橋感應加熱主電路拓撲結構及控製原理
發布時間:2022-10-12 責任編輯:lina
【導讀】本文所述中頻感應加熱電源采用交—直—交的變頻原理,三相50Hz的正弦交流輸入電壓經過整流濾波為540V平ping滑hua直zhi流liu電dian壓ya,再zai經jing逆ni變bian器qi將jiang直zhi流liu電dian壓ya變bian成cheng不bu同tong頻pin率lv的de交jiao流liu電dian壓ya供gong負fu載zai使shi用yong。本ben文wen采cai用yong半ban橋qiao串chuan聯lian諧xie振zhen逆ni變bian結jie構gou,與yu全quan橋qiao串chuan聯lian諧xie振zhen相xiang比bi,簡jian單dan可ke靠kao。
1 橋感應加熱主電路拓撲結構及控製原理
1.1 主電路拓撲
本文所述中頻感應加熱電源采用交—直—交的變頻原理,三相50Hz的正弦交流輸入電壓經過整流濾波為540V平ping滑hua直zhi流liu電dian壓ya,再zai經jing逆ni變bian器qi將jiang直zhi流liu電dian壓ya變bian成cheng不bu同tong頻pin率lv的de交jiao流liu電dian壓ya供gong負fu載zai使shi用yong。本ben文wen采cai用yong半ban橋qiao串chuan聯lian諧xie振zhen逆ni變bian結jie構gou,與yu全quan橋qiao串chuan聯lian諧xie振zhen相xiang比bi,簡jian單dan可ke靠kao。
半橋感應加熱電源為串聯諧振型逆變電源,其主電路結構如圖1所示。輸入采用三相AC/DC不可控整流,輸出采用半橋逆變電路,負載回路采用LC串聯諧振電路。
圖1中,C1、C2是高頻無感電容,R1、R2是均壓電阻,保證C1、C2兩端電壓相等。當功率管VT1導通時,VT1、L、R、C2與直流母線構成回路,L與C2發生串聯諧振,電流方向如圖所示;當功率管VT2導通時亦然,電流方向相反。通過控製電路輸出交替的驅動波形,驅動功率管VT1、VT2交替導通,在LC串聯負載兩端產生交流電壓,負載中流過交變電流,線圈L中鐵質工件在交變電流感應的交變磁場內產生渦流而發熱。
1.2控製原理
調頻調功(PFM)是通過改變開關頻率倆改變負載功率的控製方式,在LCR串聯諧振中,在負載等效參數R、L和C一定的情況下,串聯諧振的等效電路如圖2所示。
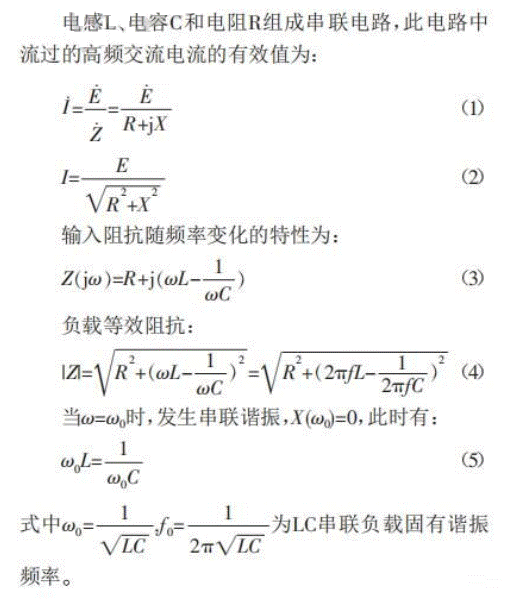
由式(4)可知,負載的等效阻抗隨著負載電流的頻率f變化,其變化曲線如圖3所示。當負載電壓一定時,負載的電流頻率越偏離負載諧振頻率f0,等效阻抗越大,輸出的功率越小。當f=f0時,負載等效阻抗,即|Z|=R,此時負載的功率;f》f0時,負載等效阻抗呈感性,且頻率越大感抗越大,輸出功率越小;f《f0時,負載等效阻抗呈容性,且頻率越小容抗越大,輸出功率越小。串聯諧振負載功率分布特性曲線如圖4所示
圖4shuomingtongguogaibianfuzaidianliupinlvjikegaibianchuanlianxiezhenfuzaihuilushuchugonglv。fashengchuanlianxiezhenshi,fuzaishuchugonglv,weilebimiangongzuodianhuaxiangrongxingxiezhenzhuangtai,daozhikaiguanqijianhuanliukaitongshizaochengjiaodadejianfengdianliuyijixuliuerjiguanfanxianghuifuyinqideqiaobizhitong,kongzhinibianqikaiguangongzuopinlvlvedayufuzaiguyouxiezhenpinlvf0,以保證加熱電源LRC負載回路工作在弱感性諧振狀態。
(來源:中電網)
免責聲明:本文為轉載文章,轉載此文目的在於傳遞更多信息,版權歸原作者所有。本文所用視頻、圖片、文字如涉及作品版權問題,請聯係小編進行處理。
推薦閱讀:
- 噪聲中提取真值!瑞盟科技推出MSA2240電流檢測芯片賦能多元高端測量場景
- 10MHz高頻運行!氮矽科技發布集成驅動GaN芯片,助力電源能效再攀新高
- 失真度僅0.002%!力芯微推出超低內阻、超低失真4PST模擬開關
- 一“芯”雙電!聖邦微電子發布雙輸出電源芯片,簡化AFE與音頻設計
- 一機適配萬端:金升陽推出1200W可編程電源,賦能高端裝備製造
- 算力爆發遇上電源革新,大聯大世平集團攜手晶豐明源線上研討會解鎖應用落地
- 築基AI4S:摩爾線程全功能GPU加速中國生命科學自主生態
- 一秒檢測,成本降至萬分之一,光引科技把幾十萬的台式光譜儀“搬”到了手腕上
- AI服務器電源機櫃Power Rack HVDC MW級測試方案
- 突破工藝邊界,奎芯科技LPDDR5X IP矽驗證通過,速率達9600Mbps
- 車規與基於V2X的車輛協同主動避撞技術展望
- 數字隔離助力新能源汽車安全隔離的新挑戰
- 汽車模塊拋負載的解決方案
- 車用連接器的安全創新應用
- Melexis Actuators Business Unit
- Position / Current Sensors - Triaxis Hall





