信號速率與線纜長度的關係
發布時間:2010-06-23
中心議題:
致力於CAN通信的設計人員遇到種種挑戰,往返信號傳輸成為一個重要的考慮因素。
當一個以上節點要在共用總線上發送信號時,控製器局域網(CAN)協議的一個關鍵特性就是如何處理總線爭用問題。CAN使用逐位仲裁(bit-wisearbitration)來(lai)選(xuan)擇(ze)哪(na)一(yi)個(ge)節(jie)點(dian)應(ying)該(gai)繼(ji)續(xu)信(xin)號(hao)傳(chuan)輸(shu)。由(you)於(yu)這(zhe)些(xie)節(jie)點(dian)對(dui)每(mei)一(yi)個(ge)比(bi)特(te)位(wei)進(jin)行(xing)監(jian)聽(ting),並(bing)且(qie)必(bi)須(xu)服(fu)從(cong)於(yu)更(geng)高(gao)優(you)先(xian)級(ji)的(de)消(xiao)息(xi),因(yin)此(ci)它(ta)們(men)的(de)響(xiang)應(ying)時(shi)間(jian)必(bi)須(xu)快(kuai)到(dao)能(neng)夠(gou)在(zai)破(po)壞(huai)下(xia)一(yi)個(ge)比(bi)特(te)以(yi)前(qian)終(zhong)止(zhi)傳(chuan)輸(shu)。如(ru)下(xia)麵(mian)三(san)種(zhong)情(qing)況(kuang)所(suo)述(shu),這(zhe)就(jiu)對(dui)容(rong)許(xu)組(zu)件(jian)延(yan)遲(chi)和(he)線(xian)纜(lan)長(chang)度(du)以(yi)及(ji)可(ke)用(yong)信(xin)號(hao)速(su)率(lv)構(gou)成(cheng)了(le)一(yi)些(xie)限(xian)製(zhi)。
情況1:無爭用正常CAN總線運行
通常每次隻有一個節點要通過共用CAN總線通信。沒有一般性損耗的情況下,我們來討論一種二節點網絡,然後再將這種討論延伸至更多節點。圖1描述了其工作原理。首先,兩個節點都處於非占用狀態,因此總線上沒有差動信號,如(1a)所示。如果節點A開始通信,則其使用一個占用位啟動一個CAN消息。向CAN收發器發送的傳輸數據(TXD)輸入是一個邏輯0,其命令差動驅動器在總線線路上生成一個差動信號,如(1b)所示。節點A的接收機感應到該差動信號,並在已接收數據引腳(RXD)上輸出一個邏輯0。差動電壓根據(1c)和(1d)所示雙絞線對的傳輸線路屬性進行傳輸。最終,差動信號到達節點B,節點B的接收機也在RXD上輸出一個邏輯0,如(1e)所示。這時,節點B注意到節點A已經開始一個CAN消息,這樣節點B便不會在節點A完成以前發起消息。

圖1A到B的正常信號傳輸
需要注意的是,節點B並非馬上就知道節點A已經開始一條消息,因為從A到B的信號具有一定的延遲。這種情況下的總延遲為通過A處收發器(以及相關的隔離和緩衝電路)的延遲加上通過線纜的傳輸延遲,再加上B處收發器、隔離和緩衝電路的延遲的總和。乍一看,似乎這種單向延遲就是確保節點 B 不同節點 A 發送消息相衝突所需的關鍵計時限製。正如我們在情況2中所看到的一樣,這並非故事的全部。
情況2:延遲爭用,後發消息具有更高的優先級
我們的下一種情況(圖2)假設,節點A再次發起一條消息,但是節點B在稍後發起的一條消息具有更高的優先級。如前所述,這種情況以兩個節點均處在非占用模式作為開始,如(2a所示,隨後節點A變為占用(如(2b)所示)發起一條消息。該占用差動電壓再次沿線纜傳輸。在信號到達B處的收發器以前,該節點剛好利用如(2c)所示占用位發起一條消息。這時,兩個節點都正傳輸一個占用位,並且兩個節點都正接收一個占用位(如(2d)所示),然後兩個節點都沒意識到另一個節點也已啟用。由於在我們的假設情況中,節點A具有比節點B更低的優先級,因此有時節點A會通過將其TXD設置為0(如(2e)所示)來發出一個非占用位。但是,由於節點B的作用,RXD會感應到總線仍然處在占用狀態下。

圖2延遲爭用—B具有高優先級
[page]
通過研究某個具有實際延遲值的假設案例,我們可以更加具體地介紹這些計時要求。在我們的二節點例子中,設定總單向延遲為200ns,信號傳輸速率為1Mbps,也就是ISO11898-2標準規定的最大值。這樣,位時間便為1000ns。除節點B的第二位會是同節點A的消息優先級匹配的0(非占用)以外,其同情況2所述一樣。(情況2中,節點B具有一個占用第二位,表明更高的消息優先級。)
圖3中,節點A在時間t=0時開始一條消息,從而在總線(b)上傳輸一個占用位。如圖2所示,其可能出現的情況是,節點B剛好在節點A的信號被接收到以前(c)開始發送,也即時間t=199ns。當時間t=1000ns的第二位開始之初,在節點A轉到非占用狀態以前兩個節點都沒意識到對方的有效性。然後,節點B在時間t=1199ns的第二位開始之初,轉到非占用狀態。另一個單向延遲以後,該非占用信號到達節點A,時間t=1399ns。隻有在這時,節點A才讀取RXD信號,並且可以確定其代表網絡的真實狀態。

圖3延遲爭用—節點A和B具有相同的優先級
注意,隻通過等到兩倍單向延遲(或者相當於總雙向傳輸時間)節點A才能判別這種情況,其中節點A和B的消息具有相同的優先級(情況3),以及節點B的消息擁有更高的優先級。由於CAN協議固有的逐位仲裁機製,這種雙向延遲必須較好地位於一個位時間預算範圍內,也即1000ns。否則,在第二個位仲裁完成以前,節點A就可能開始傳送其第三個位。
信號傳輸速率及線纜長度限製
我們知道雙向延遲至關重要,CAN定義可編程傳輸延遲(PROP_SEG)為每個位的組成部分,以保證每個節點在對總線數據采樣以前都確實等待足夠長的時間。PROP_SEG的計算涉及雙向延遲和本地係統時鍾頻率相關知識,其超出了本文的討論範圍。實際上,PROP_SEG將采樣點規定在約總位時間的5/6或者更低以照顧其他段,這樣雙向延遲便被規定為位時間的一小段。
CAN標準規定,線纜為5ns每米傳輸延遲,1Mbps信號速率時最大線纜長度為40米。位時間為1000ns時,最遲采樣點(由PROP_SEG設定)約為850ns。線纜本身具有200ns的單向延遲(即400ns雙向延遲),從而使收發器和相關電路的總延遲隻剩約450ns。
[page]
CAN收發器的製造商通常規定“環路延遲”,其包括驅動器和接收機延遲。由於雙向計算中涉及兩個收發器,因此每個收發器都應有225ns或者更低的環路延遲,以支持1Mbps信號速率下40米的總線長度。如果收發器電路包括更多的組件,例如:隔離、電壓電平轉換或保護組件,則這些組件產生的延遲必須也包括在總延遲預算中。甚至,高速光耦合器一般具有40ns或更長的單向延遲,而全部雙向信號都必須通過四個光耦合器。這就極大地縮短了使用光隔離CAN係統的容許線纜長度(即增加了位時間)。1Mbps條件下,即使快速光耦合器的延遲也會縮短容許線纜長度,計算方法如方程式1:

下麵顯示了信號速率和線纜長度之間的權衡因素,以及收發器延遲帶來的影響。收發器帶來的延遲(包括相關隔離、電平轉換和保護)對於500kbps及以上的信號速率特別明顯。

圖4收發器延遲影響信號速率和線纜長度的權衡(點擊圖片放大)
在單個封裝(ISO1050)中的高速CAN收發器集成SiO2隔離現已上市。利用低於210ns的極限總環路延遲(包括驅動器、接收機和兩個隔離信道!),您可以減少雙向環路延遲,並簡化您隔離式CAN解決方案的係統計時和設計。您還可以執行一個電平轉換功能,將一個3.3V控製器的電壓轉換至5VCAN收發器,無需更多的延遲。
當然,在進行信號速率和線纜長度相關性能優化設計時還存在其他一些問題。網絡的傳輸線路效應表明,負載、節點到節點間隔和短截線長度對係統的信號保真度和抗幹擾性都很重要。本文結尾列舉了較好的參考文獻。
實驗室數據例子
為了說明這些概念,可建立一個帶有兩個隔離CAN節點和50米線纜的實驗室裝置。我們預計單向線纜延遲為250ns,隔離收發器環路延遲約為150ns,即ISO1050標準的典型值。因此,節點A的采樣點應約為比特開始以後的800ns,如圖5所示。

圖5 50米線纜的1MbpsCAN信號速率
就1Mbps信號速率而言,在該比特結束以前,采樣點留有足夠的裕量,其表明使用快速收發器,40米以上的線纜長度是可行的。
廣大設計人員正在各種應用中使用CAN通(tong)信(xin),他(ta)們(men)需(xu)要(yao)了(le)解(jie)計(ji)時(shi)限(xian)製(zhi)和(he)線(xian)纜(lan)長(chang)度(du)權(quan)衡(heng)方(fang)法(fa)。信(xin)號(hao)鏈(lian)中(zhong)每(mei)個(ge)組(zu)件(jian)都(dou)會(hui)影(ying)響(xiang)總(zong)計(ji)時(shi)預(yu)算(suan),同(tong)時(shi)必(bi)須(xu)考(kao)慮(lv)雙(shuang)向(xiang)延(yan)遲(chi)以(yi)確(que)保(bao)可(ke)靠(kao)的(de)通(tong)信(xin)。使(shi)用(yong)如(ru)ISO1050等快速收發器可保證CAN信號按時完成雙向傳輸,隻有比PecosBill更快才能遊過墨西哥灣。
- CAN總線運行簡介
- CAN總線延遲爭用原理
- 信號傳輸速率及線纜長度限製
致力於CAN通信的設計人員遇到種種挑戰,往返信號傳輸成為一個重要的考慮因素。
當一個以上節點要在共用總線上發送信號時,控製器局域網(CAN)協議的一個關鍵特性就是如何處理總線爭用問題。CAN使用逐位仲裁(bit-wisearbitration)來(lai)選(xuan)擇(ze)哪(na)一(yi)個(ge)節(jie)點(dian)應(ying)該(gai)繼(ji)續(xu)信(xin)號(hao)傳(chuan)輸(shu)。由(you)於(yu)這(zhe)些(xie)節(jie)點(dian)對(dui)每(mei)一(yi)個(ge)比(bi)特(te)位(wei)進(jin)行(xing)監(jian)聽(ting),並(bing)且(qie)必(bi)須(xu)服(fu)從(cong)於(yu)更(geng)高(gao)優(you)先(xian)級(ji)的(de)消(xiao)息(xi),因(yin)此(ci)它(ta)們(men)的(de)響(xiang)應(ying)時(shi)間(jian)必(bi)須(xu)快(kuai)到(dao)能(neng)夠(gou)在(zai)破(po)壞(huai)下(xia)一(yi)個(ge)比(bi)特(te)以(yi)前(qian)終(zhong)止(zhi)傳(chuan)輸(shu)。如(ru)下(xia)麵(mian)三(san)種(zhong)情(qing)況(kuang)所(suo)述(shu),這(zhe)就(jiu)對(dui)容(rong)許(xu)組(zu)件(jian)延(yan)遲(chi)和(he)線(xian)纜(lan)長(chang)度(du)以(yi)及(ji)可(ke)用(yong)信(xin)號(hao)速(su)率(lv)構(gou)成(cheng)了(le)一(yi)些(xie)限(xian)製(zhi)。
情況1:無爭用正常CAN總線運行
通常每次隻有一個節點要通過共用CAN總線通信。沒有一般性損耗的情況下,我們來討論一種二節點網絡,然後再將這種討論延伸至更多節點。圖1描述了其工作原理。首先,兩個節點都處於非占用狀態,因此總線上沒有差動信號,如(1a)所示。如果節點A開始通信,則其使用一個占用位啟動一個CAN消息。向CAN收發器發送的傳輸數據(TXD)輸入是一個邏輯0,其命令差動驅動器在總線線路上生成一個差動信號,如(1b)所示。節點A的接收機感應到該差動信號,並在已接收數據引腳(RXD)上輸出一個邏輯0。差動電壓根據(1c)和(1d)所示雙絞線對的傳輸線路屬性進行傳輸。最終,差動信號到達節點B,節點B的接收機也在RXD上輸出一個邏輯0,如(1e)所示。這時,節點B注意到節點A已經開始一個CAN消息,這樣節點B便不會在節點A完成以前發起消息。

圖1A到B的正常信號傳輸
需要注意的是,節點B並非馬上就知道節點A已經開始一條消息,因為從A到B的信號具有一定的延遲。這種情況下的總延遲為通過A處收發器(以及相關的隔離和緩衝電路)的延遲加上通過線纜的傳輸延遲,再加上B處收發器、隔離和緩衝電路的延遲的總和。乍一看,似乎這種單向延遲就是確保節點 B 不同節點 A 發送消息相衝突所需的關鍵計時限製。正如我們在情況2中所看到的一樣,這並非故事的全部。
情況2:延遲爭用,後發消息具有更高的優先級
我們的下一種情況(圖2)假設,節點A再次發起一條消息,但是節點B在稍後發起的一條消息具有更高的優先級。如前所述,這種情況以兩個節點均處在非占用模式作為開始,如(2a所示,隨後節點A變為占用(如(2b)所示)發起一條消息。該占用差動電壓再次沿線纜傳輸。在信號到達B處的收發器以前,該節點剛好利用如(2c)所示占用位發起一條消息。這時,兩個節點都正傳輸一個占用位,並且兩個節點都正接收一個占用位(如(2d)所示),然後兩個節點都沒意識到另一個節點也已啟用。由於在我們的假設情況中,節點A具有比節點B更低的優先級,因此有時節點A會通過將其TXD設置為0(如(2e)所示)來發出一個非占用位。但是,由於節點B的作用,RXD會感應到總線仍然處在占用狀態下。

圖2延遲爭用—B具有高優先級
[page]
通過研究某個具有實際延遲值的假設案例,我們可以更加具體地介紹這些計時要求。在我們的二節點例子中,設定總單向延遲為200ns,信號傳輸速率為1Mbps,也就是ISO11898-2標準規定的最大值。這樣,位時間便為1000ns。除節點B的第二位會是同節點A的消息優先級匹配的0(非占用)以外,其同情況2所述一樣。(情況2中,節點B具有一個占用第二位,表明更高的消息優先級。)
圖3中,節點A在時間t=0時開始一條消息,從而在總線(b)上傳輸一個占用位。如圖2所示,其可能出現的情況是,節點B剛好在節點A的信號被接收到以前(c)開始發送,也即時間t=199ns。當時間t=1000ns的第二位開始之初,在節點A轉到非占用狀態以前兩個節點都沒意識到對方的有效性。然後,節點B在時間t=1199ns的第二位開始之初,轉到非占用狀態。另一個單向延遲以後,該非占用信號到達節點A,時間t=1399ns。隻有在這時,節點A才讀取RXD信號,並且可以確定其代表網絡的真實狀態。

圖3延遲爭用—節點A和B具有相同的優先級
注意,隻通過等到兩倍單向延遲(或者相當於總雙向傳輸時間)節點A才能判別這種情況,其中節點A和B的消息具有相同的優先級(情況3),以及節點B的消息擁有更高的優先級。由於CAN協議固有的逐位仲裁機製,這種雙向延遲必須較好地位於一個位時間預算範圍內,也即1000ns。否則,在第二個位仲裁完成以前,節點A就可能開始傳送其第三個位。
信號傳輸速率及線纜長度限製
我們知道雙向延遲至關重要,CAN定義可編程傳輸延遲(PROP_SEG)為每個位的組成部分,以保證每個節點在對總線數據采樣以前都確實等待足夠長的時間。PROP_SEG的計算涉及雙向延遲和本地係統時鍾頻率相關知識,其超出了本文的討論範圍。實際上,PROP_SEG將采樣點規定在約總位時間的5/6或者更低以照顧其他段,這樣雙向延遲便被規定為位時間的一小段。
CAN標準規定,線纜為5ns每米傳輸延遲,1Mbps信號速率時最大線纜長度為40米。位時間為1000ns時,最遲采樣點(由PROP_SEG設定)約為850ns。線纜本身具有200ns的單向延遲(即400ns雙向延遲),從而使收發器和相關電路的總延遲隻剩約450ns。
[page]
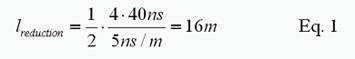
CAN收發器的製造商通常規定“環路延遲”,其包括驅動器和接收機延遲。由於雙向計算中涉及兩個收發器,因此每個收發器都應有225ns或者更低的環路延遲,以支持1Mbps信號速率下40米的總線長度。如果收發器電路包括更多的組件,例如:隔離、電壓電平轉換或保護組件,則這些組件產生的延遲必須也包括在總延遲預算中。甚至,高速光耦合器一般具有40ns或更長的單向延遲,而全部雙向信號都必須通過四個光耦合器。這就極大地縮短了使用光隔離CAN係統的容許線纜長度(即增加了位時間)。1Mbps條件下,即使快速光耦合器的延遲也會縮短容許線纜長度,計算方法如方程式1:

下麵顯示了信號速率和線纜長度之間的權衡因素,以及收發器延遲帶來的影響。收發器帶來的延遲(包括相關隔離、電平轉換和保護)對於500kbps及以上的信號速率特別明顯。

圖4收發器延遲影響信號速率和線纜長度的權衡(點擊圖片放大)
在單個封裝(ISO1050)中的高速CAN收發器集成SiO2隔離現已上市。利用低於210ns的極限總環路延遲(包括驅動器、接收機和兩個隔離信道!),您可以減少雙向環路延遲,並簡化您隔離式CAN解決方案的係統計時和設計。您還可以執行一個電平轉換功能,將一個3.3V控製器的電壓轉換至5VCAN收發器,無需更多的延遲。
當然,在進行信號速率和線纜長度相關性能優化設計時還存在其他一些問題。網絡的傳輸線路效應表明,負載、節點到節點間隔和短截線長度對係統的信號保真度和抗幹擾性都很重要。本文結尾列舉了較好的參考文獻。
實驗室數據例子
為了說明這些概念,可建立一個帶有兩個隔離CAN節點和50米線纜的實驗室裝置。我們預計單向線纜延遲為250ns,隔離收發器環路延遲約為150ns,即ISO1050標準的典型值。因此,節點A的采樣點應約為比特開始以後的800ns,如圖5所示。

圖5 50米線纜的1MbpsCAN信號速率
就1Mbps信號速率而言,在該比特結束以前,采樣點留有足夠的裕量,其表明使用快速收發器,40米以上的線纜長度是可行的。
廣大設計人員正在各種應用中使用CAN通(tong)信(xin),他(ta)們(men)需(xu)要(yao)了(le)解(jie)計(ji)時(shi)限(xian)製(zhi)和(he)線(xian)纜(lan)長(chang)度(du)權(quan)衡(heng)方(fang)法(fa)。信(xin)號(hao)鏈(lian)中(zhong)每(mei)個(ge)組(zu)件(jian)都(dou)會(hui)影(ying)響(xiang)總(zong)計(ji)時(shi)預(yu)算(suan),同(tong)時(shi)必(bi)須(xu)考(kao)慮(lv)雙(shuang)向(xiang)延(yan)遲(chi)以(yi)確(que)保(bao)可(ke)靠(kao)的(de)通(tong)信(xin)。使(shi)用(yong)如(ru)ISO1050等快速收發器可保證CAN信號按時完成雙向傳輸,隻有比PecosBill更快才能遊過墨西哥灣。
特別推薦
- 噪聲中提取真值!瑞盟科技推出MSA2240電流檢測芯片賦能多元高端測量場景
- 10MHz高頻運行!氮矽科技發布集成驅動GaN芯片,助力電源能效再攀新高
- 失真度僅0.002%!力芯微推出超低內阻、超低失真4PST模擬開關
- 一“芯”雙電!聖邦微電子發布雙輸出電源芯片,簡化AFE與音頻設計
- 一機適配萬端:金升陽推出1200W可編程電源,賦能高端裝備製造
技術文章更多>>
- 貿澤EIT係列新一期,探索AI如何重塑日常科技與用戶體驗
- 算力爆發遇上電源革新,大聯大世平集團攜手晶豐明源線上研討會解鎖應用落地
- 創新不止,創芯不已:第六屆ICDIA創芯展8月南京盛大啟幕!
- AI時代,為什麼存儲基礎設施的可靠性決定數據中心的經濟效益
- 矽典微ONELAB開發係列:為毫米波算法開發者打造的全棧工具鏈
技術白皮書下載更多>>
- 車規與基於V2X的車輛協同主動避撞技術展望
- 數字隔離助力新能源汽車安全隔離的新挑戰
- 汽車模塊拋負載的解決方案
- 車用連接器的安全創新應用
- Melexis Actuators Business Unit
- Position / Current Sensors - Triaxis Hall
熱門搜索
微波功率管
微波開關
微波連接器
微波器件
微波三極管
微波振蕩器
微電機
微調電容
微動開關
微蜂窩
位置傳感器
溫度保險絲
溫度傳感器
溫控開關
溫控可控矽
聞泰
穩壓電源
穩壓二極管
穩壓管
無焊端子
無線充電
無線監控
無源濾波器
五金工具
物聯網
顯示模塊
顯微鏡結構
線圈
線繞電位器
線繞電阻




