微機控製係統感性負載切投時幹擾產生的機理及抑製
發布時間:2017-04-13 來源:秦鍾,李成宗 責任編輯:wenwei
【導讀】工業現場存在著大量的電感性負載,如電動機、變壓器、繼電器、接jie觸chu器qi和he電dian磁ci鐵tie等deng。由you於yu這zhe些xie設she備bei和he器qi件jian具ju有you較jiao大da的de電dian感gan和he一yi定ding量liang值zhi的de分fen布bu電dian容rong,故gu當dang對dui其qi進jin行xing切qie投tou操cao作zuo時shi,會hui產chan生sheng幅fu值zhi高gao達da數shu百bai伏fu甚shen至zhi數shu千qian伏fu的de高gao頻pin幹gan擾rao,成cheng為wei在zai附fu近jin工gong作zuo的de計ji算suan機ji的de主zhu要yao幹gan擾rao源yuan。電dian感gan性xing負fu載zai切qie投tou時shi所suo產chan生sheng的de幹gan擾rao是shi計ji算suan機ji控kong製zhi係xi統tong最zui常chang見jian最zui嚴yan重zhong最zui難nan克ke服fu的de幹gan擾rao之zhi一yi。本ben文wen借jie助zhu等deng效xiao電dian路lu,對dui感gan性xing負fu載zai切qie投tou時shi產chan生sheng幹gan擾rao過guo程cheng作zuo了le分fen析xi研yan究jiu,並bing提ti出chu了le抑yi製zhi幹gan擾rao的de措cuo施shi。
1 序言
工業現場存在著大量的電感性負載,如電動機、變壓器、繼電器、接(jie)觸(chu)器(qi)和(he)電(dian)磁(ci)鐵(tie)等(deng)。由(you)於(yu)這(zhe)些(xie)設(she)備(bei)和(he)器(qi)件(jian)具(ju)有(you)較(jiao)大(da)的(de)電(dian)感(gan)和(he)一(yi)定(ding)量(liang)值(zhi)的(de)分(fen)布(bu)電(dian)容(rong),故(gu)當(dang)對(dui)其(qi)進(jin)行(xing)切(qie)投(tou)操(cao)作(zuo)時(shi),會(hui)產(chan)生(sheng)幅(fu)值(zhi)高(gao)達(da)數(shu)百(bai)伏(fu)甚(shen)至(zhi)數(shu)千(qian)伏(fu)的(de)高(gao)頻(pin)幹(gan)擾(rao),成(cheng)為(wei)在(zai)附(fu)近(jin)工(gong)作(zuo)的(de)計(ji)算(suan)機(ji)的(de)主(zhu)要(yao)幹(gan)擾(rao)源(yuan)。
2 感性負載切投時的等效電路
ruokaiguanshilixiangkaiguan,jijiadingkaihuobideguochengshiyicixingde,qiegaiguochengdechixushijianweiling,namekaiguanbiheerjietongganxingfuzaishi,huiduidianwangzaochengmouzhongchengdudechongji。dangkaiguanduankaibingqieduanganxingfuzaishi,fuzaishanghuichanshengjigaodefandianshi,danyouyujiadingkaiguanshilixiangde,qichudianjianxijiangbafuzaiyudianwanggeliqilai,shiqibunengtongguochuandaozuoyongershiyudianwangcedejisuanji,erzhinengyiouhehefushedefangshiduijisuanjifashengzuoyong。yinci,zailixiangqingkuangxia,kaiguandekaiyubisuochanshengdeganraodoubusuanyanzhong。danshi,shijidekaiguancaozuobukebimiandibanyoujianxidedianhujichuanhechudiandedoudong,jiazhichudianzhijianwangwangcunyouzazhi,yinciqikaiguanguochengbukenengshilixiangxingdeyiciduankaihuobihedeguocheng,ershiyigekaibibuduanzhongfudekaibichuanguocheng,zhengshiyouyukaiguancaozuodezheyiteyouyundongshuxing,juedingledianganxingfuzaiqietoushisuochanshengganraodeyixiezhuyaotedian。zaikaolvlekaiguancaozuodekaibichuanxiaoyinghou,kejiezhuyixianxingjizongcanshudengxiaodianlulaiyanjiudianganxingfuzaiqietoushichanshengganraodeguocheng,qidengxiaodianlurutu1所示。

圖中L1、C1、R1分別為負載一側的等效電感、電容和電阻。L2為電源一側的等效電感,它主要由電源線電感構成,一般情況下其量值在幾十
以下,且
。C2為電源側的分布電容,其量值約為幾十pF,R2為電源側的電阻,主要指電源線的電阻,也為一很小值,絕大多數情況下
數量級上下。
3 開關斷開而無擊穿時的幹擾分析
yinweikaiguanduankaihuojietongshi,doubukebimiandihuichanshengkaibichuanxiaoying,yinqichudiandezhongfukaibi,guciliangzhongqingkuangxiachanshengdeguochengdatiyizhi。xianjinyikaiguanduankaishideqingkuangweilifenxiganraochanshengdejili。
當開關斷開時,由於L1的儲能作用,其中的電流不會突然降至為零,因而
中的電流將流向
並對其充電,若忽略上的能量損耗及電容的初始儲能,可求的開關斷開後
上的所能達到的最大值
同理可得
上的最大電壓值
式中I為開關斷開瞬間流經電源導線,即電感性負載中的電流值。當電流越大,其兩側的電壓越高。由於
知,
。當開關斷開,而未發生擊穿時,僅有
通過供電線路與計算機相連,因其量值較小,不會對計算機構成嚴重幹擾。
開關斷開後,其兩側將形成一個回路,故開關兩側的電壓將按照二階網絡的運動規律變化。其以電壓
為變量負載側的微分方程為
當開關斷開瞬時,若
恰為電源峰值電壓時,則因滯後其90度,故
為最小值零,因而,
回路將以
為初始震蕩幅值作衰減震蕩,對於20V交流電源係統來說,此起始震蕩電壓幅值為311V,並不會形成嚴重幹擾。
當開關斷開瞬時,若
為零,則
將達到最大值
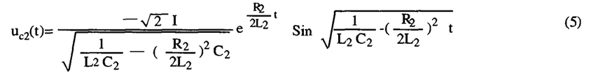
,即電感中儲能最大,此時,負載側電壓最高,往往達數千伏,故幹擾最為嚴重。以此為初始條件可求得負載側電壓

同理可求得電源側的電壓

有上述可知:
(1)當dang開kai關guan斷duan開kai後hou,在zai開kai關guan兩liang側ce形xing成cheng一yi個ge回hui路lu,每mei一yi回hui路lu均jun出chu現xian一yi衰shuai減jian震zhen蕩dang過guo程cheng,它ta們men的de振zhen幅fu幅fu值zhi由you開kai關guan斷duan開kai時shi的de初chu始shi狀zhuang態tai決jue定ding。電dian感gan儲chu能neng最zui大da時shi的de震zhen蕩dang情qing況kuang可ke由you式shi(1)和式(2)描述。
(2)負載側與電源側的衰減震蕩頻率分別為:
(3)負載側與電源側的震蕩均隨時間作指數衰減,衰減速率取決於電路參數R和L。由於
與
的量值極為懸殊,故有:
,即電源側的震蕩衰減要快得多。
因此在開關斷開時未發生擊穿的情況下,電源側與負載側將分別產生震蕩,這兩個震蕩無論在幅值頻率和衰減率上都有極大的區別:電dian源yuan側ce的de震zhen蕩dang頻pin率lv高gao,幅fu值zhi小xiao,衰shuai減jian快kuai,且qie可ke直zhi接jie作zuo用yong到dao計ji算suan機ji係xi統tong上shang形xing成cheng幹gan擾rao,而er負fu載zai側ce的de震zhen蕩dang頻pin率lv低di幅fu值zhi高gao,衰shuai減jian慢man,由you於yu開kai關guan的de隔ge離li使shi它ta無wu法fa直zhi接jie幹gan擾rao計ji算suan機ji。
4 開關觸點間隙擊穿時的幹擾分析
電感性負載被開關斷開後其上的最大電壓為
,wangwangkedashuqianfu,erkaiguanduankaidezuichushike,qichudianjianxiquehenxiao,dangcigaoyajiayuqishangshi,chudianjianxibiranhuibeijichuan,jiangkaiguanliangcedianluzhongxinliantong,suoyi,fuzaicedeganraojiubuhuizaishidanyidejiaopinlvwei
的低幅值幹擾了,而要嚴重和複雜得多。
一般認為開關觸點間隙的最小擊穿電壓
約為320V。在開關斷開過程中隨著其觸點間隙的增大,擊穿電壓也相應升高,觸點間可能達到的最大擊穿電壓主要由負載側的最大震蕩電壓幅值
決定,即
在開關斷開的最初瞬間,負載側的電壓絕對值
將以震蕩形式升高,該電壓將與電源側的震蕩電壓串聯而施加於開關的觸點上,當
大於觸點擊穿電壓
時,間隙被擊穿,產生飛弧,將開關S兩側的電路連通,若忽視較小的弧壓降,可得圖2所示的等效電路。

由於
,因此圖2電路中起主要作用的電感支路是
串聯支路,同樣由於
,可知兩並聯電容支路起主要作用的是
支路,所以可將圖2電路再進行簡化為圖3所示的電路。圖中
約等於
。

因為
suogouchengdezhendanghuilujuyoupinlvgao,fuzhixiaoshuaijiankuaidetedian,zaifuzaidianliujiaoxiaodeqingkuangxia,kerenweidangjichuanfashengshi,gaihuiluzhongdedianliudianyajunyishuaijianerjiejinyuling。jichushitiaojianwei:

從而求得在觸點間隙擊穿後,電路中所產生的幹擾電壓的較為簡潔的描述形式為

由此可知擊穿情況下所產生幹擾的性質,其特點如下:
(1)電感性負載切投時,必然會出現開關間隙擊穿現象,形成開閉串過程,從而產生頻率很高幅值極大的幹擾電壓。
(2)當(dang)擊(ji)穿(chuan)發(fa)生(sheng)後(hou),開(kai)關(guan)兩(liang)側(ce)共(gong)同(tong)構(gou)成(cheng)一(yi)新(xin)的(de)震(zhen)蕩(dang)電(dian)路(lu),其(qi)震(zhen)蕩(dang)電(dian)壓(ya)幅(fu)值(zhi)和(he)初(chu)相(xiang)角(jiao)均(jun)由(you)擊(ji)穿(chuan)時(shi)的(de)初(chu)始(shi)條(tiao)件(jian)確(que)定(ding)。在(zai)負(fu)載(zai)電(dian)流(liu)較(jiao)小(xiao)的(de)情(qing)況(kuang)下(xia),振(zhen)蕩(dang)電(dian)壓(ya)幅(fu)值(zhi)約(yue)為(wei)
,因
取值在320V與
之間,故幅值極高,震蕩的角頻率
,而擊穿前電路的另外的兩個震蕩角頻率分別為
,比較三個頻率有
,而
與
較為接近。
觸點間隙擊穿後出現的震蕩電壓
兼有
幅值大和
頻pin率lv高gao的de特te點dian,而er又you直zhi接jie出chu現xian在zai電dian源yuan係xi統tong上shang,因yin而er成cheng為wei對dui計ji算suan機ji最zui嚴yan重zhong和he最zui主zhu要yao的de幹gan擾rao。由you網wang絡luo理li論lun知zhi,該gai震zhen蕩dang電dian壓ya達da到dao峰feng值zhi時shi,電dian路lu中zhong的de震zhen蕩dang電dian流liu將jiang降jiang為wei零ling,此ci時shi觸chu點dian間jian的de電dian弧hu熄xi滅mie,負fu載zai側ce和he電dian源yuan側ce又you分fen別bie以yi角jiao頻pin率lv和he震zhen蕩dang,其qi起qi始shi震zhen蕩dang電dian壓ya值zhi均jun為wei熄xi弧hu時shi的de電dian壓ya。
由於
dianyuancezhendangdianyadejixingfanzhuanhenkuai,zaifuzaicedianyaderenyibanboshi,douhuiduocichuxianyufuzaicedianyatongjixingchuanlianxiangjia,guxihushi,jishifuzaicedianyadiyudangshidejichuandianya
,也可能導致間隙重新被擊穿,使角頻率為
的震蕩繼續下去,直到其電壓峰值低於
時(shi),觸(chu)點(dian)間(jian)電(dian)弧(hu)才(cai)完(wan)全(quan)熄(xi)滅(mie)。電(dian)弧(hu)熄(xi)滅(mie)後(hou),負(fu)載(zai)側(ce)電(dian)壓(ya)將(jiang)繼(ji)續(xu)按(an)上(shang)述(shu)規(gui)律(lv)震(zhen)蕩(dang)升(sheng)高(gao),當(dang)其(qi)達(da)到(dao)新(xin)的(de)更(geng)高(gao)的(de)一(yi)個(ge)擊(ji)穿(chuan)電(dian)壓(ya)值(zhi)時(shi),間(jian)隙(xi)再(zai)次(ci)被(bei)擊(ji)穿(chuan),又(you)重(zhong)複(fu)上(shang)述(shu)的(de)角(jiao)頻(pin)率(lv)為(wei)
的震蕩過程,形成所謂的開閉串。
特別推薦
- 噪聲中提取真值!瑞盟科技推出MSA2240電流檢測芯片賦能多元高端測量場景
- 10MHz高頻運行!氮矽科技發布集成驅動GaN芯片,助力電源能效再攀新高
- 失真度僅0.002%!力芯微推出超低內阻、超低失真4PST模擬開關
- 一“芯”雙電!聖邦微電子發布雙輸出電源芯片,簡化AFE與音頻設計
- 一機適配萬端:金升陽推出1200W可編程電源,賦能高端裝備製造
技術文章更多>>
- 築基AI4S:摩爾線程全功能GPU加速中國生命科學自主生態
- 一秒檢測,成本降至萬分之一,光引科技把幾十萬的台式光譜儀“搬”到了手腕上
- AI服務器電源機櫃Power Rack HVDC MW級測試方案
- 突破工藝邊界,奎芯科技LPDDR5X IP矽驗證通過,速率達9600Mbps
- 通過直接、準確、自動測量超低範圍的氯殘留來推動反滲透膜保護
技術白皮書下載更多>>
- 車規與基於V2X的車輛協同主動避撞技術展望
- 數字隔離助力新能源汽車安全隔離的新挑戰
- 汽車模塊拋負載的解決方案
- 車用連接器的安全創新應用
- Melexis Actuators Business Unit
- Position / Current Sensors - Triaxis Hall
熱門搜索
微波功率管
微波開關
微波連接器
微波器件
微波三極管
微波振蕩器
微電機
微調電容
微動開關
微蜂窩
位置傳感器
溫度保險絲
溫度傳感器
溫控開關
溫控可控矽
聞泰
穩壓電源
穩壓二極管
穩壓管
無焊端子
無線充電
無線監控
無源濾波器
五金工具
物聯網
顯示模塊
顯微鏡結構
線圈
線繞電位器
線繞電阻



