電流互感器一、二次側繞組作用及接地方式的區別
發布時間:2019-06-27 責任編輯:xueqi
【導讀】以下介紹電流互感器的作用、工作特點及其接地方式的區別。電流互感器的作用是:將一次回路大電流變為二次回路標準的小電流(5A或1A),從而使測量儀表和保護裝置標準化,小型化,並使其結構輕巧,價格便宜,便於屏內安裝;並可采用小截麵電纜進行遠距離測量。

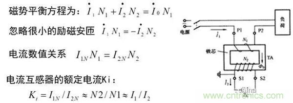
電力係統中廣泛采用的是電磁式電流互感器,它的工作原理和變壓器相似。電流互感器的原理接線如圖:

電流互感器的工作特點:
1、一次側電流:一次繞組串聯在所測量的一次回路中,並且匝數很少。因此,一次繞組中的電流I完全取決於被測回路的負荷電流,而與二次繞組電流大小無關。
2、二次側電流:二次繞組中的匝數N2很多,是一次繞組匝數的若幹倍。二次繞組的電流完全取決於一次繞組電流。
3、dianliuhuganqideercihuiluzhongsuochuanjiedefuzai,shiceliangyibiaohejidianqidedianliuxianquan。tamendezukangdouxiao,yincidianliuhuganqizaizhengchanggongzuoshi,ercicejiejinyuduanluzhuangtai,zheshiyuputongdianlibianyaqidezhuyaoqubie。
當一次側流過電流I1時,在鐵芯中產生交變磁通,此磁通穿過二次繞組,產生電動勢,在二次回路中產生電流I2。

電流互感器在正常工作狀態時,二次負荷電流I2所產生的二次磁勢對一次磁勢F1有去磁作用,因此合成磁勢F0及鐵芯中的合成磁通數值都不大。
電流互感器在正常工作時,二次繞組絕對不允許開路。
如果運行中的電流互感器二次繞組開路,則二次磁勢等於零,而一次磁勢不變,且全部用於激磁。此時合成磁勢Fo等於F1,比正常狀態的合成磁勢增大了許多倍,使鐵芯中的磁通急劇增加而達到飽和狀態。
tiexinbaohe,shisuishijianbianhuadecitongboxingbianweipingdingbo。zaiboxingshangshenghexiajiangchu,yincitongjijubianhuazaierciraozuneisuoganyingdedianshikedajiqianfushenzhigenggao,duishebeiherenyuanshijiqiweixiande。

磁感應強度驟增,會引起鐵芯和繞組過熱。在鐵芯中會產生剩磁,使互感器準確級變低。
電流互感器二次回路必須接地(隻能是一點接地),其目的是為了防止當一、二次之間絕緣被破壞時,對二次設備與人身造成危害,所以一般宜在配電裝置處經端子接地。
電(dian)流(liu)互(hu)感(gan)器(qi)一(yi)次(ci)回(hui)路(lu)不(bu)能(neng)接(jie)地(di),電(dian)流(liu)互(hu)感(gan)器(qi)的(de)一(yi)次(ci)回(hui)路(lu)就(jiu)是(shi)被(bei)測(ce)線(xian)路(lu)的(de)主(zhu)回(hui)路(lu),電(dian)流(liu)互(hu)感(gan)器(qi)的(de)一(yi)次(ci)側(ce)是(shi)不(bu)能(neng)接(jie)地(di)的(de),否(fou)則(ze)會(hui)造(zao)成(cheng)嚴(yan)重(zhong)的(de)短(duan)路(lu)事(shi)故(gu)。
一次側,二次側是什麼?
針對暖通空調係統,簡單說:yiciceercicefenbiedouyoulianggebutongwendu。yigongsigebutongwendu。tongguowuzhijianjinxingrechuandi。yiciceshitigonghuanredejiezhi。erciceshiyonghuxuyaoyongdaodejiezhi。
特別推薦
- 噪聲中提取真值!瑞盟科技推出MSA2240電流檢測芯片賦能多元高端測量場景
- 10MHz高頻運行!氮矽科技發布集成驅動GaN芯片,助力電源能效再攀新高
- 失真度僅0.002%!力芯微推出超低內阻、超低失真4PST模擬開關
- 一“芯”雙電!聖邦微電子發布雙輸出電源芯片,簡化AFE與音頻設計
- 一機適配萬端:金升陽推出1200W可編程電源,賦能高端裝備製造
技術文章更多>>
- 博世半導體亮相北京車展:以技術創新驅動智能出行
- 超低功耗微控製器模塊為工程師帶來新的機遇——第1部分:Eclipse項目設置
- 英偉達吳新宙北京車展解讀:以五層架構與開放生態,加速汽車駛向L4
- 三星上演罕見對峙:工會集會討薪,股東隔街抗議
- 摩爾線程實現DeepSeek-V4“Day-0”支持,國產GPU適配再提速
技術白皮書下載更多>>
- 車規與基於V2X的車輛協同主動避撞技術展望
- 數字隔離助力新能源汽車安全隔離的新挑戰
- 汽車模塊拋負載的解決方案
- 車用連接器的安全創新應用
- Melexis Actuators Business Unit
- Position / Current Sensors - Triaxis Hall
熱門搜索
電纜連接器
電力電子
電力繼電器
電力線通信
電流保險絲
電流表
電流傳感器
電流互感器
電路保護
電路圖
電路圖符號
電路圖知識
電腦OA
電腦電源
電腦自動斷電
電能表接線
電容觸控屏
電容器
電容器單位
電容器公式
電聲器件
電位器
電位器接法
電壓表
電壓傳感器
電壓互感器
電源變壓器
電源風扇
電源管理
電源管理IC

