擇運算放大器時,你應該注意以下兩點:A3、A4和A5應為低失調電壓和高共模抑製比(CMRR)的運放,而A1和A2應具有很高的開環增益、共模抑製比(CMRR)和增益帶寬乘積。圖2示出了一種實用的放大器電路。電源是一塊3V鋰電池。你可以選用幾種運算放大器,如MCP607係列或OPA2336係列。由於輸入共模電壓範圍的緣故,你要把信號地電位調到電源電壓的三分之一。二極管D1能防止電路閉鎖。R7-C4網絡在輸入端濾除射頻噪音。 你可以根據下述的考慮因素推導R7-C4網絡的參數:如果R7C4=(R1||R2||R3)C2~R2C2,則放大器傳遞函數中的高頻零就會消去:


該電路具有以下的優點:
● 級確保總增益,從而在第二級不采用高 電阻器的情況下也可提供高共模抑製比(CMRR);
● 隻要把確定低頻的RC網絡連接到兩個放大輸入信號的運算放大器的反相輸入端,該電路就不需要另外的輸入緩衝器;
● 該電路利用具有普通參數值和容限的無源元件就可提供標準的一階高通特性;
● 采用3V電源,差動輸入信號範圍可高達2V;
● 該電路消耗的電源電流和功率都很小,分別為120μA和0.4mW左右。
免責聲明:本文為轉載文章,轉載此文目的在於傳遞更多信息,版權歸原作者所有。本文所用視頻、圖片、文字如涉及作品版權問題,請電話或者郵箱聯係小編進行處理。
特別推薦
- 噪聲中提取真值!瑞盟科技推出MSA2240電流檢測芯片賦能多元高端測量場景
- 10MHz高頻運行!氮矽科技發布集成驅動GaN芯片,助力電源能效再攀新高
- 失真度僅0.002%!力芯微推出超低內阻、超低失真4PST模擬開關
- 一“芯”雙電!聖邦微電子發布雙輸出電源芯片,簡化AFE與音頻設計
- 一機適配萬端:金升陽推出1200W可編程電源,賦能高端裝備製造
技術文章更多>>
- 貿澤EIT係列新一期,探索AI如何重塑日常科技與用戶體驗
- 算力爆發遇上電源革新,大聯大世平集團攜手晶豐明源線上研討會解鎖應用落地
- 創新不止,創芯不已:第六屆ICDIA創芯展8月南京盛大啟幕!
- AI時代,為什麼存儲基礎設施的可靠性決定數據中心的經濟效益
- 築基AI4S:摩爾線程全功能GPU加速中國生命科學自主生態
技術白皮書下載更多>>
- 車規與基於V2X的車輛協同主動避撞技術展望
- 數字隔離助力新能源汽車安全隔離的新挑戰
- 汽車模塊拋負載的解決方案
- 車用連接器的安全創新應用
- Melexis Actuators Business Unit
- Position / Current Sensors - Triaxis Hall
熱門搜索
微波功率管
微波開關
微波連接器
微波器件
微波三極管
微波振蕩器
微電機
微調電容
微動開關
微蜂窩
位置傳感器
溫度保險絲
溫度傳感器
溫控開關
溫控可控矽
聞泰
穩壓電源
穩壓二極管
穩壓管
無焊端子
無線充電
無線監控
無源濾波器
五金工具
物聯網
顯示模塊
顯微鏡結構
線圈
線繞電位器
線繞電阻



