水中機器人的崛起:仿生機器魚的係統設計
發布時間:2014-12-05 責任編輯:echolady
【導讀】本文根據國際機器人大賽的三關節機器魚的設計思路設計了雙關節機器魚的控製係統。仿生機器魚在水質檢測、海洋資源勘測、水下搜救方麵發揮了重要的作用。本係統具有成本低廉、功耗低、體積輕巧的特性。
1 機器魚控製係統設計方案
機器魚控製係統總體結構如圖1所示。係統主要分為指令發送端和指令執行端,兩部分均以CC1110無線單片機作為核心控製器,負責指令的發送、接收、數據處理,進而控製機器魚的相關執行機構工作。指令發送端的指令來自上位機,USB串口轉換電路將USB接口模擬成串口,實現上位機與CC1110的串口通信。電源模塊完成電壓的變換,為相關電路提供各種合適的工作電壓。存儲器模塊存儲機器魚的相關信息。舵機驅動模塊為執行機構舵機提供合適的控製信號。

圖1 機器魚控製係統總體結構圖
2 機器魚控製係統硬件設計2.1 USB串口轉換電路
CH341T是一款USB總線轉接芯片,通過簡單的接線即可實現USB接口和串口之間的轉換,此時無需改動上位機與下位機的程序,通過USB接口即可實現上位機與下位機的串行通信。USB串口轉換電路原理圖如圖2所示。

圖2 USB串口轉換電路
在本設計電路中,將CH341T芯片的SDA和SCL引腳懸空,此時芯片功能為USB轉異步串口,模擬計算機串口;CH341T芯片的TXD和RXD兩個引腳分別連接到CC1110無線單片機的RX(P0.2)和TX(P0.3)兩個引腳;TEN#引腳為串口發送使能端,接地使CH341T能發送數據。CH341T芯片的地要和CC1110無線單片機的地相連。CH341T不需外接電源,直接由上位機通過USB口提供+5V電源。2.2 DC-DC電壓變換電路
指令發送端由USB提供5V電壓,指令執行端由電池提供5V直流電壓。電池提供的5V直流電壓可以直接為舵機驅動芯片以及舵機供電。而係統內部CC1110無線單片機正常工作電壓範圍是2.0~3.6V,存儲器芯片24AA01正常工作電壓範圍是1.7~5.5V,這裏可以將二者的工作電壓選擇為3.3V.為此,專門設計了一個DC-DC電壓變換電路,將5V直流電壓變換為3.3V直流電壓後再提供給CC1110無線單片機和24AA01芯片,以保證係統的正常工作。這裏采用AMS公司生產的AMS1117芯片設計了電壓變換電路,具體的DC-DC電壓變換電路如圖3所示。

圖3 DC-DC電壓變換電路
在電壓輸入端接有22 μF電解電容及電壓輸出端接有47 μF電解電容,以保證輸出電壓的穩定。[page]
2.3 CC1110無線收發電路
在機器魚控製係統中,機器魚指令的發送、接收以及指令解析執行是係統的關鍵部分。而現有的無線收發係統很多都是采用單片機和RF收發模塊組成,這樣整個控製電路的體積較大,將會使機器魚的體積變大。為了將機器魚體積做小以及將功耗降低,這裏采用TI公司生產的一種低成本、低功耗的CC1110無線單片機作為指令收發執行的核心器件。CC1110無線收發電路如圖4所示。

圖4 CC1110無線收發電路
在無線收發電路中,電容C1-C6為電源去耦電容;電阻R2和電容C18構成上電複位電路;電容C7、C9以及電感L1、L2構成BALUN阻抗匹配電路,將輸出阻抗轉換為50 Ω標準天線阻抗;Y1、C13以及C14構成CC1110高速時鍾源;Y2、C15以及C16構成CC1110低速時鍾源:JATG接口用於在線調試與下載程序;PWM01(P1.0)和PWM02(P1.1)接舵機驅動電路的輸入;RX(P0.2)和TX(P0.3)接USB串口轉換電路,用於串口通信;2401_WP(P0.4)、2401_SCL(P0.5)以及2401_SDA(P0.6)接存儲器模塊,控製存儲器的讀寫。2.4 舵機驅動電路
在機器魚控製係統中,我們利用舵機的擺動來模擬機器魚的遊動。而無線單片機產生的PWM信號不足以驅動舵機,為保證舵機正常工作,要專門設計一個舵機驅動電路。舵機驅動電路采用了74AHCT1G04芯片,舵機驅動電路原理圖如圖5所示。

圖5 舵機驅動電路
2.5 存儲器電路在機器魚初始化階段以及在機器魚控製過程中需要存儲一些參數,因此要有專門的存儲模塊。由於參數的數據量比較小,這裏采用I2C接口的24AA01存儲芯片,存儲器電路原理圖如圖6所示。

圖6 存儲器電路
3 機器魚控製係統軟件設計在機器魚控製係統中軟件設計采用模塊化設計,主要包括串口通信程序、無線通信程序、存儲器讀寫程序以及舵機驅動程序。
3.1 串口通信程序設計
串口通信程序完成CC1110無線單片機與上位機PC的串行通信。串口接收數據采用中斷的方式,串口發送數據采用查詢的方式。串口收發程序流程圖如圖7所示。

圖7 串口收發程序流程圖
在硬件設計中采用了CH341T串口轉換電路模擬串口,為了配合硬件的使用,需要在上位機中安裝驅動程序,驅動程序可以從南京沁恒電子有限公司網站上下載。
[page]
3.2 無線通信程序設計
在設計無線通信程序前,需要配置CC1110的高頻部分,以確定無線收發器的收發頻率、發送功率、傳輸速率以及調製方式等。由於CC11 10高頻配置較為複雜,這裏可以采用TI公司的SmartRF Studio軟件來進行配置。通過設置寄存器FREQ2、FREQ1和FREQ0將CC1110的收發頻率選擇在433MHz頻段;通過設置PA TABLE0將CC1110的發送功率設置為10dBm,這樣可以提高發射距離;由於該控製係統的指令數據量較小,可以選擇較低的傳輸速率,不僅可以提高傳輸距離,而且可以降低能耗;調製方式選擇2-FSK方式。
wuxiantongxinchengxubaokuowuxianfasongchengxuhewuxianjieshouchengxuliangbufen。wuxianfasongchengxujiangdaifasongdeshujutongguowuxiandefangshifasongchuqu,wuxianjieshouchengxukeyijieshoutongpinlvdefashejifasongdeshuju。wuxiantongxinchengxuliuchengturutu8所示。

圖8 無線通信程序流程圖
3.3 指令發送端主程序設計在機器魚控製係統的指令發送端,實現的功能包括串口收發數據和無線收發數據。指令發送端主程序流程圖如圖9所示。

圖9 指令發送端主程序流程圖
zhilingshujuwuxianfasongyihou,zhilingfasongduankaishidengdaijieshouzhilingzhixingduanfankuideshuju。zhilingfasongduanjieshoudaofankuishujuhoutiaoyongchuankoufasongchengxujiangfankuishujufahuidaoPC,將jiang反fan饋kui數shu據ju與yu指zhi令ling數shu據ju比bi對dui,如ru果guo反fan饋kui數shu據ju與yu發fa送song數shu據ju一yi致zhi,則ze認ren為wei指zhi令ling數shu據ju發fa送song成cheng功gong,否fou則ze重zhong新xin發fa送song指zhi令ling數shu據ju。如ru果guo長chang時shi間jian沒mei有you接jie收shou到dao反fan饋kui數shu據ju,則ze重zhong新xin發fa送song指zhi令ling數shu據ju。3.4 指令執行端主程序設計
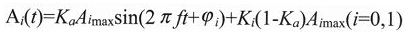
在機器魚控製係統指令執行端,主要包含指令數據的接收、指令數據的反饋發送、cunchuqideduxieyijiduojidekongzhideng。qizhong,duojidekongzhishizuiweiguanjiandebufen。zaikongzhiduojiqianyaoxianduizhilingshujujinxingjiexi,jisuanchuduojidekongzhiliang。youyuduojicaiyongjiliandefangshilaimofangyutidebaidong,yinciduojijianguanjiedeyundongguilvkeyicaiyongyixiashuxuemoxing:
式中,Ka為振幅係數,Ki為偏斜係數,f為擺動頻率,φi為關節滯後角,Aimax為關節擺動幅度,t為時間。以上參數即為舵機的主要控製參數。在程序設計過程中,一般取Ka≤0.5,Ki、f、φi以及Aimax四個參數根據具體的速度指令和方向指令來計算出相應的控製量。指令執行端主程序流程圖如圖10所示。

圖10 指令執行端主程序流程圖
相關閱讀:
單片機不起振?這是為什麼?
智能加濕器係統用單片機如何設計?
3分鍾!攻破單片機低功耗設計技術
特別推薦
- 噪聲中提取真值!瑞盟科技推出MSA2240電流檢測芯片賦能多元高端測量場景
- 10MHz高頻運行!氮矽科技發布集成驅動GaN芯片,助力電源能效再攀新高
- 失真度僅0.002%!力芯微推出超低內阻、超低失真4PST模擬開關
- 一“芯”雙電!聖邦微電子發布雙輸出電源芯片,簡化AFE與音頻設計
- 一機適配萬端:金升陽推出1200W可編程電源,賦能高端裝備製造
技術文章更多>>
- 築基AI4S:摩爾線程全功能GPU加速中國生命科學自主生態
- 一秒檢測,成本降至萬分之一,光引科技把幾十萬的台式光譜儀“搬”到了手腕上
- AI服務器電源機櫃Power Rack HVDC MW級測試方案
- 突破工藝邊界,奎芯科技LPDDR5X IP矽驗證通過,速率達9600Mbps
- 通過直接、準確、自動測量超低範圍的氯殘留來推動反滲透膜保護
技術白皮書下載更多>>
- 車規與基於V2X的車輛協同主動避撞技術展望
- 數字隔離助力新能源汽車安全隔離的新挑戰
- 汽車模塊拋負載的解決方案
- 車用連接器的安全創新應用
- Melexis Actuators Business Unit
- Position / Current Sensors - Triaxis Hall
熱門搜索






