識別線性放大器在不同的象限的輸入極性
發布時間:2021-04-07 責任編輯:lina
【導讀】在某些應用中需要線性放大器,且線性放大器在輸入訊號的極性方麵具有不同的增益。圖1顯示了一個反相放大器,該放大器在V OUT (V IN )平麵的第二和第四象限內呈線性,但其在第四象限的增益幅度高於第二象限。
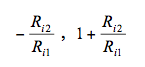
在某些應用中需要線性放大器,且線性放大器在輸入訊號的極性方麵具有不同的增益。圖1顯示了一個反相放大器,該放大器在V OUT (V IN )平麵的第二和第四象限內呈線性,但其在第四象限的增益幅度高於第二象限。運算放大器IC1B用作差分放大器,其增益為:

分別在其反相和同相輸入端。這些增益是恒定的,並且與輸入訊號的極性無關。

圖1反相放大器在V out (V in )平麵的第二和第四象限內精確地呈線性,且在這些象限中具有不同的電壓增益。
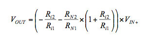
極性相關性是在圍繞IC1A構建的子電路中創建。該子電路實際上是一個已知的操作反相半整流器,它的負輸入輸出零電壓,而正輸入輸出的增益為:

反相半整流器的輸出連接至IC1B的同相輸入。因此,用於正極輸入的IC1B的輸出訊號V IN+為:

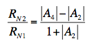
從正輸入極性所需的增益A4 = V OUT / V IN+ 開始,可以計算R N2 / R N1的比值,由於
的比率等於負輸入電壓所需的增益幅度V IN-:

對於圖1中提供的電阻值,增益的大小分別為1/3和1/2。
這裏的增益幅度小於1,但也可以大於1。唯一的限製是,第四象限的增益幅度高於第二象限的增益幅度,如圖2所示。相反地,如果需要在第二象限中獲得更高的增益,則隻需在半波整流器中更改兩個二極管的極性即可。

圖2放大器的理論V in -V out特性。
C i用作增益的頻率補償。該電路僅使用四分之一運算放大器的一半,其餘兩個放大器留作其他用途。
此設計用於補償電路,其中要補償的寄生脈衝因其極性而有不同幅度。

圖3 電路的輸出(紫色跡線)伴隨1kHz的三角輸入電壓波形(藍色跡線)。

圖4 已實現放大器的輸入-輸出(「 XY」)特性,第二和第四象限的電壓增益分別為-1/3和-1/2。
免責聲明:本文為轉載文章,轉載此文目的在於傳遞更多信息,版權歸原作者所有。本文所用視頻、圖片、文字如涉及作品版權問題,請電話或者郵箱聯係小編進行侵刪。
特別推薦
- 噪聲中提取真值!瑞盟科技推出MSA2240電流檢測芯片賦能多元高端測量場景
- 10MHz高頻運行!氮矽科技發布集成驅動GaN芯片,助力電源能效再攀新高
- 失真度僅0.002%!力芯微推出超低內阻、超低失真4PST模擬開關
- 一“芯”雙電!聖邦微電子發布雙輸出電源芯片,簡化AFE與音頻設計
- 一機適配萬端:金升陽推出1200W可編程電源,賦能高端裝備製造
技術文章更多>>
- 築基AI4S:摩爾線程全功能GPU加速中國生命科學自主生態
- 一秒檢測,成本降至萬分之一,光引科技把幾十萬的台式光譜儀“搬”到了手腕上
- AI服務器電源機櫃Power Rack HVDC MW級測試方案
- 突破工藝邊界,奎芯科技LPDDR5X IP矽驗證通過,速率達9600Mbps
- 通過直接、準確、自動測量超低範圍的氯殘留來推動反滲透膜保護
技術白皮書下載更多>>
- 車規與基於V2X的車輛協同主動避撞技術展望
- 數字隔離助力新能源汽車安全隔離的新挑戰
- 汽車模塊拋負載的解決方案
- 車用連接器的安全創新應用
- Melexis Actuators Business Unit
- Position / Current Sensors - Triaxis Hall
熱門搜索
微波功率管
微波開關
微波連接器
微波器件
微波三極管
微波振蕩器
微電機
微調電容
微動開關
微蜂窩
位置傳感器
溫度保險絲
溫度傳感器
溫控開關
溫控可控矽
聞泰
穩壓電源
穩壓二極管
穩壓管
無焊端子
無線充電
無線監控
無源濾波器
五金工具
物聯網
顯示模塊
顯微鏡結構
線圈
線繞電位器
線繞電阻


