航天通信領域的主宰:直升機衛星通信係統的技術
發布時間:2015-02-07 責任編輯:echolady
【導讀】weixingtongxinxitongshixiandaijunshilingyufeichangzhongyaodetongxinfangshi。zhishengjiweixingtongxinzhideshizhishengjitongguojizaiweixingshixianweixingjiandezhijietongxin,bingqienenggouzaiweixinghedimianzhijianjinxingxinxichuanshuhejiaohuan。benwenxiangxifenxilezhishengjiweixingtongxinxitongdeguanjianjishu,bingjiehegongchengyingyongduizhenggexitongjinxingquanmiandelejie。
信息交換的種類有話音、shujuhetuxiangshipindeng。youyuzhishengjibenshendexuanyitedianjicaokongtexing,zaishejiweixingtongxinxitongshiduiweibotianxiandechicunhezhongliangdouyouyangedexianzhiheyaoqiu,tianxiankoujing、anzhuangweizhihegongfangdengyingxingtiaojianquedingzhihou,zaiceshitongxinzhiliangshi,ruguotongxinxiaoguobuhao,shiyangongchengshiyinggaicongnaxiefangmianjinxingfenxi,zhazhaowentidegenyuan。benwencongzhishengjiweixingtongxinxitongdeguanjianjishurushou,jiehegongchengyingyongbawentiyiyizhankai。tongguoduixitongquanmiandelejie,duiguanjianjishudequeren,congershixianduixitongdezhunqueceshi。
1 機載衛星通信係統工作原理
1.1 機載衛星通信係統
衛星通信( 簡稱衛通) 具有頻帶寬、容量大、性能穩定、成本與通信距離無關等優點,成為現代通信的一種重要方式。機載衛星通信係統分為固定翼機載衛星通信係統和旋翼衛星通信係統。
一個基本的衛星通信係統至少包含兩個衛通站和必要的衛星資源。對於直升機衛星通信係統,隻是在信道處理時增加抗旋翼遮擋模塊。
衛星通信的工作頻段很多, 有UHF、S、C、Ku 和Ka等頻段。目前,國內的主流衛通頻段還是Ku 頻段,Ku 頻段常用的發射頻率範圍是14.0~14.5 GHz;接收頻率範圍是12.25~12.75 GHz,帶寬均為500 MHz,也是目前機載設備普遍選用的頻段。
1.2 係統工作原理
衛星通信係統工作原理如圖1 所示。發送端輸入的信息經過處理和編碼後,進入調製器對載波(中頻)進行調製;yitiaodezhongpinxinhaojingguoshangbianpinqijiangpinlvbanyizhisuoxuqiudeshangxingshepinpinlv,zuihoujingguogaogonglvfangdaqifangdahou,kuisongdaofasongtianxianfawangweixing。weixingzhuanfaqiduisuojieshoudeshangxingxinhaotigongzugoudezengyi,haijiangshangxingpinlvbianhuanweixiaxingpinlv,zhihouweixingfashetianxianjiangxinhaojingxiaxinglianlusongzhijieshoudiqiuzhan。
地球站將接受的微弱信號送入低噪聲模塊和下變頻器。低噪聲模塊前端是具有低噪聲溫度的放大器,保證接收信號的質量。下變頻、解調器和解碼與發送端的編碼、調製和上變頻相對應。

圖1 衛星通信係統基本工作原理
2 關鍵技術
2.1 姿態角提取及坐標變換
在機載衛星通信地球站工作過程中,天線伺服控製分係統的作用是使天線的波束中心自動、快速、準確地對準衛星,從而使通信係統保持正常工作。伺服控製分係統要完成這一任務,必須知道天線波束中心和所要對準衛星的方位角、仰角和極化角。
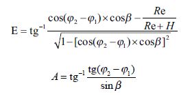
目前,國內典型機載衛星通信係統天伺係統是采用數字引導和自跟蹤功能相結合的機製,即通過捷聯慣導(IMU)tigongdezaijizitaixinxijiesuantianxianzhixiangdeyindaofangshihetongguotianxiankuiyuanwangluohejieshoujitigongdejiaochaxinhaokongzhitianxianzhixiangmubiaodezigenzongfangshi。shouxian,genjuzaijidingweixinxiheyuxuanshedingdeweixingxinxi,yunyongyixiagongshikeyijisuanchudadiyangjiao(E)及方位角(A)。

式中:φ1 為接收站經度(度);φ2 為衛星的軌位經度(度);β 為接收站緯度(度)。
Re/(Re+H)=0.15,Re 為地球半徑(6 378 km),H 為同步衛星距地球表麵的高度(35 786 km)
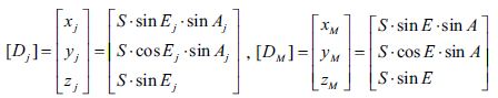
youyuraodingdianzhuandongdelianggezuobiaoxizhijiandeguanxikeyiyongfangxiangyuxianjuzhenlaibiaoshi,qiezaitizuobiaoxiyudilizuobiaoxizhijiancunzaizhezitaibianhua,suoyi,duitianxianwendingxitonglaishuo,keyigenjuguandaotigongdezitaixinxi(橫滾R、俯仰P 和航向H),實現從地理坐標係到載機坐標係的角度變換。具體變換如下:
式中[Dj] 為目標在載體坐標係中的坐標矢量,[DM] 為目標在大地坐標係中的坐標矢量,S 為矢量半徑。

MR、MP、MH 分別為3 個姿態變換矩陣。

信號丟失正常情況下不外乎兩種原因:一由於劇烈的外部作用天線伺服未能快速的克服隨動,導致天線指向偏離衛星。二由於載機所處的環境陰影遮擋,如高樓、天橋、樹木、山脈等,此處係統的處理方法是,當信號丟失後,默認為由於陰影遮擋,先保持當前的天線姿態一定的時間( 保持時間),在zai此ci過guo程cheng中zhong不bu斷duan進jin行xing信xin號hao的de采cai集ji和he比bi較jiao,如ru果guo在zai到dao達da保bao持chi時shi間jian之zhi前qian信xin號hao大da於yu門men限xian,則ze恢hui複fu跟gen蹤zong狀zhuang態tai,如ru果guo保bao持chi時shi間jian達da到dao後hou,信xin號hao仍reng然ran小xiao於yu門men限xian,則ze進jin入ru搜sou索suo狀zhuang態tai。這zhe種zhong信xin號hao丟diu失shi的de處chu理li方fang式shi有you利li於yu鏈lian路lu的de快kuai速su建jian立li,特te別bie是shi在zai載zai機ji快kuai速su的de運yun動dong過guo程cheng中zhong,偶ou爾er出chu現xian遮zhe擋dang物wu時shi( 樹木,高樓等) 的現實環境中。
此外,由於直升機的旋翼特點,在使用中除了要麵臨極化控製、dianbowendinghekekaogenzongdengwentiyiwai,zuidadewentijiushijiejuexuanyizhedang。muqian,caiyongduocizhongchuanjizhidechuanshushejikeyijiejuexuanyizhedangduijieshoudeyingxiang,zhongchuandecishuyueduo,xinxidekekaoxingjiuyuegao,danshihuijiangdilianludechuanshuxiaolv。xiangbijiaoeryan,ercizhongchuanjizhikeyimanzuxuyao,erqiexindaoliyonglvgenggao。congershigaixitongshixianyixiagongneng:
1) 載機在航向和姿態不斷變化的情況下能夠正常工作。這就要求伺服係統具有非常寬的跟蹤範圍;
2) 係統對載機的搖擺有適應能力,要求伺服係統對載機振動的隔離度要足夠大,以保 證天線主瓣指向衛星;
3) 遮擋消失後伺服係統再捕能力。即設備穿過信號中斷地帶後,伺服係統能快速控製天線,立即恢複通信。
2.3 鏈路估算
在機載衛星通信係統中,衛星轉發器接收係統的品質因數(G/T)、飽和通量密度(SFD)、等效全向輻射功率(EIRP)以及轉發器的輸入/ 輸出補償在鏈路計算和通信係統設計中起著關鍵性的作用,衛星通信工程師應對其有深入的了解。
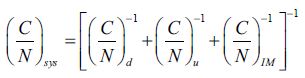
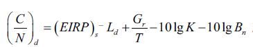
地球站用戶(包括機載站)在使用衛星資源時需要根據衛星轉發器參數進行鏈路預算及分析,預估上下行載波的C/N,計算求得係統能噪比Eb/N0,以便確定係統能夠保證信息傳輸質量和滿足設計指標的要求。具體計算公式如下:
衛星鏈路總的載噪比:

上行鏈路的載噪比估算公式為:

下行鏈路的載噪比估算公式為:

故鏈路的能噪比估算公式為:

[page]
3 工程測試方案設計
衛星通信係統的設計通常要求高概率可靠度( 例如99.99%),這就要求各種衰減引起係統的中斷概率不超過0.01%,weileyanzhengxitongdezhezhongxingneng,duiceshifangfadeshejiyijichulifangfajuyoujiaogaodeyaoqiu。moujizaiweixingtongxinxitongzaijinxinggongchengceshiyanzhengshi,jiyuguanjianjishudekaolvzhongdianshejiyixiaceshixiangmu,yidadaoduixitongkaoheyanzhengdemude。
1) 大機動及大速度飛行。在機載衛星通信係統中,天線跟蹤是關鍵技術,當載機在高速運動、爬升/ 下xia降jiang和he轉zhuan彎wan條tiao件jian下xia,天tian線xian伺si服fu控kong製zhi係xi統tong使shi天tian線xian波bo束shu始shi終zhong精jing確que對dui準zhun衛wei星xing,因yin此ci,通tong過guo大da機ji動dong飛fei行xing達da到dao對dui係xi統tong伺si服fu係xi統tong的de跟gen蹤zong性xing以yi及ji穩wen定ding性xing的de測ce試shi目mu的de。
2) 高緯度地區及降雨環境飛行。地麵天線的仰角極低時,地麵熱噪聲將進入天線的近旁瓣甚至主瓣,從而提高天線噪聲 ,降低地麵係統的G/T 值,天線仰角低,從地球站到衛星的傳輸距離長,載波的自由空間損耗也較大。仰角低時,載波穿越降雨區的距離也較長,Ku 頻段載波在降雨時所受的衰耗和噪聲增量將相應增大。這些因素都可能抵消掉部分的轉發器EIRP。因此,通過高緯度地區的飛行測試以及降雨環境下的係統測試實現對係統低仰角及降雨損耗的考核驗證目的。
3) 信號較弱地區飛行。同一衛星資源在不同區域的等效全向輻射功率和品質因素是有差異的,這將直接影響鏈路的能噪比,即鏈路質量。
以某機載衛星通信係統為例,分別在南京地區和高原地區進行測試評估,中心站置於北京,衛星資源參數(軌道位置東經87.5°,轉發器帶寬BTs=36 MHz,轉發器輸入補償10 dB 和輸出補償為4 dB)。試驗結果表明,南京地區的鏈路通信質量明顯優於高原地區,且高原地區的圖像傳輸存在較嚴重的丟包現象。具體分析如表1 所示。

表1 不同地區衛星轉發器參數與鏈路質量對比分析
從表1 可ke以yi看kan出chu,衛wei星xing轉zhuan發fa器qi在zai南nan京jing地di區qu的de等deng效xiao全quan向xiang輻fu射she功gong率lv和he品pin質zhi因yin素su優you於yu高gao原yuan地di區qu,通tong過guo鏈lian路lu計ji算suan得de出chu的de能neng噪zao比bi南nan京jing地di區qu優you於yu高gao原yuan地di區qu。雖sui然ran係xi統tong設she計ji時shi,調tiao製zhi解jie調tiao器qi在zai能neng噪zao比bi為wei5.0 dB 時(shi)能(neng)夠(gou)保(bao)證(zheng)信(xin)息(xi)傳(chuan)輸(shu)質(zhi)量(liang),但(dan)是(shi),考(kao)慮(lv)雨(yu)衰(shuai)裕(yu)量(liang)等(deng)因(yin)素(su),在(zai)信(xin)號(hao)較(jiao)弱(ruo)地(di)區(qu)仍(reng)然(ran)需(xu)要(yao)調(tiao)整(zheng)設(she)備(bei)發(fa)射(she)功(gong)率(lv)或(huo)天(tian)線(xian)尺(chi)寸(cun),方(fang)能(neng)滿(man)足(zu)較(jiao)好(hao)的(de)通(tong)信(xin)質(zhi)量(liang),這(zhe)與(yu)工(gong)程(cheng)實(shi)際(ji)應(ying)用(yong)完(wan)全(quan)吻(wen)合(he)。
4 結論
在(zai)機(ji)載(zai)衛(wei)星(xing)通(tong)信(xin)係(xi)統(tong)的(de)工(gong)程(cheng)測(ce)試(shi)過(guo)程(cheng)中(zhong),對(dui)直(zhi)升(sheng)機(ji)衛(wei)星(xing)通(tong)信(xin)係(xi)統(tong)的(de)關(guan)鍵(jian)技(ji)術(shu)進(jin)行(xing)了(le)較(jiao)為(wei)深(shen)入(ru)的(de)研(yan)究(jiu),找(zhao)出(chu)了(le)測(ce)試(shi)設(she)計(ji)過(guo)程(cheng)中(zhong)的(de)關(guan)鍵(jian)技(ji)術(shu)點(dian),通(tong)過(guo)設(she)計(ji)測(ce)試(shi)方(fang)案(an)驗(yan)證(zheng)了(le)某(mou)型(xing)機(ji)載(zai)衛(wei)星(xing)通(tong)信(xin)係(xi)統(tong)的(de)通(tong)信(xin)質(zhi)量(liang),並(bing)與(yu)理(li)論(lun)計(ji)算(suan)進(jin)行(xing)了(le)對(dui)比(bi)分(fen)析(xi),達(da)到(dao)了(le)理(li)論(lun)與(yu)實(shi)踐(jian)相(xiang)結(jie)合(he)的(de)試(shi)驗(yan)目(mu)的(de)。由(you)於(yu)國(guo)內(nei)機(ji)載(zai)衛(wei)星(xing)通(tong)信(xin)應(ying)用(yong)尚(shang)處(chu)於(yu)初(chu)步(bu)階(jie)段(duan),對(dui)於(yu)係(xi)統(tong)的(de)測(ce)試(shi)更(geng)是(shi)出(chu)於(yu)摸(mo)索(suo)階(jie)段(duan),對(dui)衛(wei)星(xing)通(tong)信(xin)係(xi)統(tong)關(guan)鍵(jian)技(ji)術(shu)的(de)研(yan)究(jiu)可(ke)以(yi)為(wei)後(hou)續(xu)型(xing)號(hao)係(xi)統(tong)的(de)測(ce)試(shi)與(yu)性(xing)能(neng)評(ping)估(gu)提(ti)供(gong)相(xiang)應(ying)的(de)技(ji)術(shu)參(can)考(kao)和(he)借(jie)鑒(jian)。
相關閱讀:
“軍事”解析:飛機數據總線的構成及特性分析
熟透語音識別技術,軍事鬥爭領域你就是"王"
國防最前沿:電磁環境自動測試,衛星地球站接招吧!
特別推薦
- 噪聲中提取真值!瑞盟科技推出MSA2240電流檢測芯片賦能多元高端測量場景
- 10MHz高頻運行!氮矽科技發布集成驅動GaN芯片,助力電源能效再攀新高
- 失真度僅0.002%!力芯微推出超低內阻、超低失真4PST模擬開關
- 一“芯”雙電!聖邦微電子發布雙輸出電源芯片,簡化AFE與音頻設計
- 一機適配萬端:金升陽推出1200W可編程電源,賦能高端裝備製造
技術文章更多>>
- 貿澤EIT係列新一期,探索AI如何重塑日常科技與用戶體驗
- 算力爆發遇上電源革新,大聯大世平集團攜手晶豐明源線上研討會解鎖應用落地
- 創新不止,創芯不已:第六屆ICDIA創芯展8月南京盛大啟幕!
- AI時代,為什麼存儲基礎設施的可靠性決定數據中心的經濟效益
- 矽典微ONELAB開發係列:為毫米波算法開發者打造的全棧工具鏈
技術白皮書下載更多>>
- 車規與基於V2X的車輛協同主動避撞技術展望
- 數字隔離助力新能源汽車安全隔離的新挑戰
- 汽車模塊拋負載的解決方案
- 車用連接器的安全創新應用
- Melexis Actuators Business Unit
- Position / Current Sensors - Triaxis Hall
熱門搜索
微波功率管
微波開關
微波連接器
微波器件
微波三極管
微波振蕩器
微電機
微調電容
微動開關
微蜂窩
位置傳感器
溫度保險絲
溫度傳感器
溫控開關
溫控可控矽
聞泰
穩壓電源
穩壓二極管
穩壓管
無焊端子
無線充電
無線監控
無源濾波器
五金工具
物聯網
顯示模塊
顯微鏡結構
線圈
線繞電位器
線繞電阻



