技術講座:半橋LLC諧振轉換器的設計應用
發布時間:2014-10-04 責任編輯:echolady
【導讀】液晶電視和等離子電視的開關電源設計采用有源或者無源的PFC模式,能夠長時間在無散熱通風的環境下工作。這就要求開關電源要具備高功率密度、平滑的電磁幹擾信號和少量的元器件。半橋LLC諧振轉換器的優勢就凸顯了出來。
半橋LLC轉換器建模和增益特性
LLC轉換器可以通過一階基波近似來描述。但隻是近似,精度有限。而在Fs頻率附近精度達到最高。
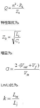
等效電路的傳遞函數為:

這其中,Z1和Z2與頻率有關,由此可知LLC轉換器的行為特性類似於與頻率有關的分頻器,負載越高,勵磁電感Lm所受到的交流電阻Rac產生的鉗位作用就越大。這樣一來,LLC儲能電路的諧振頻率就在Fs和Fmin之間變化。在使用基波近似時,實際的負載電阻必須修改,因為實際的諧振回路是由方波電壓驅動的。
相應地,轉換器的品質因數為:

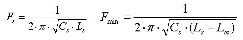
串聯諧振頻率Fs和最小諧振頻率Fmin分別為


圖1:標準化增益特性
LLC轉換器所需要的工作區域是增益曲線的右側區域(其中的負斜率意味著初級MOSFET工作在零電壓開關ZVS模式下)。當LLC轉換器工作在fs=1(對於分立諧振回路解決方案而言)的狀態下時,它的增益由變壓器的匝數比來給定。從效率和EMI的角度來講,這個工作點最具吸引力,因為正弦初級電流、MOSFET和次級二極管都得到優化利用。該工作點隻能在特定的工作電壓和負載條件下達到(通常是在滿載和額定Vbulk電壓時)。
增益特性曲線的波形及所需的工作頻率範圍由如下參數來確定:Lm/Ls比(即k)、諧振回路的特征阻抗、負載值和變壓器的匝數比。可以使用PSpice、Icap4等任意仿真軟件來進行基波近似和AC仿真。
對於LLC諧振轉換器而言,滿載時品質因數Q和Lm/Ls的恰當選擇是其設計的關鍵。這方麵的選擇將影響到如下轉換器特性:
1、輸出電壓穩壓所需的工作頻率範圍
2、線路和負載穩壓範圍
3、諧振回路中循環能量的大小
4、轉換器的效率
在設計當中,如果想要優化在滿載狀態時的Q和K,就要確定如下幾個因素:效率、線路、負載穩壓範圍。品質因數Q直接取決於負載,它是由滿載條件下的諧振電感Ls和諧振電容CS確定的。Q因數越高,就導致工作頻率範圍Fop越大。Q值較高及給定負載時,特征阻抗就必須較低,因為低Q會導致穩壓能力下降,且Q值很低的情況下LLC增益特性會退化到SRC。
而在k=Lm/Ls方麵,它決定了勵磁電感中存儲多少能量。k值越高,轉換器的勵磁電流和增益也就越低;且k因數越大,所需的穩壓頻率範圍也就越大。
在實踐中,Ls(如集成變壓器解決方案的漏電感)隻能在有限的範圍內取值,而且是由變壓器的構造(針對所需的功率等級)和匝數比決定。然後,Q因數的計算由所需的額定工作頻率fs確定。這之後,k因數也必須計算出來,以確保輸出電壓穩壓(帶有線路和負載變化)所需的增益。而在設定k因數時,可以讓轉換器在輕載時無法維持穩壓——可以方便地使用跳周期模式來降低空載功耗。
[page]
半橋LLC諧振電容和諧振電感的配置
單諧振電容和分體諧振電容都存在於半橋轉換器當中。如圖1所示。對於單諧振電容配置而言,它的輸入電流紋波和均方根(RMS)值較高,而且流經諧振電容的均方根電流較大。這種方案需要耐高壓(600~1,500V)的諧振電容。不過,這種方案也存在尺寸小、布線簡單等優點。

圖2:半橋LLC轉換器的兩種不同配置
分(fen)體(ti)諧(xie)振(zhen)電(dian)容(rong)相(xiang)較(jiao)於(yu)單(dan)個(ge)諧(xie)振(zhen)電(dian)容(rong)而(er)言(yan),其(qi)輸(shu)入(ru)電(dian)流(liu)紋(wen)波(bo)和(he)均(jun)方(fang)根(gen)值(zhi)較(jiao)小(xiao)。諧(xie)振(zhen)電(dian)容(rong)僅(jin)處(chu)理(li)一(yi)半(ban)的(de)均(jun)方(fang)根(gen)電(dian)流(liu),且(qie)所(suo)用(yong)電(dian)容(rong)的(de)電(dian)容(rong)量(liang)僅(jin)為(wei)單(dan)諧(xie)振(zhen)電(dian)容(rong)的(de)一(yi)半(ban)。當(dang)利(li)用(yong)鉗(qian)位(wei)二(er)極(ji)管(guan)(D3和D4)進行簡單、廉價的過載保護時,這種方案中,諧振電容可以采用450V較低額定電壓工作。
顧名思義,半橋LLC轉換器中包含2個電感(勵磁電感Lm和串聯的諧振電感Ls)。根(gen)據(ju)諧(xie)振(zhen)電(dian)感(gan)位(wei)置(zhi)的(de)不(bu)同(tong),諧(xie)振(zhen)回(hui)路(lu)也(ye)包(bao)括(kuo)兩(liang)種(zhong)不(bu)同(tong)的(de)配(pei)置(zhi),一(yi)種(zhong)為(wei)分(fen)立(li)解(jie)決(jue)方(fang)案(an),另(ling)一(yi)種(zhong)為(wei)集(ji)成(cheng)解(jie)決(jue)方(fang)案(an)。這(zhe)兩(liang)種(zhong)解(jie)決(jue)方(fang)案(an)各(ge)有(you)其(qi)優(you)缺(que)點(dian),采(cai)用(yong)這(zhe)兩(liang)種(zhong)方(fang)案(an)的(de)LLC的工作方式也有輕微差別。
將諧振電感安裝在變壓器外麵是有目地的。其能夠幫助設計者提高設計的靈活性,令設計人員可以靈活設置Ls和Lm的值;此外,EMI幅fu射she也ye更geng低di。不bu過guo,這zhe種zhong解jie決jue方fang案an的de缺que點dian在zai於yu,變bian壓ya器qi初chu級ji和he次ci級ji繞rao組zu間jian的de絕jue緣yuan變bian得de複fu雜za,並bing且qie繞rao組zu的de冷leng卻que條tiao件jian變bian差cha,並bing需xu要yao組zu裝zhuang更geng多duo元yuan件jian。

圖3:諧振儲能元件的兩種不同配置
在另一種集成的解決方案中,變壓器的漏電感被用作諧振電感(LLK=LS)。這種解決方案隻需1個(ge)磁(ci)性(xing)元(yuan)件(jian),而(er)且(qie)會(hui)使(shi)得(de)開(kai)關(guan)電(dian)源(yuan)的(de)尺(chi)寸(cun)更(geng)小(xiao)。此(ci)外(wai),變(bian)壓(ya)器(qi)繞(rao)組(zu)的(de)冷(leng)卻(que)條(tiao)件(jian)更(geng)好(hao),且(qie)初(chu)級(ji)和(he)次(ci)級(ji)繞(rao)組(zu)之(zhi)間(jian)可(ke)以(yi)方(fang)便(bian)地(di)實(shi)現(xian)絕(jue)緣(yuan)。不(bu)過(guo),這(zhe)種(zhong)解(jie)決(jue)方(fang)案(an)的(de)靈(ling)活(huo)性(xing)相(xiang)對(dui)較(jiao)差(cha)(可用的LS電感範圍有限),且其EMI幅射更強,而初級和次級繞組之間存在較強的鄰近效應。
相關閱讀:
福利到!半橋高頻變壓器電路及波形
【詳解】單相半橋逆變原理
對軟開關半橋DC-DC變換器的PWM控製策略分析
相關閱讀:
福利到!半橋高頻變壓器電路及波形
【詳解】單相半橋逆變原理
對軟開關半橋DC-DC變換器的PWM控製策略分析
特別推薦
- 噪聲中提取真值!瑞盟科技推出MSA2240電流檢測芯片賦能多元高端測量場景
- 10MHz高頻運行!氮矽科技發布集成驅動GaN芯片,助力電源能效再攀新高
- 失真度僅0.002%!力芯微推出超低內阻、超低失真4PST模擬開關
- 一“芯”雙電!聖邦微電子發布雙輸出電源芯片,簡化AFE與音頻設計
- 一機適配萬端:金升陽推出1200W可編程電源,賦能高端裝備製造
技術文章更多>>
- 築基AI4S:摩爾線程全功能GPU加速中國生命科學自主生態
- 一秒檢測,成本降至萬分之一,光引科技把幾十萬的台式光譜儀“搬”到了手腕上
- AI服務器電源機櫃Power Rack HVDC MW級測試方案
- 突破工藝邊界,奎芯科技LPDDR5X IP矽驗證通過,速率達9600Mbps
- 通過直接、準確、自動測量超低範圍的氯殘留來推動反滲透膜保護
技術白皮書下載更多>>
- 車規與基於V2X的車輛協同主動避撞技術展望
- 數字隔離助力新能源汽車安全隔離的新挑戰
- 汽車模塊拋負載的解決方案
- 車用連接器的安全創新應用
- Melexis Actuators Business Unit
- Position / Current Sensors - Triaxis Hall
熱門搜索





