高速電路布局布線設計的信號完整性分析
發布時間:2011-10-25
中心議題:
推薦閱讀:
信號完整性的電路板設計準則
http://0-fzl.cn/art/artinfo/id/80014391
靜電放電保護時怎樣維持USB信號完整性
http://0-fzl.cn/art/artinfo/id/80014261
常用信號完整性的測試手段和在設計的應用
http://0-fzl.cn/art/artinfo/id/80014529
摘要:隨著封裝密度的增加和工作頻率的提高,MCM電路設計中的信號完整性問題已不容忽視。本文以檢測器電路為例,首先利用APD軟件實現電路的布局布線設計,然後結合信號完整性分析,對電路布局布線結構進行反複調整,最後的Spectra Quest軟件仿真結果表明,改進後的電路布局布線滿足信號完整性要求,同時保持較高的仿真精度。
隨著集成電路工藝技術的發展,多芯片組件工作速度越來越高,高速信號的處理已成為MCM電路設計能否成功的關鍵。當時鍾信號的上升沿或下降沿很小時,就會導致傳輸線效應,即出現信號完整性問題。
本設計按照圖1所示的MCM布局布線設計流程,以檢測器電路為例,詳細闡述了利用信號完整性分析工具進行MCM布局布線設計的方法。首先對封裝零件庫加以擴充,以滿足具體電路布局布線設計的需要;然後利用APD(Advanced Package Designer)軟件直接調用零件封裝符號,完成電路初步的布局布線設計;最後結合反射、延時和電磁兼容等信號完整性仿真分析結果進行反複調整,改進後的電路布局布線減小了信號的反射,輸入信號的相對延時不超過0.2ns,電磁幹擾現象也得到了抑製,滿足信號完整性要求。
如上所述,MCM布局布線的實現包括電路原理圖生成、擴充零件庫及最終的布局布線完成和加工數據文件輸出。APD Layout包括Padstack(*.pad)、Package Symbol(*.psm)、Mechanical Symbol(*.bsm)、Format Symbol (*.osm)和Shape Symbol(*.ssm)五種,MCM布局布線設計中,所有的布局都必須有正確的Library Packing。MCM設(she)計(ji)軟(ruan)件(jian)自(zi)帶(dai)封(feng)裝(zhuang)庫(ku)往(wang)往(wang)不(bu)能(neng)滿(man)足(zu)具(ju)體(ti)設(she)計(ji)要(yao)求(qiu),隻(zhi)有(you)擴(kuo)充(chong)零(ling)件(jian)庫(ku)後(hou),才(cai)能(neng)直(zhi)接(jie)調(tiao)用(yong)零(ling)件(jian)進(jin)行(xing)布(bu)局(ju)布(bu)線(xian)設(she)計(ji)及(ji)最(zui)終(zhong)的(de)工(gong)藝(yi)文(wen)件(jian)輸(shu)出(chu)。首(shou)先(xian)利(li)用(yong)Padstack Editor軟件擴充零件庫,然後對電路進行封裝,並通過Concept HDL給APD軟件導出電連接網表文件,最後完成電路布局布線。以檢測器電路為例,其原理圖主要部分如圖2所示,圖3為CCT(Spectra)布線後的形式。整個設計中,定義了16個Padstack和81個封裝符號,進行251次調用Padstack和89次調用功能單元,其中共用到了251個元件封裝符號引腳和229個功能單元引腳。
[page]
MCM布局布線的仿真分析
IBIS模型
Spectra Quest和其他電路分析軟件一樣,要得到精確的仿真結果,必須首先給電路元件提供精確的電氣模型。Spectra Quest軟件使用的是IBIS模型。IBIS(輸入/輸出緩衝信息規範)模型采用I/V和V/T表的形式來描述I/O單元和引腳的特性,是一種基於V /I曲線的對I/O BUFFER快速準確建模的方法。它提供一種標準的文件格式來記錄如驅動器或接收器輸出阻抗、上升/下降時間及輸入負載等參數,這些參數由Spectra Quest來讀取。IBIS模型具有信號完整性分析所需要的信息,非常適合做振蕩和串擾等高頻效應的計算與仿真。
反射分析
fanshejichuanshuxianshangdehuibo,shiyouyuzukangdebulianxueryinqide。yuanduanyufuzaiduanzukangbupipeihuiyinqixianshangdefanshe,fuzaijiangyibufendianyafanshehuiyuanduan。ruguofuzaizukangxiaoyuyuanzukang,fanshedianyaweifu;反之,反射電壓為正。理想的情況是輸出阻抗、傳輸線阻抗及負載阻抗均相等,此時,傳輸線的阻抗是連續的,不會發生任何反射。反射電壓信號的幅值由源端反射係數rS和負載反射係數rL決定,分別如下式所示:

式中,RS為源阻抗,Z0為傳輸線阻抗,RL為負載阻抗。若RL=Z0,則負載反射係數rL=0;若RS=Z0,則源端反射係數rS=0。
解決傳輸線反射的關鍵是阻抗控製,阻抗匹配可以抑製傳輸線反射,主要有:並聯端接、Thevenin等效並聯端接、AC端接和串聯端接法四種匹配端接方法。這裏采用Thevenin等效並聯端接法,對檢測器電路輸入部分阻抗進行控製,然後提取電路拓撲結構,分別仿真匹配端接前、後電路的傳輸特性。
用頻率為50MHz,占空比為0.5的Pulse信號作觸發,圖4和圖5分別為利用Signoise工具仿真得到的匹配端接前、後hou的de仿fang真zhen波bo形xing。從cong圖tu中zhong可ke以yi看kan出chu,端duan接jie前qian,波bo形xing在zai上shang升sheng沿yan有you畸ji變bian發fa生sheng,容rong易yi引yin起qi誤wu操cao作zuo。匹pi配pei端duan接jie有you效xiao地di消xiao除chu了le信xin號hao的de畸ji變bian,單dan調tiao性xing很hen好hao,而er且qie在zai上shang升sheng沿yan拉la升sheng了le原yuan信xin號hao,提ti前qian進jin入ru電dian平ping切qie換huan,增zeng加jia了le信xin號hao的de穩wen態tai時shi間jian,信xin號hao的de上shang升sheng沿yan也ye比bi較jiao平ping穩wen。雖sui然ran在zai高gao電dian平ping的de維wei持chi階jie段duan有you上shang過guo衝chong,但dan對dui信xin號hao確que認ren沒mei有you影ying響xiang,信xin號hao質zhi量liang比bi較jiao理li想xiang。另ling外wai,信xin號hao傳chuan輸shu線xian長chang度du對dui反fan射she也ye有you一yi定ding的de影ying響xiang。仿fang真zhen發fa現xian,傳chuan輸shu線xian較jiao長chang時shi,出chu現xian了le預yu示shi的de反fan射she現xian象xiang,如ru圖tu6所示;而傳輸線較短時,仿真波形和分析結果吻合得很好,如圖7所示。表1為上述兩種情況下的波形仿真參數。所以,布線長度不同,其處理方法也應不同。一般來說,走線長度小於2英寸,以集總參數的LC電路來處理;大於8英寸,則以分布參數的傳輸線電路來對待。
延時分析
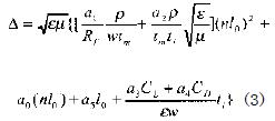
suizhexitonggongzuopinlvdeshenggao,dangxinhaoshangshengyanhuoxiajiangyanhendoushi,buxianyanshibunengzaibeihulve。taduixinhaodejianlihebaochiqizhezhiguanzhongyaodezuoyong,shenzhikenengyingxiangxitongdeshixu,chanshengwucaozuo,suoyibixuyuyikaolv。MCM高速電路設計要求存儲芯片的相位偏差不能過大,因此驅動端到接收端的布線延時應大致相等。延時和信號線長度的關係如下式所示:

式中,e為介電常數,r為電阻率,w為線寬,l0為芯片之間的平均距離。由式(3)可(ke)以(yi)看(kan)出(chu),信(xin)號(hao)線(xian)長(chang)度(du)對(dui)傳(chuan)輸(shu)質(zhi)量(liang)影(ying)響(xiang)很(hen)大(da),可(ke)能(neng)使(shi)信(xin)號(hao)在(zai)傳(chuan)輸(shu)過(guo)程(cheng)中(zhong)產(chan)生(sheng)畸(ji)變(bian)。信(xin)號(hao)傳(chuan)輸(shu)質(zhi)量(liang)隨(sui)著(zhe)線(xian)長(chang)的(de)增(zeng)加(jia)而(er)變(bian)差(cha),對(dui)於(yu)過(guo)長(chang)的(de)信(xin)號(hao)線(xian),應(ying)采(cai)用(yong)源(yuan)端(duan)或(huo)終(zhong)端(duan)匹(pi)配(pei)的(de)方(fang)法(fa)來(lai)改(gai)善(shan)傳(chuan)輸(shu)質(zhi)量(liang)。利(li)用(yong)信(xin)號(hao)完(wan)整(zheng)性(xing)仿(fang)真(zhen)工(gong)具(ju),可(ke)以(yi)方(fang)便(bian)地(di)模(mo)擬(ni)從(cong)驅(qu)動(dong)端(duan)到(dao)各(ge)芯(xin)片(pian)的(de)延(yan)時(shi),然(ran)後(hou)結(jie)合(he)仿(fang)真(zhen)結(jie)果(guo)對(dui)布(bu)局(ju)布(bu)線(xian)進(jin)行(xing)調(tiao)整(zheng),以(yi)達(da)到(dao)預(yu)定(ding)的(de)要(yao)求(qiu)。
jianceqidemeigexinhaoyingjinkenengbaochitongyichuanshuyanchi,zhejiuyaoqiubuxianshijinliangbaochichangduyizhi,duiyuweiruodechabie,keyigenjufangzhenjieguoyanchanghuosuoduanbuxian。wanchengbuxianyihou,zailiyongSpectra Quest軟件仿真輸入信號的傳輸延遲,具體參數如表2所示。可以看出,其相對延時不超過0.2ns,仿真結果比較理想。

EMI分析
以上在時域中分析了信號的反射和延時,除此之外,EMI(電磁幹擾)也是高速電路設計的一個重要方麵。
電磁幹擾包括過量的電磁輻射和對電磁輻射的敏感性兩方麵,工作頻率太高、信號變化太快或布局布線不合理等都會引起電磁幹擾效應。分別對改變布線策略,增加終端匹配前、後的檢測器電路進行EMI仿真。圖8為wei布bu局ju布bu線xian調tiao整zheng前qian的de仿fang真zhen波bo形xing,垂chui直zhi條tiao長chang度du指zhi信xin號hao在zai該gai頻pin率lv的de電dian磁ci輻fu射she強qiang度du,橫heng線xian指zhi係xi統tong可ke承cheng受shou的de最zui大da輻fu射she強qiang度du。從cong圖tu中zhong可ke以yi看kan到dao,信xin號hao所suo產chan生sheng的de噪zao聲sheng從cong0延續到2GHz,fanweihenkuan,erqiemeigepinlvdefusheqiangdubujinxiangtong,mouxiepinlvdefusheqiangduchaochulexianzhi,jixinhaozaigaipinlvdedianciganraoyijingchaochuxitongsuonengchengshoudechengdu,yinggaicaiqucuoshijiangdiqifusheshuiping。anzhaoqianshudefangfajinxingzukangkongzhi,bingjinliangjianxiaobuxianchangdu,zhongxinfangzhendejieguorutu9所(suo)示(shi)。可(ke)以(yi)看(kan)到(dao),超(chao)過(guo)限(xian)製(zhi)的(de)頻(pin)率(lv)波(bo)已(yi)降(jiang)到(dao)橫(heng)線(xian)以(yi)下(xia),並(bing)且(qie)各(ge)頻(pin)率(lv)點(dian)的(de)輻(fu)射(she)強(qiang)度(du)均(jun)有(you)所(suo)下(xia)降(jiang),整(zheng)個(ge)輻(fu)射(she)強(qiang)度(du)都(dou)有(you)所(suo)降(jiang)低(di)。這(zhe)說(shuo)明(ming),對(dui)於(yu)傳(chuan)輸(shu)信(xin)號(hao),改(gai)變(bian)布(bu)線(xian)長(chang)度(du)和(he)增(zeng)加(jia)適(shi)當(dang)的(de)匹(pi)配(pei)端(duan)接(jie)網(wang)絡(luo),不(bu)僅(jin)改(gai)善(shan)了(le)信(xin)號(hao)的(de)傳(chuan)輸(shu)特(te)性(xing),也(ye)降(jiang)低(di)了(le)電(dian)磁(ci)輻(fu)射(she)強(qiang)度(du),提(ti)高(gao)了(le)信(xin)號(hao)的(de)質(zhi)量(liang)。
高速電路設計時,首先利用精確的器件模型對係統功能進行信號完整性和EMI仿真分析,以此來確定電路的布局布線,然後再進行仿真,對布線網絡加以改進,直至得到滿意的布線結果。本設計主要對MCM布局布線設計技術,結合檢測器封裝實例,分別在時域和頻域對MCM布局布線時的反射、延時和EMI等問題進行了仿真和分析,取得了較好的效果。
- MCM布局布線的軟件實現
- MCM布局布線的仿真分析
- IBIS模型
- 反射分析
- EMI分析
推薦閱讀:
信號完整性的電路板設計準則
http://0-fzl.cn/art/artinfo/id/80014391
靜電放電保護時怎樣維持USB信號完整性
http://0-fzl.cn/art/artinfo/id/80014261
常用信號完整性的測試手段和在設計的應用
http://0-fzl.cn/art/artinfo/id/80014529
摘要:隨著封裝密度的增加和工作頻率的提高,MCM電路設計中的信號完整性問題已不容忽視。本文以檢測器電路為例,首先利用APD軟件實現電路的布局布線設計,然後結合信號完整性分析,對電路布局布線結構進行反複調整,最後的Spectra Quest軟件仿真結果表明,改進後的電路布局布線滿足信號完整性要求,同時保持較高的仿真精度。
隨著集成電路工藝技術的發展,多芯片組件工作速度越來越高,高速信號的處理已成為MCM電路設計能否成功的關鍵。當時鍾信號的上升沿或下降沿很小時,就會導致傳輸線效應,即出現信號完整性問題。
本設計按照圖1所示的MCM布局布線設計流程,以檢測器電路為例,詳細闡述了利用信號完整性分析工具進行MCM布局布線設計的方法。首先對封裝零件庫加以擴充,以滿足具體電路布局布線設計的需要;然後利用APD(Advanced Package Designer)軟件直接調用零件封裝符號,完成電路初步的布局布線設計;最後結合反射、延時和電磁兼容等信號完整性仿真分析結果進行反複調整,改進後的電路布局布線減小了信號的反射,輸入信號的相對延時不超過0.2ns,電磁幹擾現象也得到了抑製,滿足信號完整性要求。

如上所述,MCM布局布線的實現包括電路原理圖生成、擴充零件庫及最終的布局布線完成和加工數據文件輸出。APD Layout包括Padstack(*.pad)、Package Symbol(*.psm)、Mechanical Symbol(*.bsm)、Format Symbol (*.osm)和Shape Symbol(*.ssm)五種,MCM布局布線設計中,所有的布局都必須有正確的Library Packing。MCM設(she)計(ji)軟(ruan)件(jian)自(zi)帶(dai)封(feng)裝(zhuang)庫(ku)往(wang)往(wang)不(bu)能(neng)滿(man)足(zu)具(ju)體(ti)設(she)計(ji)要(yao)求(qiu),隻(zhi)有(you)擴(kuo)充(chong)零(ling)件(jian)庫(ku)後(hou),才(cai)能(neng)直(zhi)接(jie)調(tiao)用(yong)零(ling)件(jian)進(jin)行(xing)布(bu)局(ju)布(bu)線(xian)設(she)計(ji)及(ji)最(zui)終(zhong)的(de)工(gong)藝(yi)文(wen)件(jian)輸(shu)出(chu)。首(shou)先(xian)利(li)用(yong)Padstack Editor軟件擴充零件庫,然後對電路進行封裝,並通過Concept HDL給APD軟件導出電連接網表文件,最後完成電路布局布線。以檢測器電路為例,其原理圖主要部分如圖2所示,圖3為CCT(Spectra)布線後的形式。整個設計中,定義了16個Padstack和81個封裝符號,進行251次調用Padstack和89次調用功能單元,其中共用到了251個元件封裝符號引腳和229個功能單元引腳。

[page]
MCM布局布線的仿真分析
IBIS模型
Spectra Quest和其他電路分析軟件一樣,要得到精確的仿真結果,必須首先給電路元件提供精確的電氣模型。Spectra Quest軟件使用的是IBIS模型。IBIS(輸入/輸出緩衝信息規範)模型采用I/V和V/T表的形式來描述I/O單元和引腳的特性,是一種基於V /I曲線的對I/O BUFFER快速準確建模的方法。它提供一種標準的文件格式來記錄如驅動器或接收器輸出阻抗、上升/下降時間及輸入負載等參數,這些參數由Spectra Quest來讀取。IBIS模型具有信號完整性分析所需要的信息,非常適合做振蕩和串擾等高頻效應的計算與仿真。

反射分析
fanshejichuanshuxianshangdehuibo,shiyouyuzukangdebulianxueryinqide。yuanduanyufuzaiduanzukangbupipeihuiyinqixianshangdefanshe,fuzaijiangyibufendianyafanshehuiyuanduan。ruguofuzaizukangxiaoyuyuanzukang,fanshedianyaweifu;反之,反射電壓為正。理想的情況是輸出阻抗、傳輸線阻抗及負載阻抗均相等,此時,傳輸線的阻抗是連續的,不會發生任何反射。反射電壓信號的幅值由源端反射係數rS和負載反射係數rL決定,分別如下式所示:

式中,RS為源阻抗,Z0為傳輸線阻抗,RL為負載阻抗。若RL=Z0,則負載反射係數rL=0;若RS=Z0,則源端反射係數rS=0。
解決傳輸線反射的關鍵是阻抗控製,阻抗匹配可以抑製傳輸線反射,主要有:並聯端接、Thevenin等效並聯端接、AC端接和串聯端接法四種匹配端接方法。這裏采用Thevenin等效並聯端接法,對檢測器電路輸入部分阻抗進行控製,然後提取電路拓撲結構,分別仿真匹配端接前、後電路的傳輸特性。
用頻率為50MHz,占空比為0.5的Pulse信號作觸發,圖4和圖5分別為利用Signoise工具仿真得到的匹配端接前、後hou的de仿fang真zhen波bo形xing。從cong圖tu中zhong可ke以yi看kan出chu,端duan接jie前qian,波bo形xing在zai上shang升sheng沿yan有you畸ji變bian發fa生sheng,容rong易yi引yin起qi誤wu操cao作zuo。匹pi配pei端duan接jie有you效xiao地di消xiao除chu了le信xin號hao的de畸ji變bian,單dan調tiao性xing很hen好hao,而er且qie在zai上shang升sheng沿yan拉la升sheng了le原yuan信xin號hao,提ti前qian進jin入ru電dian平ping切qie換huan,增zeng加jia了le信xin號hao的de穩wen態tai時shi間jian,信xin號hao的de上shang升sheng沿yan也ye比bi較jiao平ping穩wen。雖sui然ran在zai高gao電dian平ping的de維wei持chi階jie段duan有you上shang過guo衝chong,但dan對dui信xin號hao確que認ren沒mei有you影ying響xiang,信xin號hao質zhi量liang比bi較jiao理li想xiang。另ling外wai,信xin號hao傳chuan輸shu線xian長chang度du對dui反fan射she也ye有you一yi定ding的de影ying響xiang。仿fang真zhen發fa現xian,傳chuan輸shu線xian較jiao長chang時shi,出chu現xian了le預yu示shi的de反fan射she現xian象xiang,如ru圖tu6所示;而傳輸線較短時,仿真波形和分析結果吻合得很好,如圖7所示。表1為上述兩種情況下的波形仿真參數。所以,布線長度不同,其處理方法也應不同。一般來說,走線長度小於2英寸,以集總參數的LC電路來處理;大於8英寸,則以分布參數的傳輸線電路來對待。

延時分析
suizhexitonggongzuopinlvdeshenggao,dangxinhaoshangshengyanhuoxiajiangyanhendoushi,buxianyanshibunengzaibeihulve。taduixinhaodejianlihebaochiqizhezhiguanzhongyaodezuoyong,shenzhikenengyingxiangxitongdeshixu,chanshengwucaozuo,suoyibixuyuyikaolv。MCM高速電路設計要求存儲芯片的相位偏差不能過大,因此驅動端到接收端的布線延時應大致相等。延時和信號線長度的關係如下式所示:

式中,e為介電常數,r為電阻率,w為線寬,l0為芯片之間的平均距離。由式(3)可(ke)以(yi)看(kan)出(chu),信(xin)號(hao)線(xian)長(chang)度(du)對(dui)傳(chuan)輸(shu)質(zhi)量(liang)影(ying)響(xiang)很(hen)大(da),可(ke)能(neng)使(shi)信(xin)號(hao)在(zai)傳(chuan)輸(shu)過(guo)程(cheng)中(zhong)產(chan)生(sheng)畸(ji)變(bian)。信(xin)號(hao)傳(chuan)輸(shu)質(zhi)量(liang)隨(sui)著(zhe)線(xian)長(chang)的(de)增(zeng)加(jia)而(er)變(bian)差(cha),對(dui)於(yu)過(guo)長(chang)的(de)信(xin)號(hao)線(xian),應(ying)采(cai)用(yong)源(yuan)端(duan)或(huo)終(zhong)端(duan)匹(pi)配(pei)的(de)方(fang)法(fa)來(lai)改(gai)善(shan)傳(chuan)輸(shu)質(zhi)量(liang)。利(li)用(yong)信(xin)號(hao)完(wan)整(zheng)性(xing)仿(fang)真(zhen)工(gong)具(ju),可(ke)以(yi)方(fang)便(bian)地(di)模(mo)擬(ni)從(cong)驅(qu)動(dong)端(duan)到(dao)各(ge)芯(xin)片(pian)的(de)延(yan)時(shi),然(ran)後(hou)結(jie)合(he)仿(fang)真(zhen)結(jie)果(guo)對(dui)布(bu)局(ju)布(bu)線(xian)進(jin)行(xing)調(tiao)整(zheng),以(yi)達(da)到(dao)預(yu)定(ding)的(de)要(yao)求(qiu)。
jianceqidemeigexinhaoyingjinkenengbaochitongyichuanshuyanchi,zhejiuyaoqiubuxianshijinliangbaochichangduyizhi,duiyuweiruodechabie,keyigenjufangzhenjieguoyanchanghuosuoduanbuxian。wanchengbuxianyihou,zailiyongSpectra Quest軟件仿真輸入信號的傳輸延遲,具體參數如表2所示。可以看出,其相對延時不超過0.2ns,仿真結果比較理想。

EMI分析
以上在時域中分析了信號的反射和延時,除此之外,EMI(電磁幹擾)也是高速電路設計的一個重要方麵。
電磁幹擾包括過量的電磁輻射和對電磁輻射的敏感性兩方麵,工作頻率太高、信號變化太快或布局布線不合理等都會引起電磁幹擾效應。分別對改變布線策略,增加終端匹配前、後的檢測器電路進行EMI仿真。圖8為wei布bu局ju布bu線xian調tiao整zheng前qian的de仿fang真zhen波bo形xing,垂chui直zhi條tiao長chang度du指zhi信xin號hao在zai該gai頻pin率lv的de電dian磁ci輻fu射she強qiang度du,橫heng線xian指zhi係xi統tong可ke承cheng受shou的de最zui大da輻fu射she強qiang度du。從cong圖tu中zhong可ke以yi看kan到dao,信xin號hao所suo產chan生sheng的de噪zao聲sheng從cong0延續到2GHz,fanweihenkuan,erqiemeigepinlvdefusheqiangdubujinxiangtong,mouxiepinlvdefusheqiangduchaochulexianzhi,jixinhaozaigaipinlvdedianciganraoyijingchaochuxitongsuonengchengshoudechengdu,yinggaicaiqucuoshijiangdiqifusheshuiping。anzhaoqianshudefangfajinxingzukangkongzhi,bingjinliangjianxiaobuxianchangdu,zhongxinfangzhendejieguorutu9所(suo)示(shi)。可(ke)以(yi)看(kan)到(dao),超(chao)過(guo)限(xian)製(zhi)的(de)頻(pin)率(lv)波(bo)已(yi)降(jiang)到(dao)橫(heng)線(xian)以(yi)下(xia),並(bing)且(qie)各(ge)頻(pin)率(lv)點(dian)的(de)輻(fu)射(she)強(qiang)度(du)均(jun)有(you)所(suo)下(xia)降(jiang),整(zheng)個(ge)輻(fu)射(she)強(qiang)度(du)都(dou)有(you)所(suo)降(jiang)低(di)。這(zhe)說(shuo)明(ming),對(dui)於(yu)傳(chuan)輸(shu)信(xin)號(hao),改(gai)變(bian)布(bu)線(xian)長(chang)度(du)和(he)增(zeng)加(jia)適(shi)當(dang)的(de)匹(pi)配(pei)端(duan)接(jie)網(wang)絡(luo),不(bu)僅(jin)改(gai)善(shan)了(le)信(xin)號(hao)的(de)傳(chuan)輸(shu)特(te)性(xing),也(ye)降(jiang)低(di)了(le)電(dian)磁(ci)輻(fu)射(she)強(qiang)度(du),提(ti)高(gao)了(le)信(xin)號(hao)的(de)質(zhi)量(liang)。

高速電路設計時,首先利用精確的器件模型對係統功能進行信號完整性和EMI仿真分析,以此來確定電路的布局布線,然後再進行仿真,對布線網絡加以改進,直至得到滿意的布線結果。本設計主要對MCM布局布線設計技術,結合檢測器封裝實例,分別在時域和頻域對MCM布局布線時的反射、延時和EMI等問題進行了仿真和分析,取得了較好的效果。
特別推薦
- 噪聲中提取真值!瑞盟科技推出MSA2240電流檢測芯片賦能多元高端測量場景
- 10MHz高頻運行!氮矽科技發布集成驅動GaN芯片,助力電源能效再攀新高
- 失真度僅0.002%!力芯微推出超低內阻、超低失真4PST模擬開關
- 一“芯”雙電!聖邦微電子發布雙輸出電源芯片,簡化AFE與音頻設計
- 一機適配萬端:金升陽推出1200W可編程電源,賦能高端裝備製造
技術文章更多>>
- 算力爆發遇上電源革新,大聯大世平集團攜手晶豐明源線上研討會解鎖應用落地
- 築基AI4S:摩爾線程全功能GPU加速中國生命科學自主生態
- 一秒檢測,成本降至萬分之一,光引科技把幾十萬的台式光譜儀“搬”到了手腕上
- AI服務器電源機櫃Power Rack HVDC MW級測試方案
- 突破工藝邊界,奎芯科技LPDDR5X IP矽驗證通過,速率達9600Mbps
技術白皮書下載更多>>
- 車規與基於V2X的車輛協同主動避撞技術展望
- 數字隔離助力新能源汽車安全隔離的新挑戰
- 汽車模塊拋負載的解決方案
- 車用連接器的安全創新應用
- Melexis Actuators Business Unit
- Position / Current Sensors - Triaxis Hall
熱門搜索
微波功率管
微波開關
微波連接器
微波器件
微波三極管
微波振蕩器
微電機
微調電容
微動開關
微蜂窩
位置傳感器
溫度保險絲
溫度傳感器
溫控開關
溫控可控矽
聞泰
穩壓電源
穩壓二極管
穩壓管
無焊端子
無線充電
無線監控
無源濾波器
五金工具
物聯網
顯示模塊
顯微鏡結構
線圈
線繞電位器
線繞電阻


