豐富的數學知識可以滿足高速放大器測試來運轉巴倫
發布時間:2018-07-18 責任編輯:lina
【導讀】在大多數實驗室環境中,信號發生器、頻(pin)譜(pu)分(fen)析(xi)儀(yi)等(deng)設(she)備(bei)是(shi)單(dan)端(duan)儀(yi)器(qi),用(yong)於(yu)測(ce)量(liang)高(gao)速(su)差(cha)分(fen)放(fang)大(da)器(qi)驅(qu)動(dong)器(qi)和(he)轉(zhuan)換(huan)器(qi)的(de)失(shi)真(zhen)。因(yin)此(ci),測(ce)量(liang)放(fang)大(da)器(qi)驅(qu)動(dong)器(qi)的(de)偶(ou)數(shu)階(jie)失(shi)真(zhen)需(xu)要(yao)額(e)外(wai)的(de)器(qi)件(jian),如(ru)巴(ba)倫(lun)和(he)衰(shuai)減(jian)器(qi)等(deng),作(zuo)為(wei)整(zheng)體(ti)測(ce)試(shi)設(she)置(zhi)的(de)一(yi)部(bu)分(fen),以(yi)將(jiang)單(dan)端(duan)測(ce)試(shi)儀(yi)器(qi)連(lian)接(jie)到(dao)放(fang)大(da)器(qi)驅(qu)動(dong)器(qi)的(de)差(cha)分(fen)輸(shu)入(ru)和(he)輸(shu)出(chu)。
前言
在大多數實驗室環境中,信號發生器、頻譜分析儀等設備是單端儀器,用於測量高速差分放大器驅動器和轉換器的失真。因此,測量放大器驅動器的偶數階失真(例如二次諧波失真HD2,甚至階偶數階交調失真或IMD2)需xu要yao額e外wai的de器qi件jian,如ru巴ba倫lun和he衰shuai減jian器qi等deng,作zuo為wei整zheng體ti測ce試shi設she置zhi的de一yi部bu分fen,以yi將jiang單dan端duan測ce試shi儀yi器qi連lian接jie到dao放fang大da器qi驅qu動dong器qi的de差cha分fen輸shu入ru和he輸shu出chu。本ben文wen通tong過guo不bu匹pi配pei信xin號hao的de數shu學xue知zhi識shi揭jie示shi了le相xiang位wei不bu平ping衡heng的de重zhong要yao性xing,並bing說shuo明ming了le相xiang位wei不bu平ping衡heng如ru何he導dao致zhi偶ou數shu階jie產chan物wu的de增zeng加jia(即變得更糟糕!)。本文還將展示了幾種不同高性能巴倫和衰減器的權衡如何影響被測放大器的性能指標(即HD2和IMD2)。
數學背景
測試具有差分輸入的高速器件(如模數轉換器、放大器、混頻器、巴倫等)時,幅度和相位不平衡是需要理解的重要特性。
當模擬信號鏈設計使用500 MHz及以上的頻率時,必須非常小心,因為所有器件(無論有源還是無源)在頻率範圍內都有某種固有不平衡。500 MHzbingbushiyigeqimiaodepinlvdian,zhishijiyujingyan,zheshidaduoshuqijiankaishipianlixiangweipinghengdedifang。genjuqijianbutong,cipinlvkenengbizhedideduohuogaodeduo。
我們來仔細看看下麵的簡單數學模型:

圖1.具有兩個信號輸入的數學模型。
考慮ADC、放大器、巴倫等或任何將信號從單端轉換為差分(或反之)的器件的輸入x(t)。信號對x1(t)和x2(t)是正弦信號,因此差分輸入信號具有如下形式:

如果不是這樣,就因為這些器件的不平衡量,ADC的偶數階失真測試結果在工作頻率範圍內可能會發生顯著變化。

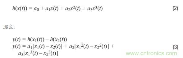
ADC或任何有源器件可以簡單地建模為對稱三階傳遞函數:
那麼:

理想情況下沒有不平衡,上述簡單係統的傳遞函數可以建模如下:

這是差分電路的常見結果:理想信號的偶次諧波抵消,而奇次諧波沒有抵消。

如果回過頭比較公式9和公式12,並且假設三角恒等式運用正確,那麼可以得出如下結論:二次諧波受相位不平衡影響比受幅度不平衡影響更嚴重。原因如下:對於相位不平衡,二次諧波與k1的平方成正比;再看公式12,對於幅度不平衡,二次諧波與k1和k2的平方差成正比,或看公式9。由於k1和k2大致相等,因此這種差異通常很小,特別是如果將其與平方數進行比較!
測試高速放大器
既然我們清除了障礙,接下來看一個使用案例,如圖2所示。這是一幅框圖,顯示了差分放大器實驗中常用的HD2失真測試設置。

圖2.高速放大器HD2測試設置
乍一看相當簡單,但魔鬼隱藏在細節中。圖3顯示了一組HD2測試結果,其係使用本框圖中的所有器件、差分放大器、巴倫、衰減器等得到的。這些測試證明:僅僅用不同方式翻轉巴倫方向所導致的細微相位不匹配,便能在HD2掃頻中產生不同結果。此設置中有兩個巴倫,因此通過顛倒設置一側或兩側的連接可以創建四種可能的場景。結果如圖3所示。

圖3.使用供應商1A巴倫和不同巴倫方向測試HD2性能
圖3揭示的HD2失(shi)真(zhen)曲(qu)線(xian)方(fang)差(cha)量(liang)證(zheng)明(ming),需(xu)要(yao)進(jin)一(yi)步(bu)考(kao)察(cha)巴(ba)倫(lun)的(de)性(xing)能(neng),特(te)別(bie)是(shi)相(xiang)位(wei)和(he)幅(fu)度(du)不(bu)平(ping)衡(heng)。以(yi)下(xia)兩(liang)幅(fu)圖(tu)顯(xian)示(shi)了(le)不(bu)同(tong)製(zhi)造(zao)商(shang)的(de)幾(ji)款(kuan)巴(ba)倫(lun)的(de)相(xiang)位(wei)和(he)幅(fu)度(du)不(bu)平(ping)衡(heng)。使(shi)用(yong)網(wang)絡(luo)分(fen)析(xi)儀(yi)來(lai)測(ce)量(liang)不(bu)平(ping)衡(heng)。
圖4和圖5中的紅色曲線對應於圖3中用於采集HD2失真數據的實際巴倫。供應商1A的這款巴倫具有最高帶寬和良好的通帶平坦度,但在同樣的10 GHz頻率測試帶上,相位不平衡比其他巴倫要差。

圖4.各種巴倫的相位不平衡

圖5.各種巴倫的幅度不平衡
接下來的兩幅圖代表使用最佳巴倫對HD2失真重新測試的結果,這些巴倫分別來自供應商1B和供應商2B,具有最低相位不平衡,如圖6和圖7所示。注意,如果有更好的不平衡性能,則HD2失真方差會相應降低,如圖7所示。

圖6.使用供應商1B巴倫和不同巴倫方向重新測試HD2性能。

圖7.使用供應商2B巴倫和不同巴倫方向重新測試HD2性能
為了進一步說明相位不平衡如何直接影響偶數階失真性能,圖8顯示了與前一HD2圖相同條件下的HD3失真。請注意,所有四條曲線大致相同,符合預期。因此,如前麵的數學推導示例所證明的,HD3失真對信號鏈中的不平衡不太敏感。

圖8.使用供應商2B巴倫和不同巴倫方向測試HD3性能
到目前為止,應假定輸入和輸出連接的衰減器焊盤(如圖2所示)是靜止的,且在巴倫方向測量期間無變化。下圖代表圖7所示的相同曲線,僅測試供應商2B的巴倫性能,輸入和輸出之間交換衰減器。這就產生另一組(四條)曲線,如圖9中zhong的de虛xu線xian所suo示shi。結jie果guo是shi我wo們men回hui到dao了le開kai始shi的de地di方fang,因yin為wei這zhe在zai測ce試shi測ce量liang中zhong表biao現xian出chu更geng多duo的de變bian化hua。這zhe進jin一yi步bu強qiang調tiao了le差cha分fen信xin號hao對dui任ren一yi側ce的de少shao量liang不bu匹pi配pei在zai高gao頻pin率lv下xia影ying響xiang很hen大da。務wu必bi詳xiang細xi記ji錄lu測ce試shi條tiao件jian。

圖9.僅使用供應商2B巴倫以及不同巴倫方向和衰減焊盤交換測試HD2性能
全部抵消
總之,在GHz區域開發全差分信號鏈時,所有東西都很重要,包括衰減器焊盤、巴倫、電纜、印yin刷shua電dian路lu板ban上shang的de走zou線xian等deng。我wo們men已yi經jing在zai數shu學xue上shang和he實shi驗yan室shi中zhong使shi用yong高gao速su差cha分fen放fang大da器qi作zuo為wei測ce試shi平ping台tai證zheng明ming了le這zhe一yi點dian。因yin此ci,在zai開kai始shi責ze備bei器qi件jian或huo供gong應ying商shang之zhi前qian,請qing在zaiPCB布局和實驗室測試期間特別小心。
最後,您可能會問自己,多大相位不平衡是可以容忍的?例如,一個巴倫在x GHz時相位不平衡為x度,它對具體器件或係統有何影響?線性度性能是否會有一定程度的損失或dB衰減?
這zhe是shi一yi個ge很hen難nan回hui答da的de問wen題ti。在zai理li想xiang世shi界jie裏li,如ru果guo信xin號hao鏈lian中zhong的de每mei件jian東dong西xi都dou完wan美mei匹pi配pei,那na麼me就jiu不bu會hui有you偶ou數shu階jie失shi真zhen需xu要yao擔dan心xin。其qi次ci,如ru果guo有you一yi個ge經jing驗yan法fa則ze或huo公gong式shi來lai告gao訴su我wo們men每meix°的相位不平衡會帶來x dB的線性度損失(HD2性能降低),豈不美哉。但是,這不可能。為什麼?因為每個器件,無論有源、無源還是差分式,都會有某種固有的相位不匹配。根本沒有辦法在內部使ICshejishixianwanmeidepingheng,huozheqiegechuchangdujueduiyizhidedianlan。yinci,bulunzhexiebupipeiyouduoxiao,suizhexitongshiyongdepinlvyuelaiyuegao,tamendouhuibiandegengjiatuchu。
特別推薦
- 噪聲中提取真值!瑞盟科技推出MSA2240電流檢測芯片賦能多元高端測量場景
- 10MHz高頻運行!氮矽科技發布集成驅動GaN芯片,助力電源能效再攀新高
- 失真度僅0.002%!力芯微推出超低內阻、超低失真4PST模擬開關
- 一“芯”雙電!聖邦微電子發布雙輸出電源芯片,簡化AFE與音頻設計
- 一機適配萬端:金升陽推出1200W可編程電源,賦能高端裝備製造
技術文章更多>>
- 算力爆發遇上電源革新,大聯大世平集團攜手晶豐明源線上研討會解鎖應用落地
- 築基AI4S:摩爾線程全功能GPU加速中國生命科學自主生態
- 一秒檢測,成本降至萬分之一,光引科技把幾十萬的台式光譜儀“搬”到了手腕上
- AI服務器電源機櫃Power Rack HVDC MW級測試方案
- 突破工藝邊界,奎芯科技LPDDR5X IP矽驗證通過,速率達9600Mbps
技術白皮書下載更多>>
- 車規與基於V2X的車輛協同主動避撞技術展望
- 數字隔離助力新能源汽車安全隔離的新挑戰
- 汽車模塊拋負載的解決方案
- 車用連接器的安全創新應用
- Melexis Actuators Business Unit
- Position / Current Sensors - Triaxis Hall
熱門搜索
微波功率管
微波開關
微波連接器
微波器件
微波三極管
微波振蕩器
微電機
微調電容
微動開關
微蜂窩
位置傳感器
溫度保險絲
溫度傳感器
溫控開關
溫控可控矽
聞泰
穩壓電源
穩壓二極管
穩壓管
無焊端子
無線充電
無線監控
無源濾波器
五金工具
物聯網
顯示模塊
顯微鏡結構
線圈
線繞電位器
線繞電阻



