電路基礎:晶振電路設計方案及建議
發布時間:2016-06-30 責任編輯:wenwei
【導讀】該文將討論晶振dianlushejifangan,bingjieshidianluzhongdegegeyuanqijiandejutizuoyong,bingqiezaiyuanqijianshuzhidexuanzeshangtigongzhidao。zuihou,jiuxiaochujingzhenbuwendingheqizhenwenti,zuihouwenzhanghaijianggeichuleyixiejianyicuoshi。
1 晶振的等效電氣特性
(1) 概念
[1] 晶片,石英晶體或晶體、晶振、石英晶體諧振器
從一塊石英晶體上按一定方位角切下薄片。
[2] 晶體振蕩器
在封裝內部添加IC組成振蕩電路的晶體元件稱為晶體振蕩器。
(2) 晶振等效電路
圖1. 晶振的等效電路
圖1展示了晶振等效的電路。R是ESR串聯等效阻抗,L和C分別是晶振等效電感和等效電容。Cp是晶振的伴身電容,其極性取決於晶振的極性。
圖2是晶振的電抗頻譜線。

圖2. 晶振的電抗頻譜線
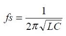
根據圖 2,當晶振工作在串聯諧振狀態下時,電路就似一個純電阻電路,感抗等於容抗(XL=XC)。串聯諧振的頻率為:

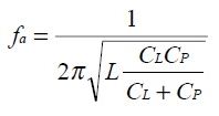
dangjingzhengongzuozaibinglianxiezhenmoshishi,jingzhenbiaoxianweiganxing。gaimoshidegongzuopinlvyoujingzhendefuzaijueding。duiyubinglianxiezhenzhuangtaidejingzhen,jingzhenzhizaoshangyinggaizhidingfuzaidianrongCL。在這種模式下,振動頻率由下式給出

在並聯諧振模式下,電抗線中fs到fa的斜線區域內,通過調整晶振的負載,如圖2,晶振都可以振蕩起來。
2 晶振電路的設計
圖3所示為推薦的晶振振蕩電路圖。這樣的組成可以使晶振處於並聯諧振模式。反相器在芯片內體現為一個AB型放大器,它將輸入的電量相移大約180°後輸出;並且由晶振,R1,C1和C2組成的π型網絡產生另外180°的相移。所以整個環路的相移為360°。這滿足了保持振蕩的一個條件。其它的條件,比如正確起振和保持振蕩,則要求閉環增益應≥1。

圖3. 晶振振蕩器設計電路
反相器附近的電阻Rf產生負反饋,它將反相器設定在中間補償區附近,使反相器工作在高增益線性區域。電阻值很高,範圍通常在500KΩ ~2MΩ內。
圖示的C1,C2就是為晶振工作在並聯諧振狀態下得到加載電容CL的電容。關於最優的加載電容CL的計算公式為:

這裏CS是PCB的漂移電容(stray capacitance),用於計算目的時,典型值為5pf。現在C1和C2選擇出來滿足上麵等式。通常選擇的C1和C2是大致相等的。C1和/或C2的數值較大,這提高了頻率的穩定性,但減小了環路增益,可能引發起振問題。
R1是驅動限流電阻,主要功能是限製反相器輸出,這樣晶振不會被過驅動(over driven)。R1、C1組構成分壓電路,這些元器件的數值是以這樣的方式進行計算的:反相器的輸出接近rail-to-rail值,輸入到晶振的信號是rail-to-rail的60%,通常實際是令R1的電阻值和的C1容抗值相等,即R1 ≈ XC1。這使晶振隻取得反相器輸出信號的一半。要一直保證晶振消耗的功率在廠商說明書規定範圍內。過驅動會損壞晶振。
理想情況下,反相器提供180°相移。但是,反相器的內在延遲會產生額外相移,而這個額外相移與內在延遲成比例。為保證環路全相移為n360°,π 型網絡應根據反相器的延遲情況,提供小於180°的相移。R1的調整可以滿足這一點。使用固定大小的C1和C2,閉環增益和相位可隨R1變化。如果上述兩個條件均得到了滿足,在一些應用中,R1可以忽略掉。
一些芯片內置了全部這些外部器件(Rf, R1, C1, and C2),因此消除了電路設計師的煩惱。這種情況下,隻要把晶振連接在XTAL和XTAL引腳上即可。
提示:
選擇ESR小的晶振,有利於解決起振問題。較小的ESR可以增加環路增益。
在PCB板上縮短線路可以減小漂移電容。這也有利於解決晶振起振和振蕩頻率的問題。
在工作的溫度下和工作的電壓範圍內經常性測試一下電路,以確保晶振起振和持續振蕩。必要的時候調整元器件的數值。
為了取得最好效果,晶振的設計,用至少0.4 Vdd(峰峰值)的電平驅動時鍾反相器。調節晶振不能滿足要求。為了獲得進一步的設計協助,請聯係晶振製造商。
為了優化R1,我們推薦先計算C1和C2(前麵已經解釋過如何計算)。將R1替換成電位計,將其初始值設置到大約XC1。如果需要,調節電位計的設置,直到晶振起振並在穩態條件下保持振蕩。
【推薦閱讀】
解析三種嵌入式係統控製電路設計
測量儀器中的各種波形抽取方式
低功耗溫度補償式電橋信號調理器和驅動器電路
無電池式低功耗藍牙Beacon:采用能量采集技術的BLE
電壓模式、遲滯和基於遲滯:選擇哪一種呢?
特別推薦
- 噪聲中提取真值!瑞盟科技推出MSA2240電流檢測芯片賦能多元高端測量場景
- 10MHz高頻運行!氮矽科技發布集成驅動GaN芯片,助力電源能效再攀新高
- 失真度僅0.002%!力芯微推出超低內阻、超低失真4PST模擬開關
- 一“芯”雙電!聖邦微電子發布雙輸出電源芯片,簡化AFE與音頻設計
- 一機適配萬端:金升陽推出1200W可編程電源,賦能高端裝備製造
技術文章更多>>
- 三星上演罕見對峙:工會集會討薪,股東隔街抗議
- 摩爾線程實現DeepSeek-V4“Day-0”支持,國產GPU適配再提速
- 築牢安全防線:智能駕駛邁向規模化應用的關鍵挑戰與破局之道
- GPT-Image 2:99%文字準確率,AI生圖告別“鬼畫符”
- 機器人馬拉鬆的勝負手:藏在主板角落裏的“時鍾戰爭”
技術白皮書下載更多>>
- 車規與基於V2X的車輛協同主動避撞技術展望
- 數字隔離助力新能源汽車安全隔離的新挑戰
- 汽車模塊拋負載的解決方案
- 車用連接器的安全創新應用
- Melexis Actuators Business Unit
- Position / Current Sensors - Triaxis Hall
熱門搜索
NFC
NFC芯片
NOR
ntc熱敏電阻
OGS
OLED
OLED麵板
OmniVision
Omron
OnSemi
PI
PLC
Premier Farnell
Recom
RF
RF/微波IC
RFID
rfid
RF連接器
RF模塊
RS
Rubycon
SATA連接器
SD連接器
SII
SIM卡連接器
SMT設備
SMU
SOC
SPANSION

