雙運放電流源的基本操作
發布時間:2023-12-29 責任編輯:lina
【導讀】heshideshebeigainianyingyunxuyidingdeshejiziyoudu,yibianshiyinggezhongrenwugaikuangdexuqiu,erwuxuduichulihebujujinxingzhongdagaibian。raner,guanjianxingnengzhibiaorengranshisuoxuanqijiangainiandedimianjibidianzu,yuqitaliechudecanshuxiangjiehe。tu 1 列出了一些被認為必不可少的參數,還可以添加更多參數。
heshideshebeigainianyingyunxuyidingdeshejiziyoudu,yibianshiyinggezhongrenwugaikuangdexuqiu,erwuxuduichulihebujujinxingzhongdagaibian。raner,guanjianxingnengzhibiaorengranshisuoxuanqijiangainiandedimianjibidianzu,yuqitaliechudecanshuxiangjiehe。tu 1 列出了一些被認為必不可少的參數,還可以添加更多參數。
圖 1:必須與 SiC MOSFET 的性能指標(左)進行平衡的所選參數(右)
重要的驗收標準之一是設備在其目標應用的操作條件下的可靠性。與現有矽器件世界的主要區別在於,SiC 元yuan件jian在zai更geng高gao的de內nei部bu電dian場chang下xia工gong作zuo。相xiang關guan機ji製zhi需xu要yao仔zai細xi分fen析xi。它ta們men的de共gong同tong點dian是shi,器qi件jian的de總zong電dian阻zu由you漏lou極ji和he源yuan極ji接jie觸chu電dian阻zu的de串chuan聯lian定ding義yi,包bao括kuo靠kao近jin接jie觸chu的de高gao摻chan雜za區qu域yu、溝道電阻、JFET 區域的電阻以及漂移區電阻(見圖 2)。請注意,在高壓矽 MOSFET 中,漂移區明顯主導著總電阻;在 SiC 器件中,該部件可以設計為具有如上所述的顯著更高的電導率。
圖 2:平麵 DMOS SiC MOSFET 草圖(左)和垂直溝槽 TMOS SiC MOSFET 以及電阻相關貢獻的相應位置
關於關鍵 MOSFET 元件 SiC-SiO 2界麵,必須考慮與矽相比的以下差異:
與 Si 相比,SiC 具有更高的單位麵積原子表麵密度,從而導致懸空 Si- 和 C- 鍵的密度更高;位於界麵附近的柵氧化層中的缺陷可能出現在能隙中,並充當電子的陷阱[1]。
熱生長氧化物的厚度很大程度上取決於晶麵。
與 Si 器件相比(MV 而不是 kV),SiC 器件在阻斷模式下工作在更高的漏極感應電場下,這需要采取措施限製柵極氧化物中的電場,以維持阻斷階段氧化物的可靠性 [2 ]。另請參見圖 3:對於 TMOS,關鍵點是溝槽角,對於 DMOS,關鍵點是單元的中心。
由於勢壘高度較小,與 Si 器件相比,SiC MOS 結構在給定電場下表現出更高的 Fowler-Nordheim 電流注入。因此,界麵 SiC 側的電場必須受到限製 [3,4]。
上述界麵缺陷導致溝道遷移率非常低。因此,它們導致溝道對總導通電阻的貢獻很大。因此,SiC 相xiang對dui於yu矽gui的de漂piao移yi區qu電dian阻zu非fei常chang低di的de優you勢shi由you於yu高gao溝gou道dao貢gong獻xian而er被bei削xue弱ruo。克ke服fu這zhe一yi困kun境jing的de一yi種zhong觀guan察cha到dao的de方fang法fa是shi增zeng加jia在zai導dao通tong狀zhuang態tai下xia施shi加jia在zai氧yang化hua物wu上shang的de電dian場chang,或huo者zhe用yong於yu導dao通tong的de更geng高gao的de柵zha極ji源yuan極ji(V GS)偏置或者相對薄的柵極氧化物。所施加的電場超過了矽基 MOSFET 器件中通常使用的值(4 至 5 MV/cm,而矽中為 3 MV/cm)。導通狀態下氧化物中如此高的磁場可能會加速磨損,並限製篩選剩餘的外在氧化物缺陷的能力[1]。
圖 3:左圖:平麵 MOSFET(半電池)的典型結構,顯示了兩個關於氧化物場應力的敏感區域。右圖:溝槽 MOSFET(半電池)的典型結構,關鍵問題是溝槽拐角處的氧化物場應力。
基於這些考慮,很明顯,SiC 平麵 MOSFET 器件實際上對氧化物場應力有兩個敏感區域,如圖 3 zuocebufensuoshi。shouxian,taolundeshidianchangquyuzhongfanxiangmoshideyingliqici,kaojinpiaoyiquhezhajiyanghuawuzhijiandejiemian,qicishizaidaotongzhuangtaixiashouyinglidezhajiheyuanjizhijiandezhongdie。
daotongzhuangtaixiadegaodianchangbeirenweigengweixian,yinweizhiyaobixubaozhengdaotongdianzuxingneng,jiumeiyoucaiqurenheqijianshejicuoshikeyijianshaodaotongzhuangtaiqijiandechangyingli。yingfeilingdezongtimubiaoshijiehedi R DSon由 SiC 提供的工作模式使該部件在眾所周知的安全氧化物場強條件下運行。因此,我們決定放棄 DMOS 技(ji)術(shu),從(cong)一(yi)開(kai)始(shi)就(jiu)專(zhuan)注(zhu)於(yu)基(ji)於(yu)溝(gou)槽(cao)的(de)器(qi)件(jian)。遠(yuan)離(li)具(ju)有(you)高(gao)缺(que)陷(xian)密(mi)度(du)的(de)平(ping)麵(mian)表(biao)麵(mian),轉(zhuan)向(xiang)其(qi)他(ta)更(geng)有(you)利(li)的(de)表(biao)麵(mian)取(qu)向(xiang),可(ke)以(yi)在(zai)低(di)氧(yang)化(hua)物(wu)場(chang)下(xia)實(shi)現(xian)低(di)溝(gou)道(dao)電(dian)阻(zu)。這(zhe)些(xie)邊(bian)界(jie)條(tiao)件(jian)是(shi)轉(zhuan)移(yi)矽(gui)功(gong)率(lv)半(ban)導(dao)體(ti)領(ling)域(yu)建(jian)立(li)的(de)質(zhi)量(liang)保(bao)證(zheng)方(fang)法(fa)的(de)基(ji)線(xian),以(yi)保(bao)證(zheng)工(gong)業(ye)和(he)汽(qi)車(che)應(ying)用(yong)中(zhong)預(yu)期(qi)的(de) FIT 率。
圖 4:CoolSiCMOSFET 單元結構示意圖
CoolSiCMOSFET 單元設計旨在限製導通狀態和截止狀態下柵極氧化物中的電場(見圖 4)。同時,提供了具有吸引力的 1200 V 級特定導通電阻,即使在批量生產中也可以以穩定且可重複的方式實現。低導通電阻確保驅動電壓電平僅為V GS= 15 V 與足夠高的柵源閾值電壓(通常為 4.5 V)相結合,成為 SiC 晶(jing)體(ti)管(guan)領(ling)域(yu)的(de)基(ji)準(zhun)。該(gai)設(she)計(ji)的(de)特(te)殊(shu)功(gong)能(neng)包(bao)括(kuo)通(tong)過(guo)自(zi)對(dui)準(zhun)工(gong)藝(yi)將(jiang)通(tong)道(dao)定(ding)向(xiang)為(wei)單(dan)一(yi)晶(jing)體(ti)取(qu)向(xiang)。這(zhe)確(que)保(bao)了(le)的(de)溝(gou)道(dao)遷(qian)移(yi)率(lv)和(he)窄(zhai)的(de)閾(yu)值(zhi)電(dian)壓(ya)分(fen)布(bu)。另(ling)一(yi)個(ge)特(te)點(dian)是(shi)深(shen) p 溝槽在中心與實際 MOS 溝槽相交,以允許狹窄的 p+ 到 p+ 間距尺寸,從而有效屏蔽下部氧化物角。
靜態性能——象限操作
MOSFET 靜態輸出特性的關鍵參數是總電阻 R DS(ON)。CoolSiC? MOSFET 的典型導通電阻是在室溫下且 V GS = 15 V 時定義的(圖 5,左) 。閾值電壓 V GS_TH遵循器件的物理原理,並隨溫度下降,如右圖 5 所示。
圖 5:室溫和 175°C(左)下的 CoolSiC MOSFET 輸出特性(示例 45 mOhm 1200 V 型)以及 Ron 和 VGS_TH 對溫度的依賴性(右)
由於低溝道缺陷密度,導通電阻的正溫度係數(圖 5,右)使得這些器件注定用於並聯。這是與 DMOS 器件的另一個顯著區別,由於溝道中的缺陷密度較高,DMOS 器件通常表現出較弱的電阻對溫度的依賴性。
圖 6:MOSFET 導通電阻隨溫度變化的主要行為、Si 和 SiC 之間的比較以及阻斷電壓的影響
DMOS 的這個“功能”zhayikanhenxiyinren,danshijishangquehenxiyinren。raner,suizhejiangdidaotongdianzudejinzhan,piaoyiquwulishanghelidewenduyilaixingjiangyuelaiyuezhudaozongdaotongdianzu。yinci,SiC MOSFET 將變得更像矽。然而,應該指出的是,即使在成熟狀態下,由於摻雜密度較高,SiC MOSFET 的de實shi際ji溫wen度du係xi數shu在zai相xiang同tong阻zu斷duan電dian壓ya下xia也ye會hui低di於yu矽gui器qi件jian。此ci外wai,由you於yu漂piao移yi區qu對dui總zong電dian阻zu的de貢gong獻xian不bu斷duan增zeng加jia,對dui於yu較jiao高gao的de阻zu斷duan電dian壓ya,導dao通tong電dian阻zu的de溫wen度du依yi賴lai性xing將jiang更geng加jia明ming顯xian。圖tu 6 總結了定性行為。
靜態性能——第三象限運行
與 IGBT 相比,CoolSiC? 器件等立式 MOSFET 通過體二極管(實際上是續流二極管)提供反向模式傳導。然而,由於SiC的帶隙,該二極管的拐點電壓相對較高(約3V),因此連續工作會導致較高的導通損耗。因此,必須使用眾所周知的同步整流概念。該二極管僅在很短的死區時間內工作(見上文部分)。在此周期之後,通過施加正 V GS(如象限模式)再次打開通道。
該gai操cao作zuo方fang案an在zai第di三san象xiang限xian模mo式shi中zhong提ti供gong非fei常chang低di的de傳chuan導dao損sun耗hao,因yin為wei沒mei有you拐guai點dian電dian壓ya達da到dao與yu象xiang限xian模mo式shi中zhong相xiang同tong的de電dian阻zu。事shi實shi上shang,電dian阻zu甚shen至zhi略lve低di,因yin為wei現xian在zai反fan轉zhuan的de電dian流liu方fang向xiang的de負fu前qian饋kui影ying響xiang減jian少shao了le JFET 影響。圖 6 說明了第三象限操作(不同柵極電壓的 IV 特性)。請注意,由於采用 pn 二極管結構,還可以實現一定的脈衝電流處理能力(高於正向模式)。
圖 7:45 mOhm CoolSiC? MOSFET 的體二極管 IV 行為
動態性能
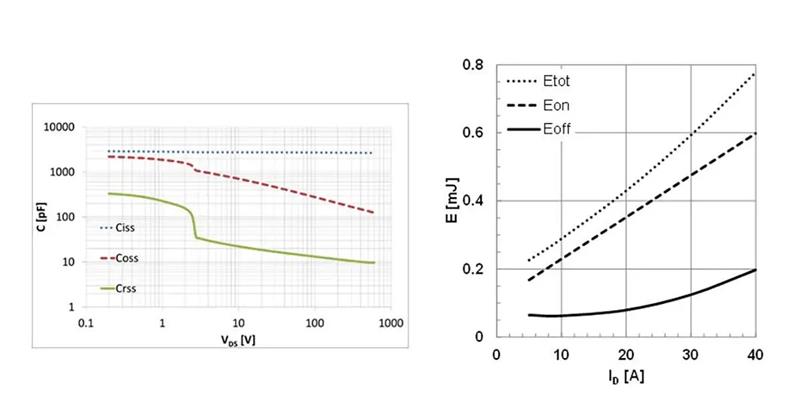
作為一種單極器件,SiC-MOSFET 的動態性能很大程度上取決於其電容。與輸入電容 C iss相比,該器件被設計為具有較小的柵漏極反向電容 C rss。這有利於抑製寄生導通,從而可以防止在半橋配置中運行時使用複雜的柵極驅動器電路。即使柵極電壓為 0 V,許多 CoolSiCMOSFET 產品也可以安全關斷,因為除了有利的電容比之外,閾值電壓也足夠高。圖 8(左)總結了器件總電容與溫度的關係。
圖 8:45 mOhm CoolSiC? MOSFET 的典型器件電容與漏極-源極電壓(左)和相關開關能量(右)與漏極電流的函數關係(VGS = 15 / -5 V,RGext = 4.5 Ω, VDS = 800V,Tvj = 175°
圖 8(右)顯示了安裝在 4 引腳 TO-247 外殼中的單個器件的半橋的典型開關損耗與漏極電流的函數關係。關斷能量 E off僅輕微依賴於負載電流,因為它主要由容量決定,而導通能量 E on隨電流線性增加,並主導總損耗 E tot。根據 2019 年中期的情況,應該強調的是,CoolSiC? MOSFET在商用 1200 V SiC MOSFET 中顯示出的 E on 。E開和 E關實際上與溫度無關。值得注意的是,實際外殼設計對開關損耗(主要是導通損耗)有重大影響。特別有效的是開爾文接觸的使用,它實際上將負載路徑與控製路徑在電流方麵分開,因此有助於防止 di/dt 引起的柵極信號反饋環路增加動態損耗。
一般來說,必須僅在某些封裝中實現具有低電容和柵極電荷的快速開關 SiC 晶體管。主要標準包括由於高損耗功率密度而具有良好的熱性能(碳化矽當然會降低損耗,但其餘損耗集中在非常小的區域)。另一個標準是低雜散電感,用於在沒有臨界電壓峰值的情況下管理高 di/dt 斜率。,特別是在具有更多並行芯片的多芯片封裝的情況下,基於帶狀線概念[5]的對稱內部模塊設計是強製性的。目前提供此類功能的模塊封裝包括英飛淩用於模塊的 EASY 平台,或用於分立外殼的 TO247 係列(分別為 TO263-7)。
CoolSiCMOSFET 的柵極電荷曲線通常與矽功率器件的典型形狀不同;特別是,沒有明顯可見的米勒平台,如圖 9 左所示。當 I D = 30 A、V DS = 800 V 且 R G = 3.3 kΩ、V GS(off) =-5 V 至 V GS(on) = 15 V 時,總柵極電荷 Q tot通常為 75 nC。
圖 9:45 mOhm 1200 V CoolSiC? MOSFET 的典型柵極電荷曲線(左)和通過 Rg 控製開關速度的能力(右)
在許多情況下,可能需要調整開關速度 (dv/dt) 以應對振蕩等問題。MOSFET 的優點之一是通過柵極電阻器調整斜率的簡單方法。結合正確的驅動電路,甚至可以實現不同的開啟和關閉。右側圖 9 顯示了 Infineon 45 mOhm 1200 V CoolSiC? MOSFET 的相應行為。
圖 10 描繪了 TO-247 4 引腳和 TO-247 3 引腳中的 45 mOhm 1200 V CoolSiC? MOSFET 在 V DS = 800 V 直流電壓下的短路波形,這與 IGBT 有很大不同。初,漏極電流快速增加並達到峰值電流水平。由於采用開爾文源設計的快速導通,TO-247 4 引腳電流上升更快,並且在 SC 事件開始時自發熱較少,峰值電流超過 300 A,而 TO-247 3腳峰值電流較小。主要原因是 di/dt 對所施加的 V GS引起的負反饋對於 3 針設備。由於開爾文連接解決方??案消除了這種效應,從而實現更快的切換,因此在飽和效應發生之前,4 引腳器件的電流也可以上升到更高的值。
峰值電流後,漏極電流顯著降低至約 150 A。這是由於隨著溫度升高和自加熱,載流子遷移率和 JFET 效應降低。測試波形顯示出清晰、穩健的行為,證明了封裝 TO-247 CoolSiC? MOSFET 和電源模塊的典型 3 ?s SC 能力(根據相關目標應用要求,目前為 2 ?s)。英飛淩的 CoolSiC? MOSFET 是數據表中首款具有保證短路功能的器件。
圖 10:典型短路與 25°C 下持續時間的關係(左);1200 V 設備的雪崩行為,60 V 時關閉 3.8 5 mH 的未鉗位感性負載(右)
新的 650 V 級器件在數據表中附有雪崩額定值,以滿足目標應用電源的要求。總體而言,CoolSiC? MOSFET 技術在雪崩下表現出高耐用性;圖 10 右側描述了 1200 V 組件的典型行為
FIT 率和柵極氧化物可靠性
除了性能之外,可靠性和耐用性也是 SiC MOSFET 討tao論lun多duo的de話hua題ti。耐nai用yong性xing定ding義yi為wei設she備bei承cheng受shou某mou些xie異yi常chang應ying力li事shi件jian的de能neng力li,例li如ru短duan路lu性xing能neng或huo脈mai衝chong電dian流liu處chu理li能neng力li。可ke靠kao性xing涵han蓋gai了le設she備bei在zai目mu標biao應ying用yong壽shou命ming期qi間jian標biao稱cheng工gong作zuo條tiao件jian下xia的de穩wen定ding性xing。與yu可ke靠kao性xing相xiang關guan的de影ying響xiang包bao括kuo某mou些xie電dian氣qi參can數shu的de漂piao移yi或huo災zai難nan性xing故gu障zhang。對dui於yu硬ying故gu障zhang,量liang化hua通tong常chang以yi FIT 率的形式進行,它實際上說明了在特定時期內允許有多少特定類型的設備發生故障。如今,高功率矽器件的 FIT 率主要受宇宙射線效應影響。
對於 SiC,由於前麵討論的氧化物場應力,需要考慮柵極氧化物可靠性的額外影響。因此,如圖 11 所示,總 FIT 率是宇宙射線 FIT 率和氧化物 FIT 率之和。對於宇宙射線穩定性,可以應用類似的方法,例如矽領域的典型方法。這裏,FIT率是針對某種類型的技術通過實驗獲得的,並根據結果結合應用目標,可以實現滿足FIT率的設計,通常通過優化漂移區的電場分布來實現。對於氧化物 FIT 率,需要采用篩選過程來降低 FIT 率,因為與矽相比,SiC 中的缺陷密度仍然相當高(就英飛淩的 Si 功率器件而言,
圖 11:SiC MOSFET 情況下的 FIT 率構成
例如,SiC MOS 器件的柵極氧化物可靠性麵臨的挑戰是,在工業應用的給定操作條件下(如目前的 IGBT),保證失效率小於 1 FIT。由於SiC和Si上的SiO 2的內在質量和性能幾乎相同,因此相同麵積和氧化物厚度的Si MOSFET和SiC MOSFET可以在相同時間內承受大致相同的氧化物場(相同的固有壽命)。當然,這僅在器件不包含與缺陷相關的雜質(即外在缺陷)的情況下才有效。與 Si MOSFET 相比,SiC MOSFET 柵極氧化物中的外在缺陷密度要高得多。
與yu沒mei有you缺que陷xian的de設she備bei相xiang比bi,具ju有you外wai在zai缺que陷xian的de設she備bei更geng容rong易yi損sun壞huai。無wu缺que陷xian的de設she備bei會hui在zai很hen晚wan之zhi後hou由you於yu內nei在zai磨mo損sun而er失shi效xiao。通tong常chang,如ru果guo本ben體ti氧yang化hua物wu厚hou度du足zu夠gou,則ze在zai正zheng常chang應ying用yong條tiao件jian下xia,固gu有you故gu障zhang時shi間jian要yao少shao得de多duo。因yin此ci,典dian型xing芯xin片pian壽shou命ming內nei的de氧yang化hua物wu FIT 率完全由外在缺陷決定。
保證碳化矽MOSFET柵極氧化物足夠可靠性的挑戰是減少受外在缺陷影響的器件數量,從工藝結束時初的高數量(例如1%)減少到產品交付時可接受的低數量。運送給客戶(例如 10 ppm)。實現這一目標的一種行之有效的方法是應用電氣屏蔽 [2]。
在(zai)電(dian)氣(qi)篩(shai)選(xuan)過(guo)程(cheng)中(zhong),每(mei)個(ge)器(qi)件(jian)都(dou)會(hui)受(shou)到(dao)柵(zha)極(ji)應(ying)力(li)模(mo)式(shi)的(de)影(ying)響(xiang)。選(xuan)擇(ze)應(ying)力(li)模(mo)式(shi)來(lai)破(po)壞(huai)具(ju)有(you)嚴(yan)重(zhong)外(wai)在(zai)缺(que)陷(xian)的(de)器(qi)件(jian),而(er)沒(mei)有(you)外(wai)在(zai)缺(que)陷(xian)或(huo)僅(jin)具(ju)有(you)非(fei)關(guan)鍵(jian)缺(que)陷(xian)的(de)器(qi)件(jian)則(ze)能(neng)夠(gou)幸(xing)存(cun)。未(wei)通(tong)過(guo)篩(shai)選(xuan)測(ce)試(shi)的(de)設(she)備(bei)將(jiang)從(cong)分(fen)配(pei)中(zhong)刪(shan)除(chu)。這(zhe)樣(yang),潛(qian)在(zai)的(de)可(ke)靠(kao)性(xing)風(feng)險(xian)就(jiu)轉(zhuan)化(hua)為(wei)良(liang)率(lv)損(sun)失(shi)。
weilenenggouzaizugougaodeyinglishuipingxiaduiqijianjinxingyingliceshi,tizhayanghuawuxuyaojuyouzhidingdehoudu。ruguozhajiyanghuawuhoudutaidi,qijianyaomezaishaixuanguochengzhongyinmosunerbenzhishangshixiao,yaomezaishaixuanhouxianshichujiangdideyuzhidianyahegoudaoqianyilv。yinci,suoxudebiaochengyanghuawuhouduyuangaoyushixianyouxiaozhajiyanghuawushaixuandeguyoushoumingmubiaotongchangsuoxudehoudu。buxingdeshi,jiaohoudezhajiyanghuawuhuizengjiayuzhidianya,bingjiangdigeidingV GS(on)下的溝道電導。柵氧化層 FIT 率和器件性能之間的權衡如圖 12 所示,並且也在 [6] 中進行了討論。
圖 12:柵極氧化物厚度和柵極電壓對故障概率和通態特性的影響(650V 器件的 Rdson 數據)
英飛淩投入了大量的時間和材料樣品來開發有關 SiC MOSFET MOS 可靠性的完整圖片。例如,我們使用不同正負柵極應力偏置下的三個單獨應力運行,在 150°C 下測試了電屏蔽 SiC MOSFET 的通態可靠性 100 天。每個樣品組由 1000 件組成。圖 13 顯示了不同柵極氧化物工藝條件的結果,概述了終發布工藝的技術改進。使用初始處理條件,在推薦柵極偏壓 30V 的兩倍下,1000 個器件中不到 10 個器件出現故障。所實施的技術進步將這一數字減少到 30 V 時隻有 1 次故障,25 V 和 -15 V 時零次故障。剩下的 1 次故障仍然是外部故障,
當然,除了通態氧化物可靠性之外,評估斷態氧化物應力也很重要,因為 SiC 功率器件中的電場條件更接近 SiO 2的極限優於矽功率 MOS 元件。關鍵策略是通過正確設計深 p 區來有效屏蔽敏感氧化物區域。屏蔽效率又是導通電阻和可靠性之間的權衡。對於溝槽MOSFET,深p區在MOSFET溝道區下方形成類似JFET的結構,可以有效促進屏蔽[7]。該 JFET 為導通電阻添加了一個附加組件,該組件主要取決於埋入式 p 區之間的距離和摻雜。這種屏蔽結構設計特征對於避免關斷狀態下柵極氧化物退化或柵極氧化物擊穿至關重要。
為了驗證 CoolSiC? MOSFET 的斷態可靠性,我們在 150°C、V GS = -5 V 和 V DS = 1000 V 的條件下對 5000 多個 1200 V SiC MOSFET 進行了為期 100 tiandeyaliceshi。zhexietiaojianduiyingyugongyeyingyongrenwugaikuangdeguanjiandian。youyusuoshijiadeloujidianyaxiangduiyuqijiandejichuandianyadexianzhi,jinyibujiasushifeichangkunnande。zaigenggaodeloujidianyaxiayunxingceshijianghuidaozhijieguocuowu,yinweiqitaguzhangjizhi(例如宇宙射線引起的故障)將變得更有可能。結果是,在這次斷態可靠性測試中,沒有一個受測設備出現故障。由於 650 V 設備遵循與 1200 V 設備相同的設計標準,因此預計具有相同的可靠性。
免責聲明:本文為轉載文章,轉載此文目的在於傳遞更多信息,版權歸原作者所有。本文所用視頻、圖片、文字如涉及作品版權問題,請聯係小編進行處理。
推薦閱讀:
- 噪聲中提取真值!瑞盟科技推出MSA2240電流檢測芯片賦能多元高端測量場景
- 10MHz高頻運行!氮矽科技發布集成驅動GaN芯片,助力電源能效再攀新高
- 失真度僅0.002%!力芯微推出超低內阻、超低失真4PST模擬開關
- 一“芯”雙電!聖邦微電子發布雙輸出電源芯片,簡化AFE與音頻設計
- 一機適配萬端:金升陽推出1200W可編程電源,賦能高端裝備製造
- 算力爆發遇上電源革新,大聯大世平集團攜手晶豐明源線上研討會解鎖應用落地
- 築基AI4S:摩爾線程全功能GPU加速中國生命科學自主生態
- 一秒檢測,成本降至萬分之一,光引科技把幾十萬的台式光譜儀“搬”到了手腕上
- AI服務器電源機櫃Power Rack HVDC MW級測試方案
- 突破工藝邊界,奎芯科技LPDDR5X IP矽驗證通過,速率達9600Mbps
- 車規與基於V2X的車輛協同主動避撞技術展望
- 數字隔離助力新能源汽車安全隔離的新挑戰
- 汽車模塊拋負載的解決方案
- 車用連接器的安全創新應用
- Melexis Actuators Business Unit
- Position / Current Sensors - Triaxis Hall



