接地層使用指南
發布時間:2020-01-15 責任編輯:wenwei
【導讀】接地層的使用與星型接地係統相關。為了實施接地層,雙麵PCB(或多層PCB的一層)的(de)一(yi)麵(mian)由(you)連(lian)續(xu)銅(tong)製(zhi)造(zao),而(er)且(qie)用(yong)作(zuo)地(di)。其(qi)理(li)論(lun)基(ji)礎(chu)是(shi)大(da)量(liang)金(jin)屬(shu)具(ju)有(you)可(ke)能(neng)最(zui)低(di)的(de)電(dian)阻(zu)。由(you)於(yu)使(shi)用(yong)大(da)型(xing)扁(bian)平(ping)導(dao)體(ti),它(ta)也(ye)具(ju)有(you)可(ke)能(neng)最(zui)低(di)的(de)電(dian)感(gan)。因(yin)而(er),它(ta)提(ti)供(gong)了(le)最(zui)佳(jia)導(dao)電(dian)性(xing)能(neng),包(bao)括(kuo)最(zui)大(da)程(cheng)度(du)地(di)降(jiang)低(di)導(dao)電(dian)平(ping)麵(mian)之(zhi)間(jian)的(de)雜(za)散(san)接(jie)地(di)差(cha)異(yi)電(dian)壓(ya)。
接地層
接地層概念還可以延伸,包括電壓層。電壓層提供類似於接地層的優勢—極低阻抗的導體—但隻用於一個(或多個)係(xi)統(tong)電(dian)源(yuan)電(dian)壓(ya)。因(yin)此(ci),係(xi)統(tong)可(ke)能(neng)具(ju)有(you)多(duo)個(ge)電(dian)壓(ya)層(ceng)以(yi)及(ji)接(jie)地(di)層(ceng)。雖(sui)然(ran)接(jie)地(di)層(ceng)可(ke)以(yi)解(jie)決(jue)很(hen)多(duo)地(di)阻(zu)抗(kang)問(wen)題(ti),但(dan)它(ta)們(men)並(bing)非(fei)靈(ling)丹(dan)妙(miao)藥(yao)。即(ji)使(shi)是(shi)一(yi)片(pian)連(lian)續(xu)的(de)銅(tong)箔(bo),也(ye)會(hui)有(you)殘(can)留(liu)電(dian)阻(zu)和(he)電(dian)感(gan);在zai特te定ding情qing況kuang下xia,這zhe些xie就jiu足zu以yi妨fang礙ai電dian路lu正zheng常chang工gong作zuo。設she計ji人ren員yuan應ying該gai注zhu意yi不bu要yao在zai接jie地di層ceng注zhu入ru很hen高gao電dian流liu,因yin為wei這zhe樣yang可ke能neng產chan生sheng壓ya降jiang,從cong而er幹gan擾rao敏min感gan電dian路lu。
保持低阻抗大麵積接地層對目前所有模擬電路都很重要。接地層不僅用作去耦高頻電流(源於快速數字邏輯)的低阻抗返回路徑,還能將EMI/RFI輻射降至最低。由於接地層的屏蔽作用,電路受外部EMI/RFI的影響也會降低。
接地層還允許使用傳輸線路技術(微帶線或帶狀線)傳輸高速數字或模擬信號,此類技術需要可控阻抗。
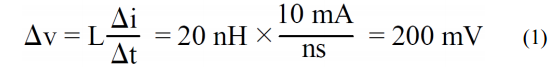
由於“總線(bus wire)”在大多數邏輯轉換等效頻率下具有阻抗,將其用作“地”完全不能接受。例如,#22標準導線具有約20nH/in的電感。由邏輯信號產生的壓擺率為10mA/ns的瞬態電流,流經1英寸該導線時將形成200mV的無用壓降:
對於具有2V峰峰值範圍的信號,此壓降會轉化為大約200mV或10%的誤差(大約“3.5位精度”)。即使在全數字電路中,該誤差也會大幅降低邏輯噪聲裕量。
圖1顯示數字返回電流調製模擬返回電流的情況(頂圖)。接地返回導線電感和電阻由模擬和數字電路共享,這會造成相互影響,最終產生誤差。

圖1.流入模擬返回路徑的數字電流產生誤差電壓
一個可能的解決方案是讓數字返回電流路徑直接流向GND REF,如底圖所示。這顯示了“星型”或huo單dan點dian接jie地di係xi統tong的de基ji本ben概gai念nian。在zai包bao含han多duo個ge高gao頻pin返fan回hui路lu徑jing的de係xi統tong中zhong很hen難nan實shi現xian真zhen正zheng的de單dan點dian接jie地di。因yin為wei各ge返fan回hui電dian流liu導dao線xian的de物wu理li長chang度du將jiang引yin入ru寄ji生sheng電dian阻zu和he電dian感gan,所suo以yi獲huo得de低di阻zu抗kang高gao頻pin接jie地di就jiu很hen困kun難nan。實shi際ji操cao作zuo中zhong,電dian流liu回hui路lu必bi須xu由you大da麵mian積ji接jie地di層ceng組zu成cheng,以yi便bian獲huo取qu高gao頻pin電dian流liu下xia的de低di阻zu抗kang。如ru果guo無wu低di阻zu抗kang接jie地di層ceng,則ze幾ji乎hu不bu可ke能neng避bi免mian上shang述shu共gong享xiang阻zu抗kang,特te別bie是shi在zai高gao頻pin下xia。
所有集成電路接地引腳應直接焊接到低阻抗接地層,從而將串聯電感和電阻降至最低。對於高速器件,不推薦使用傳統IC插槽。即使是“小尺寸”插槽,額外電感和電容也可能引入無用的共享路徑,從而破壞器件性能。如果插槽必須配合DIP 封裝使用,例如在製作原型時,個別“引腳插槽”或“籠式插座”是可以接受的。以上引腳插槽提供封蓋和無封蓋兩種版本。由於使用彈簧加載金觸點,確保了 IC引腳具有良好的電氣和機械連接。不過,反複插拔可能降低其性能。
應使用低電感、表麵貼裝陶瓷電容,將電源引腳直接去耦至接地層。如果必須使用通孔式陶瓷電容,則它們的引腳長度應該小於1 mm。陶瓷電容應盡量靠近IC 電源引腳。噪聲過濾還可能需要鐵氧體磁珠。
可以說“地”越多越好嗎?
接地層能解決許多地阻抗問題,但並不能全部解決。即使是一片連續的銅箔,也會有殘留電阻和電感;在特定情況下,這些就足以妨礙電路正常工作。圖2說明了這個問題,並給出了解決方法。

圖 2.割裂接地層可以改變電流流向,從而提高精度
由於實際機械設計的原因,電源輸入連接器在電路板的一端,而需要靠近散熱器的電源輸出部分則在另一端。電路板具有 100 mm 寬的接地層,還有電流為 15 A 的功率放大器。如果接 地層厚0.038 mm,15 A 的電流流過時會產生 68 μV/mm 的壓降。對於任何共用該PCBqieyidiweicankaodejingmimonidianlu,zhezhongyajiangdouhuiyinqiyanzhongwenti。keyigeliejiediceng,rangdadianliubuliurujingmidianluquyu,erposhitahuanraogelieweizhiliudong。zheyangkeyifangzhijiediwenti(在這種情況下確實存在),不過該電流流過的接地層部分中電壓梯度會提高。
在多個接地層係統中,請務必避免覆蓋接地層,特別是模擬層和數字層。該問題將導致從一個層(可能是數字地)到另一個層的容性耦合。要記住,電容是由兩個導體(兩個接地層)組成的,中間用絕緣體(PC板材料)隔離。
小心接地層割裂
如(ru)果(guo)導(dao)線(xian)下(xia)方(fang)的(de)接(jie)地(di)層(ceng)上(shang)有(you)割(ge)裂(lie),接(jie)地(di)層(ceng)返(fan)回(hui)電(dian)流(liu)必(bi)須(xu)環(huan)繞(rao)裂(lie)縫(feng)流(liu)動(dong)。這(zhe)會(hui)導(dao)致(zhi)電(dian)路(lu)電(dian)感(gan)增(zeng)加(jia),而(er)且(qie)電(dian)路(lu)也(ye)更(geng)容(rong)易(yi)受(shou)到(dao)外(wai)部(bu)場(chang)的(de)影(ying)響(xiang)。圖(tu)3顯示了這一情況,其中的導線 A 和導線 B 必須相互穿過。

圖 3.接地層割裂導致電路電感增加,而且電路也更容易受到外部場的影響
當dang割ge裂lie是shi為wei了le使shi兩liang根gen垂chui直zhi導dao線xian交jiao叉cha時shi,如ru果guo通tong過guo飛fei線xian將jiang第di二er根gen信xin號hao線xian跨kua接jie在zai第di一yi根gen信xin號hao線xian和he接jie地di層ceng上shang方fang,則ze效xiao果guo更geng佳jia。此ci時shi,接jie地di層ceng用yong作zuo兩liang個ge信xin號hao線xian之zhi間jian的de天tian然ran屏ping蔽bi體ti,而er由you於yu集ji膚fu效xiao應ying,兩liang路lu地di返fan回hui電dian流liu會hui在zai接jie地di層ceng的de上shang下xia表biao麵mian各ge自zi流liu動dong,互hu不bu幹gan擾rao。
duocengbannenggoutongshizhichixinhaoxianjiaochahelianxujiediceng,erwuxukaolvxianlianluwenti。suiranduocengbanjiagejiaogao,erqieburujiandandeshuangmiandianlubantiaoshifangbian,danshipingbixiaoguogenghao,xinhaoluyougengjia。xiangguanyuanlirengranbaochibubian,danbujubuxianxuanxianggengduo。
對於高性能混合信號電路而言,使用至少具有一個連續接地層的雙麵或多層PCB無(wu)疑(yi)是(shi)最(zui)成(cheng)功(gong)的(de)設(she)計(ji)方(fang)法(fa)之(zhi)一(yi)。通(tong)常(chang),此(ci)類(lei)接(jie)地(di)層(ceng)的(de)阻(zu)抗(kang)足(zu)夠(gou)低(di),允(yun)許(xu)係(xi)統(tong)的(de)模(mo)擬(ni)和(he)數(shu)字(zi)部(bu)分(fen)共(gong)用(yong)一(yi)個(ge)接(jie)地(di)層(ceng)。但(dan)是(shi),這(zhe)一(yi)點(dian)能(neng)否(fou)實(shi)現(xian),要(yao)取(qu)決(jue)於(yu)係(xi)統(tong)中(zhong)的(de)分(fen)辨(bian)率(lv)和(he)帶(dai)寬(kuan)要(yao)求(qiu)以(yi)及(ji)數(shu)字(zi)噪(zao)聲(sheng)量(liang)。
其(qi)他(ta)例(li)子(zi)也(ye)可(ke)以(yi)說(shuo)明(ming)這(zhe)一(yi)點(dian)。高(gao)頻(pin)電(dian)流(liu)反(fan)饋(kui)型(xing)放(fang)大(da)器(qi)對(dui)其(qi)反(fan)相(xiang)輸(shu)入(ru)周(zhou)圍(wei)的(de)電(dian)容(rong)非(fei)常(chang)敏(min)感(gan)。接(jie)地(di)層(ceng)旁(pang)的(de)輸(shu)入(ru)走(zou)線(xian)可(ke)能(neng)具(ju)有(you)能(neng)夠(gou)導(dao)致(zhi)問(wen)題(ti)的(de)那(na)一(yi)類(lei)電(dian)容(rong)。要(yao)記(ji)住(zhu),電(dian)容(rong)是(shi)由(you)兩(liang)個(ge)導(dao)體(ti)(走線和接地層)組成的,中間用絕緣體(板和可能的阻焊膜)隔離。在這一方麵,接地層應與輸入引腳分隔開,如圖4所示,它是AD8001高速電流反饋型放大器的評估板。小電容對電流反饋型放大器的影響如圖5所示。請注意輸出上的響鈴振蕩。

圖 4.AD8001AR評估板—俯視圖(a)和仰視圖(b)

圖5. 10pF反相輸入雜散電容對放大器(AD8001)脈衝響應的影響
來源:亞德諾半導體
推薦閱讀:
特別推薦
- 噪聲中提取真值!瑞盟科技推出MSA2240電流檢測芯片賦能多元高端測量場景
- 10MHz高頻運行!氮矽科技發布集成驅動GaN芯片,助力電源能效再攀新高
- 失真度僅0.002%!力芯微推出超低內阻、超低失真4PST模擬開關
- 一“芯”雙電!聖邦微電子發布雙輸出電源芯片,簡化AFE與音頻設計
- 一機適配萬端:金升陽推出1200W可編程電源,賦能高端裝備製造
技術文章更多>>
- 貿澤EIT係列新一期,探索AI如何重塑日常科技與用戶體驗
- 算力爆發遇上電源革新,大聯大世平集團攜手晶豐明源線上研討會解鎖應用落地
- 創新不止,創芯不已:第六屆ICDIA創芯展8月南京盛大啟幕!
- AI時代,為什麼存儲基礎設施的可靠性決定數據中心的經濟效益
- 矽典微ONELAB開發係列:為毫米波算法開發者打造的全棧工具鏈
技術白皮書下載更多>>
- 車規與基於V2X的車輛協同主動避撞技術展望
- 數字隔離助力新能源汽車安全隔離的新挑戰
- 汽車模塊拋負載的解決方案
- 車用連接器的安全創新應用
- Melexis Actuators Business Unit
- Position / Current Sensors - Triaxis Hall
熱門搜索
微波功率管
微波開關
微波連接器
微波器件
微波三極管
微波振蕩器
微電機
微調電容
微動開關
微蜂窩
位置傳感器
溫度保險絲
溫度傳感器
溫控開關
溫控可控矽
聞泰
穩壓電源
穩壓二極管
穩壓管
無焊端子
無線充電
無線監控
無源濾波器
五金工具
物聯網
顯示模塊
顯微鏡結構
線圈
線繞電位器
線繞電阻



