幾種電路分析的高效法
發布時間:2020-01-22 責任編輯:xueqi
【導讀】對電路進行分析的方法很多,如疊加定理、支路分析法、網孔分析法、結點分析法、戴dai維wei南nan和he諾nuo頓dun定ding理li等deng。根gen據ju具ju體ti電dian路lu及ji相xiang關guan條tiao件jian靈ling活huo運yun用yong這zhe些xie方fang法fa,對dui基ji本ben電dian路lu的de分fen析xi有you重zhong要yao的de意yi義yi。現xian就jiu具ju體ti電dian路lu采cai用yong不bu同tong方fang法fa進jin行xing如ru下xia比bi較jiao。
01支路電流法
支路電流法是以支路電流為待求量,利用基爾霍夫兩定律列出電路的方程式,從而解出支路電流的一種方法。
一支路電流分析步驟
1) 假定各支路電流的參考方向,對選定的回路標出回路繞行方向。若有n個節點,根據基爾霍夫電流定律列(n一1)個獨立的節點電流方程。
2) 若有m條支路,根據基爾霍夫電壓定律列(m-n+1)個的獨立回路電壓方程。為了計算方便,通常選網孔作為回路(網孔就是平麵電路內不再存在其他支路的回路)。對於平麵電路,獨立的基爾霍夫電壓方程數等於網孔數。
3) 解方程組,求出支路電流。

【例1】如上圖所示電路是汽車上的發電機(US1)、蓄電池(US2)和負載(R3)並聯的原理圖。已知US1=12V,US2=6V,R1=R2=1Ω,R3=5Ω,求各支路電流。
分析:支路數m=3;節點數n=2;網孔數=2。各支路電流的參考方向如圖,回路繞行方向順時針。電路三條支路,需要求解三個電流未知數,因此需要三個方程式。
解:根據KCL,列節點電流方程(列(n-1)個獨立方程):
a節點:I1+I2=I3
根據KVL,列回路電壓方程:
網孔1:I1R1-I2R2=Us1- Us2
網孔2:I2R2+I3R3=Us2
解得:I1=3.8A I2=-2.2A I3=1.6A
02疊加定理
在線性電路中,所有獨立電源共同作用產生的響應(電壓或電流),等於各個電源單獨作用所產生的響應的疊加。
在應用疊加定理時,應注意以下幾點:
1) 在考慮某一電源單獨作用時,要假設其它獨立電源為零值。電壓源用短路替代,電動勢為零;電流源開路,電流為零。但是電源有內阻的則都應保留在原處。其它元件的聯結方式不變。
2) 在zai考kao慮lv某mou一yi電dian源yuan單dan獨du作zuo用yong時shi,其qi參can考kao方fang向xiang應ying選xuan擇ze與yu原yuan電dian路lu中zhong對dui應ying響xiang應ying的de參can考kao方fang向xiang相xiang同tong,在zai疊die加jia時shi用yong響xiang應ying的de代dai數shu值zhi代dai入ru。或huo以yi原yuan電dian路lu中zhong電dian壓ya和he電dian流liu的de參can考kao方fang向xiang為wei準zhun,分fen電dian壓ya和he分fen電dian流liu的de參can考kao方fang向xiang與yu其qi一yi致zhi時shi取qu正zheng號hao,不bu一yi致zhi時shi取qu負fu號hao。
3) 疊加定理隻能用於計算線性電路的電壓和電流,而不能計算功率等與電壓或電流之間不是線性關係的參數。
4) 受控源不屬於獨立電源,必須全部保留在各自的支路中。
【例2】在如下電路中,用疊加定理求電路中的電流I3。
解:根據疊加定理可把圖a中的電路圖看成圖b和圖c中電路的疊加

(1)us1單獨作用

(2)us2單獨作用

(3)有疊加定理可得

03網孔分析法
網孔電流為待求變量,按KVL建立方程求解電路的方法稱為網孔分析法。其網孔電流方程也稱為網孔方程。
在應用網孔分析法應注意以下幾點:
1) 根據網孔自電阻、互電阻、等效電壓源的含義和計算方法,可以直接列寫網孔分析方程的最終形式,稱為視察法。
2) 對含受控電壓源的電路,先將受控源視為獨立電源,依照視察法的規律列寫網孔方程,然後將受控源的控製量用網孔電流表示出來。
【例3】如圖所示電路列寫網孔方程。

解:假定網孔電流分別在網孔1、2、3中流動,網孔電流的參考方向如圖所示。
解:以支路電流為變量,列寫各網孔的KVL方程為

為得到以網孔電流為未知變量的電路方程,用網孔電流表示各支路電流,即有:

將上述各式代入KVL方程,可得網孔電流方程

即為該電路的網孔方程,顯然,由此三個方程,可求解網孔電流。
04結點分析法
在有n個ge結jie點dian的de電dian路lu中zhong,任ren選xuan一yi個ge結jie點dian為wei參can考kao結jie點dian,其qi餘yu各ge結jie點dian至zhi參can考kao結jie點dian的de電dian壓ya稱cheng為wei該gai結jie點dian的de結jie點dian電dian位wei。以yi結jie點dian電dian位wei為wei待dai求qiu變bian量liang,將jiang各ge支zhi路lu電dian流liu用yong結jie點dian電dian位wei表biao示shi,列lie寫xie除chu了le參can考kao結jie點dian以yi外wai其qi他ta所suo有you結jie點dian的deKCL方程,求得結點電位後再確定其他變量的電路分析方法,稱為結點分析法。
結點分析方程的列寫步驟:
1) 選取參考結點,假定其餘n-1個獨立結點的結點電位;
2) 列寫n-1個獨立結點的KCL方程,方程中的各支路電流用結點電位表示;
3) 求解方程,得到結點電位;
4) 通過結點電位確定其他變量。
【例4】對如圖所示電路列寫結點方程。

解:設結點④為參考結點,並令獨立結點①、②、③電壓分別設為。分別列寫結點①、②、③的KCL方程如下。

為得到以結點電位為未知變量的電路方程,用結點電位表示各支路電流,即有:

將上述各式代入KCL方程,得到結點方程整理整理得:

05戴維寧定理與諾頓定理
daiweiningdingliyunuodundinglichangyonglaihuodeyigefuzawangluodezuijiandandengxiaodianlu,tebieshiyongyujisuanmouyitiaozhiludedianyahuodianliu,huozhefenximouyigeyuanjiancanshubiandongduigaiyuanjiansuozaizhiludedianyahuodianliudeyingxiangdengqingkuang。
應用的一般步驟:
1) 把代求支路以外的電路作為有源一端口網絡;
2) 考慮戴維寧等效電路時,計算該有源一端口網絡的開路電壓
3) 考慮諾頓等效電路時,計算該有源一端口網絡的短路電流isc;
4) 計算有源一端口網絡的入端電阻 Req;
5) 將戴維寧或諾頓等效電路代替原有源一端口網絡,然後求解電路。
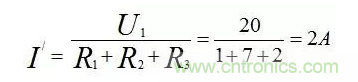
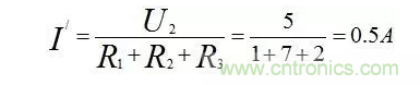
【例5】如圖所示電路的電流I=2A,試確定電阻R的值。

解:先確定電阻R以外電路的戴維寧等效電路,如圖(b)所示,再由電流I=2A確定阻2R。
選擇直接計算圖a的和。根據疊加定理,R斷開時

(電流源單獨作用U''ab+U''''ab電壓源單獨用)將獨立電源置零,不難得到等效電阻。

由圖(b)得

因此:

各種方法比較:
yishangtongguojigelizishuomingledianlufenxifangfadehelixuanze。youxiewenti,xuyaojizhongfangfazongheyingyong,zhelibuzaijuli。zongzhi,jietifangfaxuanzededang,keyishijietiguochengjianjie,tigaojietixiaolv。meizhongdianludefenxifangfa,yibandouyouqishiyongfanwei。yingyonghuofudinglvqiujieshiyongyuqiuduozhiludedianliu,dandianlubunengtaifuza;電源法等效變換法適用於電源較多的電路;節點電位法適用於支路多、節點少的電路;網孔分析法使適用於支路多、節點多、但網孔少的電路;戴dai維wei南nan定ding理li和he迭die加jia定ding理li適shi用yong於yu求qiu某mou一yi支zhi路lu的de電dian流liu或huo某mou段duan電dian路lu兩liang端duan電dian壓ya。上shang麵mian例li題ti的de電dian路lu比bi較jiao簡jian單dan,可ke選xuan擇ze任ren意yi一yi種zhong方fang法fa求qiu解jie,對dui於yu一yi些xie比bi較jiao複fu雜za但dan有you一yi定ding特te點dian的de電dian路lu,必bi須xu選xuan擇ze合he適shi的de方fang法fa,才cai能neng使shi解jie題ti過guo程cheng簡jian單dan,容rong易yi正zheng確que求qiu解jie。
1) 疊(die)加(jia)定(ding)理(li)僅(jin)適(shi)用(yong)於(yu)線(xian)性(xing)電(dian)路(lu),應(ying)用(yong)疊(die)加(jia)定(ding)理(li)分(fen)析(xi)含(han)受(shou)控(kong)源(yuan)電(dian)路(lu)時(shi),通(tong)常(chang)不(bu)把(ba)受(shou)控(kong)源(yuan)單(dan)獨(du)作(zuo)用(yong)於(yu)電(dian)路(lu),而(er)把(ba)受(shou)控(kong)源(yuan)作(zuo)為(wei)電(dian)阻(zu)元(yuan)件(jian)一(yi)樣(yang)對(dui)待(dai)。當(dang)某(mou)一(yi)獨(du)立(li)電(dian)源(yuan)單(dan)獨(du)作(zuo)用(yong)於(yu)電(dian)路(lu)時(shi),受(shou)控(kong)源(yuan)保(bao)留(liu)在(zai)電(dian)路(lu)中(zhong)。疊(die)加(jia)時(shi)應(ying)注(zhu)意(yi)各(ge)響(xiang)應(ying)分(fen)量(liang)的(de)參(can)考(kao)方(fang)向(xiang)與(yu)原(yuan)來(lai)的(de)響(xiang)應(ying)變(bian)量(liang)方(fang)向(xiang)是(shi)否(fou)一(yi)致(zhi),方(fang)向(xiang)一(yi)致(zhi)則(ze)響(xiang)應(ying)分(fen)量(liang)前(qian)應(ying)取(qu)“+”號,不一致則響應分量前應取“-”號。疊加定理不可濫用,通常用於電源單獨作用時電路容易求解的情況,也常用於電路結構或者參數不詳的情況。
2) duiyuzhiludianliufa,fangchengshudengyuzhilushu,liyongjisuanjiyiyuqiujie,danruguoweizhiliangjiaoshao,rusangeshi,wulundairuxiaoyuanfahuoxinglieshifa,jisuanliangdoutaida。ruguojianshaoweizhiliang,zefangchengshujianshao。baokuowangkongdianliufa、回路電流法、節點電壓法多事減少未知量,減少方程而提出的。
3) 結點分析法的實質結點分析法的實質是以結點電位為待求變量,列寫n-1個獨立的KCL方(fang)程(cheng),對(dui)結(jie)點(dian)數(shu)少(shao)的(de)電(dian)路(lu)尤(you)為(wei)適(shi)用(yong)。一(yi)旦(dan)選(xuan)定(ding)了(le)參(can)考(kao)結(jie)點(dian),則(ze)其(qi)餘(yu)結(jie)點(dian)相(xiang)對(dui)於(yu)參(can)考(kao)結(jie)點(dian)的(de)電(dian)壓(ya)即(ji)為(wei)結(jie)點(dian)電(dian)位(wei),未(wei)知(zhi)量(liang)非(fei)常(chang)容(rong)易(yi)確(que)認(ren),因(yin)此(ci)在(zai)電(dian)路(lu)計(ji)算(suan)機(ji)輔(fu)助(zhu)分(fen)析(xi)中(zhong)多(duo)采(cai)用(yong)結(jie)點(dian)分(fen)析(xi)法(fa)。
4) 戴(dai)維(wei)寧(ning)與(yu)諾(nuo)頓(dun)定(ding)理(li)常(chang)用(yong)以(yi)簡(jian)化(hua)一(yi)個(ge)複(fu)雜(za)網(wang)絡(luo),特(te)別(bie)適(shi)用(yong)於(yu)計(ji)算(suan)某(mou)一(yi)條(tiao)支(zhi)路(lu)的(de)電(dian)壓(ya)或(huo)電(dian)流(liu),或(huo)者(zhe)分(fen)析(xi)某(mou)一(yi)個(ge)元(yuan)件(jian)參(can)數(shu)變(bian)動(dong)對(dui)所(suo)在(zai)支(zhi)路(lu)的(de)影(ying)響(xiang)等(deng)情(qing)況(kuang)。應(ying)用(yong)步(bu)驟(zhou):把待求支路以外的電路作為有源一端口網絡,計算該網絡的開路電壓、短路電流、輸入端電阻3個參數中的任意兩個。
5) 在線性電路中,所有獨立電源共同作用產生的響應(電壓或電流),等於各個電源單獨作用所產生的響應的疊加。
特別推薦
- 噪聲中提取真值!瑞盟科技推出MSA2240電流檢測芯片賦能多元高端測量場景
- 10MHz高頻運行!氮矽科技發布集成驅動GaN芯片,助力電源能效再攀新高
- 失真度僅0.002%!力芯微推出超低內阻、超低失真4PST模擬開關
- 一“芯”雙電!聖邦微電子發布雙輸出電源芯片,簡化AFE與音頻設計
- 一機適配萬端:金升陽推出1200W可編程電源,賦能高端裝備製造
技術文章更多>>
- 算力爆發遇上電源革新,大聯大世平集團攜手晶豐明源線上研討會解鎖應用落地
- 築基AI4S:摩爾線程全功能GPU加速中國生命科學自主生態
- 一秒檢測,成本降至萬分之一,光引科技把幾十萬的台式光譜儀“搬”到了手腕上
- AI服務器電源機櫃Power Rack HVDC MW級測試方案
- 突破工藝邊界,奎芯科技LPDDR5X IP矽驗證通過,速率達9600Mbps
技術白皮書下載更多>>
- 車規與基於V2X的車輛協同主動避撞技術展望
- 數字隔離助力新能源汽車安全隔離的新挑戰
- 汽車模塊拋負載的解決方案
- 車用連接器的安全創新應用
- Melexis Actuators Business Unit
- Position / Current Sensors - Triaxis Hall
熱門搜索
微波功率管
微波開關
微波連接器
微波器件
微波三極管
微波振蕩器
微電機
微調電容
微動開關
微蜂窩
位置傳感器
溫度保險絲
溫度傳感器
溫控開關
溫控可控矽
聞泰
穩壓電源
穩壓二極管
穩壓管
無焊端子
無線充電
無線監控
無源濾波器
五金工具
物聯網
顯示模塊
顯微鏡結構
線圈
線繞電位器
線繞電阻




