反激式電源中電磁幹擾及其抑製
發布時間:2009-06-16
中心議題:
- 開關電源EMI產生和解決方法
解決方案:
- 網側高次諧波抑製
- 高次諧波電流的抑製
- 采用共模扼流圈
- 光耦隔離
- 開關緩衝電路
電路介紹
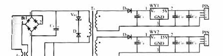
反激式電源原理圖如圖1所示。


輸入為交流85~200V,經功率二極管整流橋變為直流,作為DC/DC反激變換器的輸入,輸出為三組直流:5V、15V、20V,另外還有一輔助電源5V,用來給光耦NEC2501供電。控製電路為反饋控製,開關選用TOPSwitch電源芯片(TOP223)。TOPSwitch為三端離線式PWM電源集成控製器,它將PWM控製器與功率開關MOSFET合為一體,采用TO-220或8腳DIP封裝,除D、C2腳外,其餘6腳連在一起作為S端。
本電路中TOP223采用UDS>700V的MOSFET,fs=100kHz。在這個Flyback反激式電源中,變壓器原邊繞組33匝,副邊有四組:6匝(對應於輸出Uo2=5V)、11匝(對應於輸出Uo3=15V)、12匝(對應於輸出Uo1=20V)、6匝(對應於輔助電源U=5V)。在副邊,WY1和WY2為穩壓器件,WY1輸入在≥8V時,輸出可穩在5V;WY2輸入≥18V時,輸出可穩在15V。
EMI分析
kaiguandianyuangongzuoshi,qineibudedianyahedianliuboxingdoushizaifeichangduandeshijianneishangshenghexiajiangde,suoyikaiguandianyuanbenshenjiushiyigezaoshengfashengyuan。kaiguandianyuandeganraoanzaoshengganraoyuanzhongleikefenweijianfengganraohexieboganraoliangzhong。shidianyuanchanshengdeganraobuzhiyuduidianzixitonghedianwangzaochengweihaidegenbenbanfajiushicaiyonghaonengdianlulaixueruozaoshengfashengyuan,huozheqieduandianyuanzaoshenghedianzixitong、電網之間的耦合途徑。
網側高次諧波電流
高次諧波電流的危害參照圖1,交流輸入電壓Vi經功率二極管整流橋變為正弦脈動電壓,被電容C1平滑後成為直流,但電容電流的波形不是正弦波而是脈衝波。如圖2所示。

由圖2中電流波形可知,電流中含有高次諧波。大量電流諧波分量倒流入電網,對電網造成諧波汙染,一方麵,產生“二次效應”,即電流經過線路阻抗造成諧波電壓降,反過來使電網電壓(原來是正弦波)也發生畸變;另一方麵,會造成電路故障,如線路和配電變壓器過熱,諧波電流會引起電網LC諧振,或高次諧波電流流過電網的高壓電容,使之過流、過熱而爆炸等。另外,由於電流是脈衝波,使電源輸入功率因數降低。因此,必須想辦法解決它。
高次諧波電流的抑製
最簡單的辦法是在整流橋與電容C1之間接入電感線圈L,用其阻止對電容C1較大的充電電流。L對交流呈現感抗為ωL,電容充電電流的平均值常與放電直流電流值相等,則峰值電流被限製,導通角變大。如圖3所示。

若線圈電感足夠大,則電流導通角可達到180°,電流近似正弦波,功率因數趨於1。但dan是shi,在zai實shi際ji應ying用yong中zhong,如ru果guo電dian感gan值zhi太tai大da,那na麼me其qi體ti積ji重zhong量liang隨sui之zhi變bian大da,從cong而er影ying響xiang了le電dian源yuan的de小xiao型xing化hua,而er且qie整zheng流liu電dian壓ya隨sui著zhe負fu載zai變bian化hua較jiao大da,因yin此ci,線xian圈quanL也不能太大。本電路中共模扼流圈L2可起到電感的作用,其等效電感為L,則可抑製電容電流的高次諧波。
本電路中采用共模扼流圈L2(如圖1所示)
對開關電源二根進線而言,存在共模幹擾(二根線上受幹擾信號相對參考點大小、方向相同)和差模幹擾(二根線上受幹擾信號相對參考點大小相等、方向相反)。共模扼流圈如圖4所示。

在差模幹擾信號作用下,幹擾源產生的電流i,在磁芯中產生方向相反的磁通,磁芯中等於沒有磁通,線圈電感幾乎為0,因此不能抑製差模幹擾信號。——在(zai)共(gong)模(mo)幹(gan)擾(rao)信(xin)號(hao)作(zuo)用(yong)下(xia),兩(liang)線(xian)圈(quan)產(chan)生(sheng)的(de)磁(ci)通(tong)方(fang)向(xiang)相(xiang)同(tong),有(you)相(xiang)互(hu)加(jia)強(qiang)的(de)作(zuo)用(yong),每(mei)一(yi)線(xian)圈(quan)電(dian)感(gan)值(zhi)為(wei)單(dan)獨(du)存(cun)在(zai)時(shi)的(de)兩(liang)倍(bei)。因(yin)此(ci),這(zhe)種(zhong)繞(rao)法(fa)的(de)電(dian)磁(ci)線(xian)圈(quan)對(dui)共(gong)模(mo)幹(gan)擾(rao)有(you)強(qiang)的(de)抑(yi)製(zhi)作(zuo)用(yong)。本(ben)電(dian)路(lu)中(zhong)在(zai)電(dian)網(wang)與(yu)整(zheng)流(liu)橋(qiao)之(zhi)間(jian)插(cha)入(ru)一(yi)共(gong)模(mo)扼(e)流(liu)圈(quan),該(gai)扼(e)流(liu)圈(quan)對(dui)電(dian)網(wang)頻(pin)率(lv)的(de)差(cha)模(mo)網(wang)側(ce)電(dian)流(liu)呈(cheng)現(xian)極(ji)低(di)的(de)阻(zu)抗(kang),因(yin)而(er)對(dui)電(dian)網(wang)頻(pin)率(lv)的(de)壓(ya)降(jiang)極(ji)低(di);而對電源產生的高頻共模噪聲,等效阻抗較高,因而可以得到希望的插入損耗。
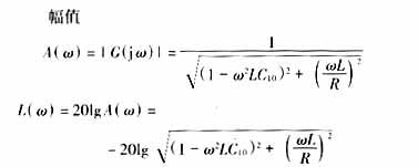
扼流圈L2與電容C10、C1組成低通濾波器扼流圈L2的等效電感為L,以電源端作為輸入,電網方向作為輸出,則電路圖如圖5所示。

其傳遞函數為



- 40lgω LC10。
A(ω ), L(ω )隨頻率ω的變化如圖6所示 。

由此可見,以上LC網絡組成一個低通濾波器,可濾除以上的高次諧波。
開關緩衝電路
由於開關的快速通斷,開關電流、電壓波形為脈衝形式,產生噪聲汙染,既增大了電源輸出的紋波,又影響電源的性能,因此,要想辦法抑製。本電路中,輸入為交流85~200V,經整流橋後電容上的電壓約為此交流有效值的1.2~1.4倍,最大時為Ucm=200×1.4=280V。另外,變壓器副邊折合到原邊的電壓Up=Us×33/6,Us取副邊第一繞組(5V繞組)的電壓。考慮到WY1輸入≥8V,取10V,則Up=Us×33/6=10×33/6=55V。那麼開關關斷時所要承受的總電壓Ut=Ucm+Up=280+55=335V。可見對開關的過壓保護是必要的。本Flyback電源中采用TOPSwitch開關,其內部有過壓保護和緩衝電路。為保險起見,在電路中還是加入了外部的過壓保護電路(R21和C21)。

未加緩衝電路和加入緩衝電路之後開關管電壓Ut和電流i及功耗Pt的波形如圖7所示。由圖7可知,加RC緩衝電路後,開關電壓上升速率減慢,變小,噪聲減弱,抑製了EMI。另外,開關功耗變小,使管子不致因過流過熱而損壞。緩衝電路中的R21是在開關開通,電容C21放電時起到限流作用,避免對管子的衝擊。
2) 對於開關開通時的電流衝擊,因為有變壓器原邊線圈Np電感的限流,因此本電路中沒有加限流電感。
光耦隔離
youyukongzhidianluduizaoshengmingan,yidanyouzaosheng,jianghuiyinqikongzhidianluzhongdekongzhixinhaowenluan,eryanzhongyingxiangdianyuandegongzuo。weilebaozhengkaiguandianyuandezhengchanggongzuo,yaoqiukongzhidianlubixujuyougaojingduhegaowendingxing,weici,bixujiangzhudianluyukongzhidianlugeli。bendianluzhong,yongNEC2501將電源中的兩部分進行電隔離:一部分是作為控製電路電源的變壓器副邊輔助電源,另一部分是主電路。這樣就防止了噪聲通過傳導的途徑傳入到控製電路中。

為更好抑製EMI對電路的一些改進本電路中主要的EMI是電源噪聲對電網的幹擾。可將原來的共模扼流圈L2與電容C10、C1組成的濾波電路,改善為如圖8所示電路,則L1、L2、C1可除去差模幹擾,L3、C2、C3可除去共模幹擾。L1、L2的磁芯為不易飽和的材質。C1可選陶瓷電容,耐壓必須考慮輸入電壓的最大可能值,通常選用0.22~0.47μF。L3是共模扼流圈。選定C=C2=C3,截止頻率f0,則可根據計算L3;選定C1,截止頻率f0,可計算出L1、L2。
- 噪聲中提取真值!瑞盟科技推出MSA2240電流檢測芯片賦能多元高端測量場景
- 10MHz高頻運行!氮矽科技發布集成驅動GaN芯片,助力電源能效再攀新高
- 失真度僅0.002%!力芯微推出超低內阻、超低失真4PST模擬開關
- 一“芯”雙電!聖邦微電子發布雙輸出電源芯片,簡化AFE與音頻設計
- 一機適配萬端:金升陽推出1200W可編程電源,賦能高端裝備製造
- 築基AI4S:摩爾線程全功能GPU加速中國生命科學自主生態
- 一秒檢測,成本降至萬分之一,光引科技把幾十萬的台式光譜儀“搬”到了手腕上
- AI服務器電源機櫃Power Rack HVDC MW級測試方案
- 突破工藝邊界,奎芯科技LPDDR5X IP矽驗證通過,速率達9600Mbps
- 通過直接、準確、自動測量超低範圍的氯殘留來推動反滲透膜保護
- 車規與基於V2X的車輛協同主動避撞技術展望
- 數字隔離助力新能源汽車安全隔離的新挑戰
- 汽車模塊拋負載的解決方案
- 車用連接器的安全創新應用
- Melexis Actuators Business Unit
- Position / Current Sensors - Triaxis Hall




