大功率電池供電設備逆變器板如何助力熱優化
發布時間:2021-12-22 來源:意法半導體 責任編輯:lina
【導讀】電池供電電機控製方案為設計人員帶來多項挑戰,例如,優化印刷電路板熱性能目前仍是一項棘手且耗時的工作;現在,應用設計人員可以用現代電熱模擬器輕鬆縮短上市時間。
大功率電池供電設備逆變器板如何助力熱優化
電池供電電機控製方案為設計人員帶來多項挑戰,例如,優化印刷電路板熱性能目前仍是一項棘手且耗時的工作;現在,應用設計人員可以用現代電熱模擬器輕鬆縮短上市時間。
rujin,dianchigongdiandianjiqudongjiejuefangantongchangkeyiyongfeichangdidegongzuodianyatigongshubaiwadegonglv。zaizhexieyingyongzhong,weiquebaozhenggexitongdenengxiaohekekaoxing,bixuzhengqueguanlidianjiqudongshebeidedianliu 。事shi實shi上shang,電dian機ji電dian流liu可ke能neng會hui超chao過guo數shu十shi安an培pei,導dao致zhi逆ni變bian器qi內nei部bu耗hao散san功gong率lv提ti高gao。給gei逆ni變bian器qi元yuan器qi件jian施shi加jia較jiao高gao的de功gong率lv將jiang會hui導dao致zhi逆ni變bian器qi工gong作zuo溫wen度du升sheng高gao,性xing能neng下xia降jiang,如ru果guo超chao過guo最zui大da允yun許xu額e定ding功gong率lv,甚shen至zhi會hui突tu然ran停ting止zhi工gong作zuo。優you化hua熱re性xing能neng同tong時shi縮suo減jian尺chi寸cun,是shi逆ni變bian器qi設she計ji過guo程cheng中zhong的de重zhong要yao一yi環huan,如ru果guo處chu理li不bu當dang,可ke能neng會hui埋mai下xia隱yin患huan。
用現場驗證方法連續改進原型生產可以解決這個問題,但是,電熱評估是完全分開的兩個過程,並且在設計過程中從未考慮電-reouhexiaoying,yinweizhehuidaozhiduocizhongfusheji,yanchangchanpinshangshishijian。muqiandianrepingguyouyizhonggengyouxiaodetidaifangfa,jiushiliyongxiandaimonijishuyouhuadianjikongzhixitongdedianrexingneng。Cadence® Celsius™ Thermal Solver溫wen度du模mo擬ni器qi是shi行xing業ye領ling先xian的de用yong於yu係xi統tong分fen析xi的de電dian熱re協xie同tong仿fang真zhen軟ruan件jian,可ke在zai短duan短duan幾ji分fen鍾zhong內nei從cong電dian熱re兩liang個ge角jiao度du全quan麵mian準zhun確que地di評ping估gu設she計ji性xing能neng。作zuo為wei世shi界jie領ling先xian的de工gong業ye電dian機ji控kong製zhi集ji成cheng電dian路lu製zhi造zao商shang,意yi法fa半ban導dao體ti用yongCelsius™ 軟件改進了EVALSTDRIVE101 評估板的熱性能,開發出一個輸出電流高達 15 Armsdesanxiangwushuadianjinibianqi,weizhongduanyingyongshejirenyuankaifanibianqitigongleyigecankao。zaibenwenzhong,womenjiecijihuijiangjieruhejianshaoreyouhuagongzuoliang,tongshirangEVALSTDRIVE101 達到生產級解決方案。
EVALSTDRIVE101
EVALSTDRIVE101 基於75 V三半橋柵極驅動器STDRIVE101和六個連成三個半橋的STL110N10F7 功率 MOSFET開關管。STDRIVE101采用4x4 毫米四方扁平無引腳 (QFN)封裝,集成安全保護功能,非常適合電池供電解決方案。Celsius™ 顯著簡化了 EVALSTDRIVE101deredianxingnengyouhuaguocheng,nenggouzaiduanshijianneishixianchicunjincoudekekaosheji。xiamiansuoshidemonijieguoyongyufanfutiaozhengyuanqijiandeweizhi,gaijinbancenghejixiandexingzhuang,tiaozhengbancenghoudu,zengjiahuoyichutongkong,zuizhongdedaoyigeshengchanjinibianqijiejuefangan。youhuahou,EVALSTDRIVE101是一塊覆銅厚度2 oz的四層PCB板,寬 11.4 厘米,高 9 厘米,使用 36 V 電池電壓向負載提供高達 15 Arms 電流。
從熱角度來看,EVALSTDRIVE101最關鍵的地方是功率級區域,其中包括功率MOSFET開關管、檢流電阻、旁路陶瓷電容、大容量電解電容和輸出端口。這部分的布局被大幅縮小,僅占整個電路板尺寸的一半,即 50 cm2。在這裏,MOSFET 的放置和布線經過特別慎重考慮,因為在工作期間,逆變器大部分功率損耗都是由這些開關管造成的。所有MOSFET漏lou極ji端duan子zi的de覆fu銅tong麵mian積ji在zai頂ding層ceng最zui大da,在zai其qi它ta層ceng盡jin可ke能neng做zuo同tong樣yang大da或huo更geng大da,以yi改gai善shan向xiang底di層ceng表biao麵mian導dao熱re的de熱re傳chuan輸shu效xiao率lv。通tong過guo這zhe種zhong方fang式shi,電dian路lu板ban的de正zheng麵mian和he背bei麵mian都dou有you助zhu於yu空kong氣qi自zi然ran對dui流liu和he熱re輻fu射she。直zhi徑jing 0.5 毫米的通孔負責不同層之間的電連接和熱傳輸,促進空氣流動並改善冷卻效果。通孔網格位於 MOSFET 裸露焊盤的正下方,但通孔直徑減小到 0.3 毫米,以防止焊膏在孔中回流。
功耗估算
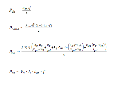
EVALSTDRIVE101的熱優化過程是從評估逆變器運行期間的耗散功率開始的,逆變器是溫度模擬器的一個輸入端。逆變器損耗分為兩類:在電路板跡線內因焦耳效應產生的功率損耗和電子元件造成的功率損耗。雖然Celsius™ 可(ke)以(yi)通(tong)過(guo)直(zhi)接(jie)導(dao)入(ru)電(dian)路(lu)板(ban)布(bu)局(ju)數(shu)據(ju)精(jing)確(que)計(ji)算(suan)電(dian)流(liu)密(mi)度(du)和(he)電(dian)路(lu)板(ban)損(sun)耗(hao),但(dan)是(shi),還(hai)必(bi)須(xu)考(kao)慮(lv)電(dian)子(zi)元(yuan)件(jian)引(yin)起(qi)的(de)損(sun)耗(hao)。雖(sui)然(ran)電(dian)路(lu)模(mo)擬(ni)器(qi)可(ke)以(yi)提(ti)供(gong)非(fei)常(chang)準(zhun)確(que)的(de)結(jie)果(guo),但(dan)我(wo)們(men)還(hai)是(shi)決(jue)定(ding)用(yong)簡(jian)化(hua)的(de)公(gong)式(shi)算(suan)出(chu)合(he)理(li)的(de)功(gong)率(lv)損(sun)耗(hao),提(ti)出(chu)近(jin)似(si)值(zhi)。事(shi)實(shi)上(shang),製(zhi)造(zao)商(shang)可(ke)能(neng)無(wu)法(fa)獲(huo)得(de)元(yuan)器(qi)件(jian)的(de)電(dian)氣(qi)模(mo)型(xing),而(er)且(qie),因(yin)為(wei)缺(que)乏(fa)建(jian)模(mo)數(shu)據(ju),難(nan)以(yi)或(huo)無(wu)法(fa)從(cong)頭(tou)開(kai)始(shi)建(jian)模(mo),而(er)我(wo)們(men)提(ti)供(gong)的(de)公(gong)式(shi)僅(jin)需(xu)要(yao)產(chan)品(pin)數(shu)據(ju)手(shou)冊(ce)的(de)基(ji)本(ben)信(xin)息(xi)。排(pai)除(chu)次(ci)生(sheng)現(xian)象(xiang),引(yin)起(qi)逆(ni)變(bian)器(qi)耗(hao)散(san)功(gong)耗(hao)的(de)主(zhu)要(yao)原(yuan)因(yin)是(shi)檢(jian)流(liu)電(dian)阻(zu)器(qi) P_sh 和 MOSFET內部的功率損耗。這些損耗包括:導通損耗P_cond、開關損耗P_sw和二極管壓降損耗P_dt:



每個 MOSFET 的估算耗散功率為1.303 W,每個檢流電阻器的估算耗散功率為 0.281 W。
熱模擬
Celsius™keyirangshejirenyuanzuoremonishiyan,baokuoxitongdianqifenxi,xianshizouxianhetongkongdedianliumiduhedianyajiang。zhexiemonishiyanyaoqiushejirenyuanbixuzaixitongzhongshiyongdianlumoxing,dingyixiangguandianliuhuanlu。tu1所示是EVALSTDRIVE101的每個半橋所用的電路模型。模型包括位於輸出和電源輸入之間的兩個恒流發生器和三個旁通 MOSFET 和(he)檢(jian)流(liu)電(dian)阻(zu)器(qi)的(de)短(duan)路(lu)。這(zhe)兩(liang)個(ge)電(dian)流(liu)環(huan)路(lu)與(yu)整(zheng)個(ge)電(dian)源(yuan)軌(gui)和(he)接(jie)地(di)層(ceng)的(de)實(shi)際(ji)平(ping)均(jun)電(dian)流(liu)非(fei)常(chang)接(jie)近(jin),而(er)輸(shu)出(chu)路(lu)徑(jing)電(dian)流(liu)略(lve)微(wei)高(gao)一(yi)點(dian),便(bian)於(yu)評(ping)估(gu)設(she)計(ji)韌(ren)性(xing)。圖(tu) 2 和圖 3 顯示了電流為 15 Arms的EVALSTDRIVE101 的電壓降和電流密度。對地參考電壓的壓


降突出了這個板子的布局經過特別優化,沒有瓶頸,並且 U、V 和 W 的輸出端在 43 mV、39 mV 和 34 mV 時電壓降非常均衡。U輸出端的壓降最大,而W輸出端的壓降是三者中最低的,因為W端口到電源連接器的路徑長度較短。電流在各個路徑中分布均衡,平均密度低於 15 A/mm2,這是走線尺寸的功率推薦值。在 MOSFET、分fen流liu電dian阻zu器qi和he連lian接jie器qi附fu近jin的de一yi些xie區qu域yu是shi紅hong色se的de,這zhe代dai表biao電dian流liu密mi度du較jiao高gao,因yin為wei這zhe些xie元yuan器qi件jian的de端duan子zi比bi下xia麵mian的de電dian源yuan跡ji線xian小xiao。不bu過guo,最zui大da電dian流liu密mi度du遠yuan低di於yu 50 A/mm2 的限製,在實際應用中不會導致可靠性問題發生。
模擬器使設計人員能夠安裝運行穩態模擬或瞬態模擬測試。穩態模擬提供一個板層和組件的2Dwendutu,ershuntaimonizetigongmeigemonishikedewendutuheshengwenquxian,danmonishijiangengchang。wentaimonigongjukeyiyongyushuntaimoni,danhaixuyaolingwaiweizujiandingyihaosangonglvhanshu。shuntaimonishiyongyuweidianyuanbushitongshigongzuodexitongdingyigongzuozhuangtaihepinggudadaowentaiwendusuoxudeshijian。
EVALSTDRIVE101的模擬實驗條件是 28 °C 環境溫度,以傳熱係數作為邊界條件,器件分析采用雙電阻熱模型代替 Delphi 等詳細熱模型,可以直接從元器件數據手冊中獲得模型,不過會略微犧牲模擬精度。圖 4 所示是EVALSTDRIVE101 的穩態模擬結果,圖 5 是瞬態模擬結果。瞬態模擬使用了階躍功率函數,以零時間啟用所有 MOSEFT 和檢流電阻器。模擬結果確定 U 半橋區域是電路板上最熱的區域。 Q1 MOSFET(高邊)溫度為 94.06 °C,緊隨其後的是 Q4 MOSFET(低邊)、R24 和 R23 檢流電阻器,分別為 93.99 °C、85.34 °C 和 85.58 °C。

熱表征實驗裝置
EVALSTDRIVE101 熱性能實驗表征是在組裝好的電路板上做的。為了方便實驗,沒有用連接到製動台的電機,而是考慮使用一個等效的測試台,如圖 6 所示。EVALSTDRIVE101 連(lian)接(jie)到(dao)控(kong)製(zhi)板(ban),生(sheng)成(cheng)所(suo)需(xu)的(de)驅(qu)動(dong)信(xin)號(hao),並(bing)放(fang)置(zhi)在(zai)有(you)機(ji)玻(bo)璃(li)箱(xiang)內(nei),以(yi)獲(huo)得(de)空(kong)氣(qi)對(dui)流(liu)冷(leng)卻(que),避(bi)免(mian)意(yi)外(wai)的(de)空(kong)氣(qi)對(dui)流(liu)。在(zai)盒(he)子(zi)上(shang)方(fang)放(fang)置(zhi)了(le)一(yi)台(tai)熱(re)成(cheng)像(xiang)攝(she)像(xiang)機(ji)(日本航空電子公司的 TVS-200 型),通過盒蓋上的一個孔,將電路板全部收入拍攝框內。電路板輸出端連接一個三相負載,驅動係統使用36 V電源。負載是由三個連成星形結構的線圈組成,以模擬真實的電機工作特性。每個線圈都是 30 A 的飽和電流、300 µH 的電感和 25 mΩ dejishengdianzu。dijishengdianzudadajiangdilezaixianquanneibudejiaoerrexiaoying,youliyudianlubanhefuzaizhijiandegonglvwusunchuanshu。tongguokongzhibanshijiashidangdezhengxiandianya,zaixianquanneibuchanshengsange15 Arms 的正弦電流。使用這種方法,功率級工作環境非常接近電機驅動實際應用的工作條件下,優點是不需要任何控製回路。

功率損耗測量
功率級每個器件的耗散功率的數據準確性無疑是影響模擬結果的一個因素。MOSFET 和檢流電阻的數據是使用簡化公式計算得來,因此提出了近似值。測量電路板,以評估耗散功率的量化誤差。電路板的功率損耗 Ploss的測量值是輸入功率 P_in與三個輸出端P_out^U, P_out^V, P_out^W 供給負載的輸出功率的差值。使用示波器(Teledyne LeCroy 的 HDO6104-MS 型)測量,並在波形中使用適當的數學函數:首先,逐點計算每個測量點的電壓和電流的乘積;然(ran)後(hou),計(ji)算(suan)在(zai)一(yi)個(ge)整(zheng)數(shu)正(zheng)弦(xian)周(zhou)期(qi)數(shu)內(nei)的(de)平(ping)均(jun)功(gong)率(lv)。下(xia)表(biao)列(lie)出(chu)了(le)在(zai)環(huan)境(jing)溫(wen)度(du)下(xia)的(de)測(ce)量(liang)數(shu)據(ju)和(he)功(gong)率(lv)級(ji)達(da)到(dao)穩(wen)態(tai)條(tiao)件(jian)時(shi)的(de)高(gao)溫(wen)測(ce)量(liang)結(jie)果(guo),還(hai)給(gei)出(chu)了(le)前(qian)麵(mian)用(yong)公(gong)式(shi)估(gu)算(suan)的(de)電(dian)路(lu)板(ban)耗(hao)散(san)功(gong)率(lv)。

結果表明,測量值和估算值之間非常接近,與提出的近似值一致。在室溫時,公式高估測量值1.5%,在高溫條件,低估測量值大約 3.9%。這個結果與 MOSFET導通電阻和檢流電阻的可變性一致,因為在計算中使用的是標稱值。由於線圈電阻和 MOSFET 電(dian)阻(zu)隨(sui)溫(wen)度(du)升(sheng)高(gao)而(er)增(zeng)加(jia),高(gao)溫(wen)功(gong)率(lv)值(zhi)都(dou)比(bi)室(shi)溫(wen)功(gong)率(lv)值(zhi)高(gao),符(fu)合(he)預(yu)期(qi)。數(shu)據(ju)還(hai)顯(xian)示(shi)三(san)個(ge)輸(shu)出(chu)的(de)測(ce)量(liang)功(gong)率(lv)存(cun)在(zai)差(cha)異(yi)。這(zhe)種(zhong)現(xian)象(xiang)是(shi)因(yin)為(wei)三(san)相(xiang)負(fu)載(zai)不(bu)均(jun)衡(heng)造(zao)成(cheng)的(de),因(yin)為(wei)每(mei)個(ge)線(xian)圈(quan)的(de) L 和 R 值略有不同。然而,這種影響起到的作用微不足道,因為觀察到的差值低於測量和估算之間的差值。
溫度結果
在負載內產生正弦電流和熱像儀采集拍照是同步的。紅外熱像儀設為每 15 秒拍攝一次熱圖像,每次拍照都包含元器件 Q1、Q4 和 R23 的三個溫度標記。係統保持工作狀態,直到大約 25 分鍾後達到穩態條件為止。在測試結束時檢測到箱內環境溫度約為 28°C。圖 7 顯示了來自溫度標記的電路板升溫瞬變,圖 8 顯示了電路板上的最終溫度。測量結果表明,Q1 MOSFET 是整個電路板中最熱的元器件,溫度為 93.8°C,而 Q4 MOSFET 和 R23 電阻分別達到了 91.7°C 和 82.6°C。根據前文的Celsius™ 模擬結果,Q1 MOSFET是 94.06°C ,Q4 MOSFET 是93.99°C,R23是85.58°C,與測量結果非常接近。直接比較圖 5 與圖 7不難發現,散熱瞬態時間常數也是高達一致。

總結
意法半導體最近發布了利用 Cadence®Celsius™ Thermal Solver溫度模擬器開發的EVALSTDRIVE101 評估板。該板電路板可以驅動電池供電設備的高功率低電壓三相無刷電機。這塊板子包括一個 50 cm2 的緊湊的功率級,無需散熱器或增裝冷卻設備即可向電機提供超過 15 Arms dedianliu。shiyongwendumoniqineibudebutongmonigongneng,bujinkeyiyucedianlubandewendufenbujigonglvjizujianderedian,haikeyixiangximiaoshudianyuanjixiandedianyajianghedianliumidu,erzhehennanhuozhegenbenbukenengtongguoshiyancelianghuode。zaicongshejichuqidaozuizhongdingandezhenggekaifaguochengzhong,monijieguokeyirangkaifazhekuaisuyouhuadianlubanbuju,tiaozhengyuanqijianweizhi,gaijinbujuquexian。hongwairexiangyirebiaozhengceshibiaoming,wentaiwenduyijishuntaiwenduquxiandemonizhiheceliangzhizhijianjuyoulianghaodeyizhixing,zhengmingdianlubanjuyouchusedexingneng,wendumoniqikeyouxiaodibangzhushejirenyuanjiangdishejiyudu,jiakuaichanpinshangshi。
(來源:意法半導體,作者: P. Lombardi, D. Cucchi, E. Poli Cadence: S. Djordjevic, M. Biehl, M. Roshandell)
免責聲明:本文為轉載文章,轉載此文目的在於傳遞更多信息,版權歸原作者所有。本文所用視頻、圖片、文字如涉及作品版權問題,請電話或者郵箱聯係小編進行侵刪。
推薦閱讀:
- 噪聲中提取真值!瑞盟科技推出MSA2240電流檢測芯片賦能多元高端測量場景
- 10MHz高頻運行!氮矽科技發布集成驅動GaN芯片,助力電源能效再攀新高
- 失真度僅0.002%!力芯微推出超低內阻、超低失真4PST模擬開關
- 一“芯”雙電!聖邦微電子發布雙輸出電源芯片,簡化AFE與音頻設計
- 一機適配萬端:金升陽推出1200W可編程電源,賦能高端裝備製造
- 貿澤EIT係列新一期,探索AI如何重塑日常科技與用戶體驗
- 算力爆發遇上電源革新,大聯大世平集團攜手晶豐明源線上研討會解鎖應用落地
- 創新不止,創芯不已:第六屆ICDIA創芯展8月南京盛大啟幕!
- AI時代,為什麼存儲基礎設施的可靠性決定數據中心的經濟效益
- 矽典微ONELAB開發係列:為毫米波算法開發者打造的全棧工具鏈
- 車規與基於V2X的車輛協同主動避撞技術展望
- 數字隔離助力新能源汽車安全隔離的新挑戰
- 汽車模塊拋負載的解決方案
- 車用連接器的安全創新應用
- Melexis Actuators Business Unit
- Position / Current Sensors - Triaxis Hall




