分析PID控製到底是怎麼回事
發布時間:2020-05-11 責任編輯:lina
【導讀】在實際工程中,應用最為廣泛的調節器控製規律為比例、積分、微分控製,簡稱PID控製,又稱PID調節。
在實際工程中,應用最為廣泛的調節器控製規律為比例、積分、微分控製,簡稱PID控製,又稱PID調節。

PID控製器問世至今以其結構簡單、穩定性好、工作可靠、調整方便而成為工業控製的主要技術之一。
當dang被bei控kong對dui象xiang的de結jie構gou和he參can數shu不bu能neng完wan全quan掌zhang握wo,或huo得de不bu到dao精jing確que的de數shu學xue模mo型xing時shi,控kong製zhi理li論lun的de其qi它ta技ji術shu難nan以yi采cai用yong時shi,係xi統tong控kong製zhi器qi的de結jie構gou和he參can數shu必bi須xu依yi靠kao經jing驗yan和he現xian場chang調tiao試shi來lai確que定ding,這zhe時shi應ying用yongPID控製技術最為方便。即當我們不完全了解一個係統和被控對象,或不能通過有效的測量手段來獲得係統參數時,最適合用PID控製技術。
PID控製,實際中也有PI和PD控製。PID控製器就是根據係統的誤差,利用比例、 積分、微分計算出控製量進行控製的。PID控製器的參數整定是控製係統設計的核心內容!
如果你從來沒有接觸過PID,看完這篇文章你就會明白PID控製到底是怎麼回事了!
1.假設我們麵對的係統是一個簡單的水箱液位,要從空箱開始注水達到某個高度,而你能控製的變量就是注水籠頭的開關大小。這個簡單的數學模型就是:dx=u。
對於這個係統,我們隻需要一個比例環節u=k pe就能將其控製住。
此時,kp的大小代表了水龍頭的粗細(即出水量大小對液位誤差的敏感程度,假設水龍頭開度與誤差正比關係),越粗調的越快,也就是所謂的“增大比例係數一般會加快係統響應”。如下圖:

2.假設這個水箱不僅僅是裝水的容器了,還需要持續穩定的給用戶供水。這個係統的數學模型就需要增加一項:dx=u-c,這裏的c是個正的常數。
我們發現如果控製器隻有一個比例環節,那麼當係統穩定,也就是dx=0的時候,恰好e=c/kp,在係統穩定時不為0,液位離我們想要的高度總是差那麼一點,這也就是所謂的穩態誤差,或者叫靜差。
這時候c是固定的,那麼當然kp越大,e就越小。這也就是所謂的增大比例係數P在有靜差的情況下有利於減小靜差。如下圖:

3.從上麵的公式e=c/kp可以看出,kp再大也不可能把e變成0。老是調不到預定位置老板是會罵人的,這可咋辦?
ranhouyourenjiuxiangdao,dierxiaojielitoushuixianggendiyixiaojiedexiangbi,jiuduoleyigeloushuidekulong。talouduoshaowogeitabuduoshao,nabujiuchenglediyixiaojielidejiandanxitongleme!靠誰補呢?積分環節這時候就派上用場了。
我們把之前的控製器變成比例環節+積分環節:

積(ji)分(fen)環(huan)節(jie)的(de)意(yi)義(yi)就(jiu)相(xiang)當(dang)於(yu)你(ni)增(zeng)加(jia)了(le)一(yi)個(ge)水(shui)龍(long)頭(tou),這(zhe)個(ge)水(shui)龍(long)頭(tou)的(de)開(kai)關(guan)規(gui)則(ze)是(shi)水(shui)位(wei)比(bi)預(yu)定(ding)高(gao)度(du)低(di)就(jiu)一(yi)直(zhi)往(wang)大(da)了(le)擰(ning),比(bi)預(yu)定(ding)高(gao)度(du)高(gao)就(jiu)往(wang)小(xiao)了(le)擰(ning)。如(ru)果(guo)漏(lou)水(shui)速(su)度(du)不(bu)變(bian),那(na)麼(me)總(zong)有(you)一(yi)天(tian)這(zhe)個(ge)水(shui)龍(long)頭(tou)出(chu)水(shui)的(de)速(su)度(du)恰(qia)好(hao)跟(gen)漏(lou)水(shui)的(de)速(su)度(du)相(xiang)等(deng)了(le),係(xi)統(tong)就(jiu)和(he)第(di)一(yi)小(xiao)節(jie)一(yi)樣(yang)了(le)。那(na)時(shi),靜(jing)差(cha)就(jiu)沒(mei)有(you)了(le)。這(zhe)就(jiu)是(shi)所(suo)謂(wei)的(de)積(ji)分(fen)環(huan)節(jie)可(ke)以(yi)消(xiao)除(chu)係(xi)統(tong)靜(jing)差(cha)。
4.什麼叫積分時間常數呢?一般PID控製裏,表示積分環節敏感度的那個係數中,Ti就是積分時間常數。從這個式子我們可以看出,積分時間常數越大,積分環節係數就越小,積分環節就越不敏感(也就是第二個水龍頭越細)。
當隻有一個比例環節的水龍頭注水的時候,是不會注水注多的,因為離得越近水龍頭關的越小。
但dan是shi當dang用yong兩liang個ge水shui龍long頭tou注zhu水shui的de時shi候hou,在zai沒mei到dao預yu定ding高gao度du前qian第di二er個ge積ji分fen環huan節jie的de水shui龍long頭tou可ke以yi一yi直zhi往wang大da了le擰ning,當dang到dao達da預yu定ding高gao度du的de時shi候hou它ta恰qia好hao擰ning到dao最zui大da,自zi然ran而er然ran就jiu會hui注zhu水shui注zhu多duo了le,而er多duo出chu去qu的de這zhe部bu分fen水shui叫jiao做zuo“超調”。第二個水龍頭越粗,多注的水就會越多,它調到恰好等於漏水速度的時間就會越快,同時會多更多波折。
於是,老師告訴我們增大積分時間I有利於減小超調,減小振蕩,使係統的穩定性增加,但是係統靜差消除時間變長。如下圖:

5.接下來看點有意思的東西。還是上麵這個係統,假如我們選用相同的積分時間常數,但是選擇不同的比例係數會如何呢?

看到上麵這幅圖,一些記性好的童鞋可能會有疑問。因為老師明明說過”過大的比例係數會使係統有比較大的超調,並產生振蕩,使穩定性變壞“,但是上麵這幅圖裏怎麼比例大的反而超調小呢?
其實上麵這幅圖很好解釋,小節4裏我們說明了PIkongzhiqichaotiaochuxianyuanyinshijifenzhegeshuilongtouzaidaodamubiaoyeweishiyeqiahaokaidaolezuida。erbilizhegeshuilongtouyuecu,nametazaichaochumubiaoyeweishiduichaotiaodeyizhiyejiuyuemingxian。
這裏,我想強調的是: PID參數整定的結論是根據普遍經驗總結的,但是針對某個具體的係統不一定完全適用。
6.在上麵的係統中,我們假設用戶用水的固定的一個值,但是實際情況中用戶的用水量往往是變化的。假如我們的係統是dx=u-c(t)呢?
我們試著來分析一下:
我們的控製目標是讓x=xd,係統誤差的定義是:e=xd-x;
那麼,誤差狀態方程就是:;
我們設定的控製目標是個常數,所以xd=0;
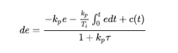
,從這個式子可以看出,當e=0時,不再變化,而c(t)是始終變化的。
此時de不恒為零,也就是說e不恒為零。
當c變成c(t)的時候,e=0就不再是係統的穩定平衡點了,經典意義上係統不再穩定。
7.這裏加一個微分環節D變成PID控製會不會讓係統重新穩定呢?
當加入微分環節,

,那麼,

,對於任意,微分環節都讓de的變化減慢了。
這也就是“微分環節主要作用是在響應過程中抑製偏差向任何方向的變化”,“微分常數不能過大,否則會使響應過程提前製動,延長調節時間”。
至於“微分環節會提高係統抗擾動能力,降低係統抗噪聲能力”,更多指的是大多數細微測量噪聲造成的e很小,但瞬時的de較大,微分環節相對於PI環節更容易收到這些細微噪聲的影響。
但是,無論如何選取微分參數,PID控製都不能使係統穩定。
從這裏,我們可以看到PID控製的局限。
希望大家不要死記口訣,多用所學到的控製理論來針對具體問題具體分析。
免責聲明:本文為轉載文章,轉載此文目的在於傳遞更多信息,版權歸原作者所有。本文所用視頻、圖片、文字如涉及作品版權問題,請聯係小編進行處理。
特別推薦
- 噪聲中提取真值!瑞盟科技推出MSA2240電流檢測芯片賦能多元高端測量場景
- 10MHz高頻運行!氮矽科技發布集成驅動GaN芯片,助力電源能效再攀新高
- 失真度僅0.002%!力芯微推出超低內阻、超低失真4PST模擬開關
- 一“芯”雙電!聖邦微電子發布雙輸出電源芯片,簡化AFE與音頻設計
- 一機適配萬端:金升陽推出1200W可編程電源,賦能高端裝備製造
技術文章更多>>
- 一秒檢測,成本降至萬分之一,光引科技把幾十萬的台式光譜儀“搬”到了手腕上
- AI服務器電源機櫃Power Rack HVDC MW級測試方案
- 突破工藝邊界,奎芯科技LPDDR5X IP矽驗證通過,速率達9600Mbps
- 通過直接、準確、自動測量超低範圍的氯殘留來推動反滲透膜保護
- 從技術研發到規模量產:恩智浦第三代成像雷達平台,賦能下一代自動駕駛!
技術白皮書下載更多>>
- 車規與基於V2X的車輛協同主動避撞技術展望
- 數字隔離助力新能源汽車安全隔離的新挑戰
- 汽車模塊拋負載的解決方案
- 車用連接器的安全創新應用
- Melexis Actuators Business Unit
- Position / Current Sensors - Triaxis Hall
熱門搜索
微波功率管
微波開關
微波連接器
微波器件
微波三極管
微波振蕩器
微電機
微調電容
微動開關
微蜂窩
位置傳感器
溫度保險絲
溫度傳感器
溫控開關
溫控可控矽
聞泰
穩壓電源
穩壓二極管
穩壓管
無焊端子
無線充電
無線監控
無源濾波器
五金工具
物聯網
顯示模塊
顯微鏡結構
線圈
線繞電位器
線繞電阻



