儀表放大器的特性與工作電壓配置方法
發布時間:2021-04-13 責任編輯:lina
【導讀】在(zai)工(gong)業(ye)傳(chuan)感(gan)領(ling)域(yu)中(zhong),儀(yi)表(biao)放(fang)大(da)器(qi)應(ying)用(yong)最(zui)為(wei)廣(guang)泛(fan),相(xiang)比(bi)通(tong)用(yong)放(fang)大(da)器(qi),它(ta)的(de)輸(shu)入(ru)阻(zu)抗(kang)高(gao),抗(kang)共(gong)模(mo)幹(gan)擾(rao)強(qiang),在(zai)強(qiang)噪(zao)聲(sheng)環(huan)境(jing)下(xia),能(neng)保(bao)證(zheng)放(fang)大(da)電(dian)路(lu)的(de)增(zeng)益(yi)與(yu)精(jing)度(du),然(ran)而(er)需(xu)要(yao)注(zhu)意(yi)儀(yi)表(biao)放(fang)大(da)器(qi)的(de)工(gong)作(zuo)電(dian)壓(ya)配(pei)置(zhi)方(fang)式(shi)比(bi)較(jiao)複(fu)雜(za)。本(ben)篇(pian)討(tao)論(lun)儀(yi)表(biao)放(fang)大(da)器(qi)特(te)性(xing)與(yu)有(you)效(xiao)工(gong)作(zuo)電(dian)壓(ya)配(pei)置(zhi)方(fang)法(fa)。
在(zai)工(gong)業(ye)傳(chuan)感(gan)領(ling)域(yu)中(zhong),儀(yi)表(biao)放(fang)大(da)器(qi)應(ying)用(yong)最(zui)為(wei)廣(guang)泛(fan),相(xiang)比(bi)通(tong)用(yong)放(fang)大(da)器(qi),它(ta)的(de)輸(shu)入(ru)阻(zu)抗(kang)高(gao),抗(kang)共(gong)模(mo)幹(gan)擾(rao)強(qiang),在(zai)強(qiang)噪(zao)聲(sheng)環(huan)境(jing)下(xia),能(neng)保(bao)證(zheng)放(fang)大(da)電(dian)路(lu)的(de)增(zeng)益(yi)與(yu)精(jing)度(du),然(ran)而(er)需(xu)要(yao)注(zhu)意(yi)儀(yi)表(biao)放(fang)大(da)器(qi)的(de)工(gong)作(zuo)電(dian)壓(ya)配(pei)置(zhi)方(fang)式(shi)比(bi)較(jiao)複(fu)雜(za)。本(ben)篇(pian)討(tao)論(lun)儀(yi)表(biao)放(fang)大(da)器(qi)特(te)性(xing)與(yu)有(you)效(xiao)工(gong)作(zuo)電(dian)壓(ya)配(pei)置(zhi)方(fang)法(fa)。
1 儀表放大器定義與特性
儀表放大器(instrumentation amplifier,INA)典型結構如圖3.1,內部由3個放大器組建而成。第一級由兩個放大器(AMP1,AMP2)組建同相放大電路,實現高阻抗差分輸入,內置反饋電阻Rf1,Rf2,與外部配置電阻Rg調節增益。第二級使用一個放大器(AMP3)組建差動電路,R1、R2、R3、R4是經過校準的高精度匹配電阻。另外,通過REF腳調節輸出電壓的參考。

圖3.1 儀表放大器結構
儀表放大器輸入阻抗通常為GΩ等級。如圖3.2,AD8421的共模、差模輸入阻抗都為30GΩ。
圖3.2 AD8421輸入特性
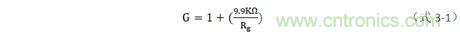
儀表放大器的增益配置通過內部Rf1,Rf2與外部Rg阻值實現,由於每款儀表放大器內部反饋電阻的阻值不同,需要通過數據手冊確認。如圖3.3,AD8421的增益為式3-1。
增益電阻Rg,滿足式3-2。

圖3.3 AD8421引腳功能描述
儀表放大器的基準引腳用來調節輸出信號的參考電壓。如圖3.1,基準引腳REF在電阻R4的一端,R4通常為KΩji。weihuodezuijiaxingneng,zaiqudongjizhunyinjiaoshi,bunengshiyongdianzuqifenyazhijiequdong,ershizaidianzuqishuchuzengjiafangdaqizuohuanchong,zaitigongdaojizhunyinjiao,rutu3.4。

圖3.4AD8421基準引腳驅動方式
2 儀表放大器有效工作配置
儀表放大器、差分放大器的用途是將輸入差模信號進行放大,但是隻關注的差模信號,忽略共模信號就會發生問題。
2017年11月初,一位測量領域的工程師反饋問題,他使用AD8221數據手冊推薦電路,如圖3.5(a)。將±10V單端信號轉為+5V差分信號驅動一款∑Δ型ADC。測試中,使用信號源產生幅值為1V的直流信號作為激勵與電路連接,AD8221電路輸出信號如圖3.5(b)。
gongchengshixiwangshiyonggaidianlushixianwanyongbiaodedianyacelianggongneng,jiancezhidingfanweineirenyiliangdiandedianya,muqianzhegedianlubunenggongzuo。lejiedaozheli,bizheranggongchengshizhakanceliangdianluyuxinhaoyuanshifoucunzaigongdiduan?daanshimeiyou,xinhaoyuanyuAD8221兩個輸入端相連接,除此以外沒有任何電氣連接。

圖3.5 AD8221應用電路與測試情況
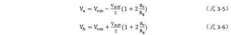
筆者幫助工程師分析儀表放大器的模型如圖3.1,放大的差模信號Vdiff是兩個輸入端以地電位為參考的電壓之差,如式3-3。
這兩個輸入端都存在共模信號,等於兩個輸入端對地電壓的平均值,如式3-4。
儀表放大器電路第一級放大器的輸出電壓Va,Vb分別為式3-5、式3-6。

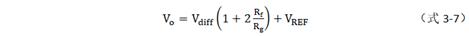
當差模信號與共模信號在輸入範圍內,儀表放大器才能正常工作,輸出電壓Vo為式3-7。
目前測試電路的問題在於兩個輸入信號沒有參考電位,所以建議將AD8221的一個輸入端與電路板的地電位連接,工程師修改後電路正常工作。
該案例判斷中AD8221儀表放大器的輸入信號、輸shu出chu信xin號hao是shi否fou在zai有you效xiao範fan圍wei內nei的de辦ban法fa是shi使shi用yong鑽zuan石shi圖tu。在zai指zhi定ding增zeng益yi,與yu指zhi定ding供gong電dian電dian壓ya範fan圍wei內nei,輸shu入ru共gong模mo電dian壓ya與yu輸shu出chu電dian壓ya範fan圍wei的de有you效xiao區qu間jian。如ru圖tu3.6(a),AD8221電路增益為1倍,供電電壓為±5V時,輸入共模電壓和輸出電壓在綠色陰影區,電路有效工作。當供電電壓為±15V時,輸入共模電壓和輸出電壓在紅色陰影區,電路有效工作。如圖3.6(b),AD8221電路增益為100倍,供電電壓為±5V時,輸入共模電壓和輸出電壓在藍色陰影區,電路有效工作。供電電壓為±15V,輸入共模電壓和輸出電壓在紫色陰影區,電路有效工作。

圖3.6 AD8221鑽石圖
數shu據ju手shou冊ce通tong常chang提ti供gong部bu分fen典dian型xing的de供gong電dian電dian壓ya值zhi的de鑽zuan石shi圖tu,這zhe無wu法fa滿man足zu工gong程cheng師shi多duo樣yang的de需xu求qiu,給gei工gong程cheng師shi的de設she計ji工gong作zuo帶dai來lai很hen多duo不bu便bian。所suo以yi在zai此ci推tui薦jian一yi款kuan在zai線xian評ping估gu工具,筆者已經使用該工具幫助過20餘位工程師快速找出設計問題。建議在設計之初,使用工具進行評估。
如圖3.7為ADI公司精密信號在線設計工具界麵,選擇“IN AMP”,進入儀表放大器配置窗口,如圖3.8(a)。通過選項1選擇需要評估的器件AD8221,然後在選項2配置為差分輸入架構,接下來配置供電電壓±Vs為±10V,參考電壓源VREF為0V,增益Gain為100,輸入共模電壓Vcm為±5V,輸入差模電壓Vdiff為±50mV,該電路配置狀態下的鑽石圖如圖3.8(b),在25℃條件下,輸出電壓Vout與輸入共模電壓Vcm形成的區域(紅色陰影區)沒有受到限製,電路正常工作。

圖3.7 精密信號鏈設計工具

圖3.8 AD8221有效工作配置
如圖3.9,當輸入共模電壓調整為±6V,使用該配置的電路會出現故障提示,AD8221內部節點電壓受到供電電壓限,以及整改方式,包括:
(1)縮小輸入信號範圍。
(2)增大AD8221供電電壓。
(3)降低AD8221增益。
(4)替換器件。

圖3.9 AD8221 異常工作配置
綜上,儀表放大器的工作電配置與通用放大器的工作電壓配置有很大不同,所以,如果不結合輸入差模信號,共模信號、參考源電壓(含驅動方式)這些因素綜合考慮,電路可能會難以正常工作。
免責聲明:本文為轉載文章,轉載此文目的在於傳遞更多信息,版權歸原作者所有。本文所用視頻、圖片、文字如涉及作品版權問題,請電話或者郵箱聯係小編進行侵刪。
特別推薦
- 噪聲中提取真值!瑞盟科技推出MSA2240電流檢測芯片賦能多元高端測量場景
- 10MHz高頻運行!氮矽科技發布集成驅動GaN芯片,助力電源能效再攀新高
- 失真度僅0.002%!力芯微推出超低內阻、超低失真4PST模擬開關
- 一“芯”雙電!聖邦微電子發布雙輸出電源芯片,簡化AFE與音頻設計
- 一機適配萬端:金升陽推出1200W可編程電源,賦能高端裝備製造
技術文章更多>>
- 築基AI4S:摩爾線程全功能GPU加速中國生命科學自主生態
- 一秒檢測,成本降至萬分之一,光引科技把幾十萬的台式光譜儀“搬”到了手腕上
- AI服務器電源機櫃Power Rack HVDC MW級測試方案
- 突破工藝邊界,奎芯科技LPDDR5X IP矽驗證通過,速率達9600Mbps
- 通過直接、準確、自動測量超低範圍的氯殘留來推動反滲透膜保護
技術白皮書下載更多>>
- 車規與基於V2X的車輛協同主動避撞技術展望
- 數字隔離助力新能源汽車安全隔離的新挑戰
- 汽車模塊拋負載的解決方案
- 車用連接器的安全創新應用
- Melexis Actuators Business Unit
- Position / Current Sensors - Triaxis Hall
熱門搜索
微波功率管
微波開關
微波連接器
微波器件
微波三極管
微波振蕩器
微電機
微調電容
微動開關
微蜂窩
位置傳感器
溫度保險絲
溫度傳感器
溫控開關
溫控可控矽
聞泰
穩壓電源
穩壓二極管
穩壓管
無焊端子
無線充電
無線監控
無源濾波器
五金工具
物聯網
顯示模塊
顯微鏡結構
線圈
線繞電位器
線繞電阻



