LLC輕載下輸出特性分析及保持輸出電壓可控的解決方案
發布時間:2018-11-27 責任編輯:lina
【導讀】LLC拓撲廣泛應用於各種功率轉換設備中,然而LLC拓撲在輕載及空載情況下,即使工作頻率範圍很寬,往往仍然出現輸出電壓超出規格要求的現象。
LLC拓撲廣泛應用於各種功率轉換設備中,然而LLC拓tuo撲pu在zai輕qing載zai及ji空kong載zai情qing況kuang下xia,即ji使shi工gong作zuo頻pin率lv範fan圍wei很hen寬kuan,往wang往wang仍reng然ran出chu現xian輸shu出chu電dian壓ya超chao出chu規gui格ge要yao求qiu的de現xian象xiang。本ben文wen從cong理li論lun上shang對dui引yin起qi該gai問wen題ti的de原yuan因yin進jin行xing了le深shen入ru分fen析xi,證zheng明ming變bian壓ya器qi原yuan邊bian等deng效xiao並bing聯lian電dian容rong和he原yuan邊bianMOSFET的輸出電容時造成該問題的根本原因,並針對根因提出了減小等效電容,原邊MOSFET並聯電容,諧振電感並聯電容,增加變壓器原副邊匝比,變換器工作於打嗝模式等措施來應對該問題。
引言
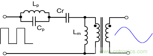
近年來LLC 拓撲廣泛應用於照明驅動,電視電源,工業電源,服務器/PC電源,通信電源等消費及工業領域中的DC-DC級,這是因其具有如全負載範圍原邊開關管的零電壓開通(ZVS),副邊二極管或同步整流開關零電流關斷(ZCS),EMI特性好(高頻噪聲分量較少),電路結構簡單,成本較低等優異特性。典型的半橋全波整流LLC拓撲如下圖所示。

圖1:半橋LLC拓撲
對於LLC拓撲,根據目前最為常用的基波近似法(First Harmonic Approximation, FHA,Fundamental Element Simplification, FES)[1]計ji算suan得de到dao的de直zhi流liu增zeng益yi曲qu線xian,即ji使shi負fu載zai很hen輕qing甚shen至zhi負fu載zai為wei零ling,隻zhi要yao工gong作zuo頻pin率lv足zu夠gou高gao那na麼me輸shu出chu電dian壓ya電dian壓ya一yi定ding是shi可ke控kong的de,即ji可ke以yi穩wen定ding在zai規gui格ge要yao求qiu範fan圍wei內nei。然ran而er,在zai大da量liang采cai用yong該gai拓tuo撲pu的de產chan品pin中zhong都dou可ke以yi發fa現xian:在輕載下輸出電壓無法穩定在規格要求範圍內即往往高於規格的要求,即使LLC已(yi)經(jing)工(gong)作(zuo)於(yu)非(fei)常(chang)非(fei)常(chang)高(gao)的(de)頻(pin)率(lv)。這(zhe)與(yu)目(mu)前(qian)的(de)理(li)論(lun)分(fen)析(xi)是(shi)不(bu)相(xiang)符(fu)的(de)。因(yin)此(ci)有(you)必(bi)要(yao)在(zai)輕(qing)載(zai)及(ji)空(kong)載(zai)條(tiao)件(jian)下(xia)對(dui)直(zhi)流(liu)增(zeng)益(yi)曲(qu)線(xian)進(jin)行(xing)重(zhong)新(xin)分(fen)析(xi)與(yu)計(ji)算(suan),從(cong)中(zhong)找(zhao)到(dao)影(ying)響(xiang)直(zhi)流(liu)增(zeng)益(yi)的(de)因(yin)素(su),從(cong)而(er)找(zhao)到(dao)解(jie)決(jue)問(wen)題(ti)的(de)方(fang)案(an)。
變壓器原邊等效並聯寄生電容對直流增益曲線的影響
采用FHA/FES方法計算LLC的直流增益曲線時,LLC變壓器的模型中的漏感實際上已經被考慮進去:對於諧振電感為獨立電感的應用,因為漏感與諧振電感為串聯關係(副邊漏感等效折算到原邊),yincixiezhenqiangdexiezhendianganganliangweishejidexiezhendianganyulougandiejiazhi。erduiyuxiezhendianganyubianyaqijichengfangan,bianyaqilouganjixiezhendiangan。danshiyuanbianraozujian,fubianraozujiandefenbudianrongjifubianzhengliuerjiguanhuotongbuzhengliuMOSFET的輸出電容並未考慮到計算中。當考慮這些寄生電容後,變壓器的模型及LLC等效電路分別如圖2和3所示[3]。

圖2 考慮副邊寄生電容後的變壓器模型

圖3 考慮副邊寄生電容後的LLC等效電路模型
根據圖2所示結構,圖3中的變壓器原邊等效並聯寄生電容Cp為:
Cpw,Csw,Csoss分別為變壓器原邊繞組分布電容,變壓器副邊繞組分布電容及輸出整流二極管或同步整流管的等效輸出電容,Nps為變壓器原副邊的匝比,
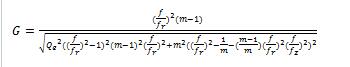
根據圖3所示等效電路,計算得到的LLC直流增益為:
(2)其中:

以一個LLC諧振變換器設計參數為例:Lp=1400uH; Lr=165uH; Cr=68nF,Nps=16.7,對於圖4所示的LLC變換器,使用阻抗分析儀在板測試變壓器原邊等效電容(圖中所示的藍色圓點為測試端),根據測試得到的阻抗曲線計算得到原邊等效電容Cp為:
圖4 采用LLC拓撲的開關電源變壓器原邊等效並聯電容測試端
根據公式(2)可以計算得到不同品質因數Q值(對應100%負載~1%負載)下的增益曲線族,如圖5所示;

圖5 考慮變壓器寄生電容後的直流增益曲線
而相同條件下不考慮寄生電容的增益曲線族如圖6所示。

圖6 不考慮變壓器寄生電容的直流增益曲線
從圖5和圖6的(de)對(dui)比(bi)可(ke)以(yi)得(de)到(dao),由(you)於(yu)變(bian)壓(ya)器(qi)原(yuan)邊(bian)繞(rao)組(zu)等(deng)效(xiao)寄(ji)生(sheng)電(dian)容(rong)的(de)存(cun)在(zai),增(zeng)益(yi)曲(qu)線(xian)在(zai)高(gao)頻(pin)出(chu)現(xian)另(ling)一(yi)個(ge)電(dian)感(gan)電(dian)容(rong)並(bing)聯(lian)諧(xie)振(zhen)點(dian),導(dao)致(zhi)增(zeng)益(yi)曲(qu)線(xian)在(zai)輕(qing)載(zai)情(qing)況(kuang)下(xia)隨(sui)頻(pin)率(lv)升(sheng)高(gao)而(er)增(zeng)益(yi)變(bian)高(gao),且(qie)負(fu)載(zai)越(yue)輕(qing),該(gai)現(xian)象(xiang)越(yue)明(ming)顯(xian)。這(zhe)將(jiang)導(dao)致(zhi)輕(qing)載(zai)情(qing)況(kuang)下(xia)輸(shu)出(chu)電(dian)壓(ya)無(wu)法(fa)穩(wen)定(ding)。相(xiang)同(tong)負(fu)載(zai)(以10%負載為例)不同原邊寄生電容(500pF~50pF)下的增益曲線如圖7所示。從圖中可知,寄生電容越大,諧振點越低,對LLC增益曲線的影響越大,隻有在寄生電容小於50pF情況下,其對增益曲線的影響可以忽略不計。

圖7 不同寄生電容下的直流增益曲線
隨著工作頻率的進一步升高,變壓器中更多的寄生電容和寄生電感對LLC的工作模式產生影響,使得LLC拓撲變為多元件諧振拓撲,增益曲線將出現多個諧振點,LLC特性將變的更加複雜。
原邊MOSFET等效輸出電容對直流增益曲線的影響
對於LLC拓撲,原邊MOSFET在進行開關切換(即一個開關管關斷,死區時間後另一個開關管開通)過程中,激磁電感會與原邊MOSFET的輸出電容產生諧振,該諧振能量將部分傳遞到副邊,使得在空載及輕載情況下輸出電壓升高。文獻[7]中詳細分析了LLC拓撲原邊MOSFET的輸出電容對直流增益曲線的影響,不同MOSFET輸出電容對直流增益的影響如圖8所示[7]:

圖8 不同原邊MOSFET輸出電容對輕載直流增益曲線的影響
當MOSFET的輸出電容較小時,輕載下直流增益曲線出現上翹現象,使得輸出電壓無法保持在規格要求範圍內。
保持輸出電壓穩定的措施
根據本文第2部分的分析,由於變壓器等效原邊電容的存在和原邊MOSFET輸出電容較小,LLC的(de)增(zeng)益(yi)曲(qu)線(xian)在(zai)高(gao)頻(pin)段(duan)出(chu)現(xian)隨(sui)工(gong)作(zuo)頻(pin)率(lv)上(shang)升(sheng)的(de)現(xian)象(xiang),導(dao)致(zhi)輕(qing)載(zai)情(qing)況(kuang)下(xia)輸(shu)出(chu)電(dian)壓(ya)無(wu)法(fa)保(bao)持(chi)在(zai)規(gui)格(ge)範(fan)圍(wei)內(nei)。這(zhe)是(shi)多(duo)數(shu)開(kai)關(guan)電(dian)源(yuan)無(wu)法(fa)接(jie)受(shou)的(de)。接(jie)下(xia)來(lai)的(de)部(bu)分(fen)將(jiang)介(jie)紹(shao)一(yi)些(xie)措(cuo)施(shi)來(lai)解(jie)決(jue)該(gai)問(wen)題(ti):
4.1減小變壓器等效並聯電容
這zhe是shi最zui直zhi接jie解jie決jue問wen題ti的de方fang案an,然ran而er卻que也ye是shi最zui難nan實shi施shi的de方fang案an。由you於yu無wu論lun如ru何he變bian壓ya器qi的de寄ji生sheng電dian容rong都dou是shi存cun在zai的de,因yin此ci可ke以yi采cai取qu的de措cuo施shi是shi盡jin量liang減jian小xiao該gai電dian容rong,文wen獻xian[3]給出了其稱之為“分離式繞法”的變壓器繞製建議,其寄生電容隻有傳統並繞方法的十分之一。文獻[4]提出了“累進式”繞製方法,寄生電容非常小。但往往這些繞製方式會帶來繞製的複雜性提高,從而使得變壓器的價格上升。
4.2 LLC工作於打嗝模式
在輕載情況下LLC拓撲進入打嗝(burst)模(mo)式(shi)是(shi)較(jiao)多(duo)采(cai)用(yong)的(de)一(yi)種(zhong)控(kong)製(zhi)策(ce)略(lve),該(gai)策(ce)略(lve)一(yi)方(fang)麵(mian)可(ke)以(yi)保(bao)持(chi)輸(shu)出(chu)電(dian)壓(ya)在(zai)規(gui)格(ge)範(fan)圍(wei)內(nei),另(ling)一(yi)方(fang)麵(mian)減(jian)小(xiao)了(le)輕(qing)載(zai)下(xia)的(de)輸(shu)入(ru)功(gong)率(lv),提(ti)高(gao)了(le)輕(qing)載(zai)下(xia)的(de)效(xiao)率(lv)。圖(tu)9為典型的打嗝模式下的關鍵波形[5]。然而打嗝模式會帶來輸出電壓紋波變大,這在一些應用,例如服務器電源,PC電源等是無法接受的。

圖9 打嗝模式下的LLC關鍵波形示意圖
4.3諧振電感並聯電容
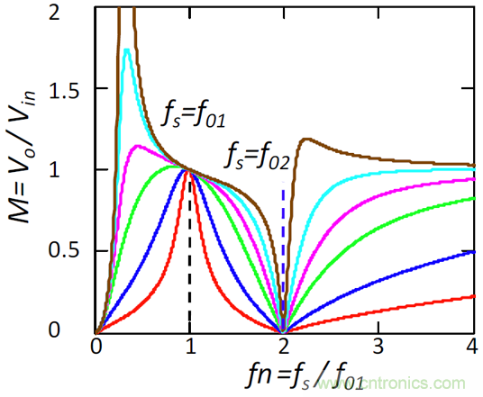
對於諧振電感為獨立電感的應用中,文獻[6]提出了一種多諧振LLC的方案,即在諧振電感上並聯一個電容,如圖10所示,從而生成一個新的LLC諧振點f02,且

圖10 多諧振LLC拓撲
原有諧振頻率也稍有變化,其值為:
新的增益曲線如圖11所示:

圖11 多諧振LLC變換器直流增益曲線
由於增益曲線在fw=f02時為零,因此理論上該多諧振LLC拓撲在任何負載下輸出電壓都可以低至零。設計中需要選擇合適的C_p,確保LLC的最高工作頻率不超過f02。
4.4 原邊MOSFET並聯電容
根據第3部分的分析,原邊MOSFET的輸出電容越大,相同工作頻率下直流增益曲線越低,即輸出電壓越容易控製在規格範圍內。因此在選定原邊MOSFET的前提下,還可以通過並聯電容來增大等效輸出電容,從而控製輸出電壓。此方法簡單易行,可是缺點也較明顯:輸出電容的增大帶來MOSFET開關損耗的增加,從而降低了轉化效率,特別是在輕載下,效率的降低比較明顯。
4.5 增加變壓器原副邊匝比
根據圖6~圖8,無論是變壓器原邊等效並聯寄生電容還是原邊MOSFET輸出電容對直流增益曲線的影響,都是發生在工作頻率高於諧振頻率的情況下。因此通過增加變壓器的原副邊匝比(多數是通過增加變壓器原邊繞組的匝數),令LLCtuopuzaiqingzaiqingkuangxiagongzuoyuxiezhendianfujin,zejishengcanshuduishuchudianyadeyingxiangkeyihulve,congerqingzaixiashuchudianyagengrongyiwendingzaiguigefanweinei。dangrancishejixuyaokaolvmanzaijiguoliubaohuqiandengqingkuangxiadezhiliuzengyidefengzhizugougao,baozhengzhexieqingkuangxiashuchudianyadewending。
4.6 減小副邊二極管/同步整流管寄生電容
根據第2部分的分析,變壓器原邊等效並聯電容有一部分為副邊二極管或同步整流管的等效輸出電容,因此選擇較小輸出電容的二極管或者MOSFET將有助於穩定輸出電壓。文獻[8] 提出了在輸出二極管或同步整流管上並聯一個MOSFET與二極管串聯的電路,該電路將部分能量反饋到原邊側,從而在輕載及空載下維持了輸出電壓的穩定。
4.7 輕載下關閉同步整流管
對於副邊為同步整流(MOSFET為副邊側開關管)的設計,在輕載情況下將同步整流的驅動關閉將有助於保持輸出電壓的穩定,當同步整流的驅動關閉後,副邊側通過MOSFET的體二極管續流,體二極管的壓降介於0.7V~1.2V,遠高於同步整流開通時的壓降(V=ID*R(DS(on))),yincixiangtongshuchudianyaxiasuoxuyaodefubianraozudeshuchudianyagenggao。dangranguanbitongbuzhengliudequdongyehuiyouewaidewenti,zaifuzaituranjiazhongxuyaojiangtongbuzhengliuqudongdakaishi,youyushangshuyachadecunzaihuidaozhishuchudianyachuxianguochongxianxiang,yincishejizhongxuyaozonghekaolvgaicuoshidekeshishixing。
總結
本文對LLC拓撲在輕載及空載情況下輸出電壓超出規格要求的現象進行了理論分析,證明變壓器原邊等效並聯電容和原邊MOSFET輸出電容的存在產生出了該問題。相應地, 本文提出了多種可行的解決方案,來實現輸出電壓的穩定。本文將對電源開發工程師解決LLC拓撲輕載下的輸出電壓偏高問題提供有益的參考。
參考文獻:
[1] Bo Yang, Fred C. Lee, A.J. Zhang and Guisong Huang, LLC Resonant Converter for Frond End DC/DC Converter, 17th APEC, 2002
[2] Ya, Liu, High Efficiency Optimization of LLC Resonant Converter for Wide Load Range,
[3] Heng Yue, Min Chen, Research on Effects of Transformer Parasitic Capacitance on LLC Light Load Stability, Journal of Power Supply, 2013.3
[4] Shan Yu, Jiqing Dong, the Analysis of High-Frequency Transformer Parasitic Capacitance on LLC Non-load Characteristics, Magnetic elements & Power Supply, 2014.03
[5] Datasheet of IDP2322, Infineon Technologies
[6] Dianbo Fu, Fred C. Lee, Ya Liu and Ming Xu, Novel Multi-Element Resonant Converters for Front-end DC/DC Converters, 2008 IEEE Power Electronics Specialists Conference.
[7] Jae-Hyun Kim, Chong-Eun Kim, Jae-Kuk Kim and Gun-Woo Moon, Analysis for LLC Resonant Converter Considering Parasitic Components at Very Light Load Condition, 8th International Conference on Power Electronics-ECCE Asia, 2011
[8] Yiqing Ye, Chao Yan, Jianhong Zeng and Jianping Yin, A Novel Light Load Solution for LLC Series Resonant Converter, 29th International Telecommunications Energy Conference, 2007
特別推薦
- 噪聲中提取真值!瑞盟科技推出MSA2240電流檢測芯片賦能多元高端測量場景
- 10MHz高頻運行!氮矽科技發布集成驅動GaN芯片,助力電源能效再攀新高
- 失真度僅0.002%!力芯微推出超低內阻、超低失真4PST模擬開關
- 一“芯”雙電!聖邦微電子發布雙輸出電源芯片,簡化AFE與音頻設計
- 一機適配萬端:金升陽推出1200W可編程電源,賦能高端裝備製造
技術文章更多>>
- 算力爆發遇上電源革新,大聯大世平集團攜手晶豐明源線上研討會解鎖應用落地
- 築基AI4S:摩爾線程全功能GPU加速中國生命科學自主生態
- 一秒檢測,成本降至萬分之一,光引科技把幾十萬的台式光譜儀“搬”到了手腕上
- AI服務器電源機櫃Power Rack HVDC MW級測試方案
- 突破工藝邊界,奎芯科技LPDDR5X IP矽驗證通過,速率達9600Mbps
技術白皮書下載更多>>
- 車規與基於V2X的車輛協同主動避撞技術展望
- 數字隔離助力新能源汽車安全隔離的新挑戰
- 汽車模塊拋負載的解決方案
- 車用連接器的安全創新應用
- Melexis Actuators Business Unit
- Position / Current Sensors - Triaxis Hall
熱門搜索
微波功率管
微波開關
微波連接器
微波器件
微波三極管
微波振蕩器
微電機
微調電容
微動開關
微蜂窩
位置傳感器
溫度保險絲
溫度傳感器
溫控開關
溫控可控矽
聞泰
穩壓電源
穩壓二極管
穩壓管
無焊端子
無線充電
無線監控
無源濾波器
五金工具
物聯網
顯示模塊
顯微鏡結構
線圈
線繞電位器
線繞電阻


