超詳細:共模電感及濾波器的設計分析
發布時間:2018-10-19 責任編輯:xueqi
【導讀】文中將詳細地為大家分析如下看點:幾個簡單的實例測驗與分析,共模電感“Z”字形符號解釋,共模電感是否會飽和,共模和差模的概念,共模電感設計的幾個經驗以及一些重要的基本概念。
看點1 幾個簡單的實例測驗與分析!
01 這是一個共模電感,如下測量,你覺得測得的電感量是多少?
可能有一部分會答錯。
下麵來說明一下
我們知道共模電感的繞法有兩種,1 雙線並繞,2 兩組線圈分開繞。
1 雙線並繞

2 兩組線圈分開繞

正確的答案應該是10mH,下圖所示。一樓所示的測量和如下測量一致。如仍有懷疑,可找個電感測量一下便知。

可以理解成兩個電感並聯,事實上就是兩個電感並聯,計算結果和測量結果是一樣的。

兩種繞法有何特點?
1 雙線並繞
有較小的差模電感
有較高的耦合電容
有較小的漏感
2 兩組線圈分開繞
有較小的耦合電容
有較高的漏感
因此要根據實際應用情況選擇繞法。
02 再看看這樣測量出來的電感量是多少?為什麼?
有的人可能會回答0mH,有的人可能會回答20mH,有的人可能會回答10mH。
不過很遺憾都不是,正確的答案L=40mH。如ru下xia圖tu,按an右you手shou法fa則ze已yi標biao上shang電dian流liu方fang向xiang和he磁ci通tong方fang向xiang,從cong圖tu中zhong可ke以yi看kan出chu兩liang個ge線xian圈quan的de磁ci通tong的de方fang向xiang是shi相xiang同tong的de,也ye就jiu是shi說shuo磁ci通tong是shi增zeng加jia的de不bu是shi相xiang互hu抵di消xiao。
根據磁環電感量計算公式
式中:N = 圈數, Ac = 截麵積, 分母 Mpl = 磁路長度。
注意 N 有平方的,一組線圈的圈數是N, 則兩組線圈的圈數是 2N,將2N代入到公式中分子有 4N², 也就是說電感量為 4 倍。本例則為 40 mH。
03 再看看這樣測量得到的電感量應該是多少?這樣測得的是什麼電感量?
這個估計很多人都知道是0mH,沒錯,理想狀態下就是 0mH。
實際共模電感總有漏感、或差模電感成份,因此按此連接測量得到的數值就是漏感或者叫差模電感。
共模電感中漏感和差模電感是一回事,可以稱漏感也可稱差模電感。一般做得好點的漏感在1-2%左右。
但有時候會特意將差模電感和共模電感做在一起,這時候的差模電感量就按實際需要做了。
看點2 共模電感“Z”字形符號是代表什麼?
共模電感的這個符號應該很常見吧,但是符號中的的 “Z” 一樣的符號該怎麼讀?估計很少有人知道。

Z= Zorro (佐羅),很厲害的一個人物。共模電感也叫 Zorro 電感。英文中共模電感的叫法比較長 Common Mode Choke,或 Common Mode Inductor,也稱 Zerro Inductor,有時簡稱為 Zerro。
舉例: Fairchild 的 關於濾波器的文章中也是這麼用的,如圖:
看點3 共模電感會飽和嗎?
共gong模mo電dian感gan會hui飽bao和he嗎ma?答da案an是shi非fei常chang難nan飽bao和he,通tong常chang情qing況kuang下xia無wu需xu擔dan心xin飽bao和he問wen題ti,為wei什shen麼me呢ne?我wo們men先xian來lai看kan看kan差cha模mo電dian流liu流liu過guo共gong模mo電dian感gan的de情qing況kuang。如ru圖tu,差cha模mo電dian流liu電dian流liu電dian感gan時shi其qi磁ci通tong是shi相xiang互hu抵di消xiao的de,也ye就jiu是shi說shuo,在zai磁ci路lu裏li基ji本ben沒mei有you磁ci通tong產chan生sheng,差cha模mo電dian流liu流liu過guo時shi沒mei有you阻zu力li,沒mei有you損sun耗hao,簡jian單dan說shuo,一yi個ge額e定ding電dian流liu5A的共模電感流過100A的差模電流也不會飽和,當然前提是導線夠粗。

共(gong)模(mo)電(dian)流(liu)的(de)情(qing)況(kuang)相(xiang)對(dui)複(fu)雜(za)一(yi)點(dian),百(bai)度(du)了(le)一(yi)下(xia)發(fa)覺(jiao)都(dou)是(shi)抄(chao)來(lai)抄(chao)去(qu),都(dou)是(shi)籠(long)統(tong)的(de)說(shuo)阻(zu)抗(kang)增(zeng)加(jia),但(dan)並(bing)沒(mei)有(you)說(shuo)明(ming)為(wei)何(he)阻(zu)抗(kang)增(zeng)加(jia),基(ji)本(ben)沒(mei)什(shen)麼(me)參(can)考(kao)價(jia)值(zhi)。
我們按如下方法分析一下:
假jia設she一yi對dui共gong模mo電dian流liu流liu向xiang如ru下xia圖tu所suo示shi,兩liang個ge濾lv波bo電dian感gan各ge自zi獨du立li,沒mei有you磁ci通tong上shang的de聯lian係xi,這zhe樣yang能neng不bu能neng濾lv波bo共gong模mo電dian流liu呢ne?當dang然ran也ye能neng,相xiang當dang於yu差cha模mo電dian感gan,各ge自zi為wei戰zhan,效xiao果guo差cha一yi點dian。
於是我們講兩個電感合二為一,如圖,這樣會發生什麼情況呢?

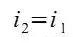
顯然,流過L1的共模電流和流過L2的共模電流產生磁通相互疊加,總磁通增加。L1和L2除了自感以外還有互感,L1的電感量除了本身的電感外還要加上L2的互感,反之L2也一樣。
這樣情況又要分幾種:
1)L1的磁通會使L2產生互感電動勢,互感電動勢的方向總是要阻礙磁通的增加,於是在L2中產生和共模電流方向相反的電流,L2的共模電流被抵消,反之,L1對L2的互感電流也是與L1的共模電流方向相反,也就是說L1的共模電流被抵消。如下圖所示,L2中的互感電流與L2的共模電流方向相反的:

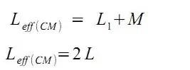
2)電感量計算,如圖:

根據自感公式:
則L1的有效電感為:
設:
於是有:
即共模電感量為繞組的兩倍。
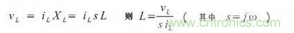
對於差模電流有:
於是,差模電感
即:
也就是說差模電感量為0。
看點4 共模和差模的概念
共模和差模的概念:這個很好理解,看一下圖便知。

共模幹擾來之何處?共模幹擾的頻率如何?1MHz以上還是5MHz以上?如圖:

共模幹擾由MOS管的高di/dt引起,經過變壓器間的電容Cp或雜散電容C2傳到副邊,以Cp為主,C2基本可忽略。我們知道Cp很小,因此能傳到副邊的幹擾頻率一定很高,低頻幹擾信號過不去,因此EMI測試中的高頻部分基本就是共模幹擾。究竟多少MHz與變壓器的結構有很大的關係,層間電容大了則可能1MHz的共模能過去,層間電容小了,則隻能是更高的頻率能過去,比如5MHz以上。
由此可見,變壓器的繞製對EMI有you不bu可ke忽hu略lve的de作zuo用yong,並bing且qie需xu要yao在zai漏lou感gan和he繞rao組zu電dian容rong中zhong折zhe中zhong考kao慮lv,漏lou感gan小xiao了le則ze初chu次ci級ji的de電dian容rong一yi定ding大da了le,初chu次ci級ji的de電dian容rong小xiao了le則ze漏lou感gan大da了le,初chu次ci級ji電dian容rong小xiao則ze有you利li於yu抑yi製zhi共gong模mo幹gan擾rao,但dan漏lou感gan大da了le會hui在zai給gei原yuan邊bian的deMOS管帶來壓力。
如何既能減小原付邊電容又保持漏感小呢,目前看來=隻有一個辦法,在原付邊件加屏蔽。簡單說,在原邊和付邊之間一圈不到的銅箔,銅箔不可繞滿,不可重疊,留1mm左後的空隙。實測效果不錯的,但變壓器繞製就複雜了。
我們來認識一種新的電容,其實也不是新的隻不過估計很少有人知道,很少有人用。
如圖,稱為 Feedthrough 電容,專門用於EMI抑製電路,其抑製高頻幹擾效果相當好。

其內部等效結構如圖
其在電路中的符號為:

其特點為,低ESR,低ESL,高諧振頻率,因此專用於EMI抑製。
其參數等詳細資料可網上搜索廠家的說明書。
以下的圖應足夠能說說明這個電容。

從上麵的做圖可以看出這種電容的內部其實是導線(實際有電感),導(dao)線(xian)外(wai)麵(mian)通(tong)過(guo)做(zuo)成(cheng)電(dian)容(rong)形(xing)式(shi),並(bing)把(ba)電(dian)容(rong)一(yi)端(duan)接(jie)地(di),因(yin)此(ci)低(di)頻(pin)或(huo)直(zhi)流(liu)信(xin)號(hao)完(wan)全(quan)不(bu)受(shou)阻(zu),但(dan)高(gao)頻(pin)則(ze)會(hui)通(tong)過(guo)電(dian)容(rong)接(jie)地(di)。由(you)於(yu)該(gai)電(dian)容(rong)沒(mei)有(you)引(yin)腳(jiao),因(yin)此(ci)ESL(等效串聯電感)很小,這個至關重要。
有必要說明一下為什麼電容的諧振頻率要高。
如圖,所有電容的ESR和阻抗曲線都有相似形狀,隻是ESRhuoxiezhendiandeweizhibuyiyang,tuzhongxiezhendianzuomiandianrongchengrongxing,jijuyoudianrongdetexing。danshigongzuopinlvgaoleyihou,dianrongderongxingyuelaiyuexiao,guolexiezhendianhou,dianrongderongxingbianxiaoshi,yushidianrongbianchenglediangan。kexiangerzhi,benlaizaidianlulifangleyigedianrong,jieguobianchenglediangan,nashishenmehouguo?
認識一下典型的濾波電路,如圖所示:

共模濾波器和差模濾波器對差模信號濾波效果對比,差模濾波器在濾出疊加在信號上的噪聲後導致波形失真。

但使用共模濾波器濾出信號上的噪聲後波形沒有失真。

因此,對於數字信號如有噪聲需濾除采用共模濾波器比較合適。
說shuo濾lv波bo器qi就jiu不bu能neng不bu說shuo濾lv波bo器qi的de階jie數shu,談tan到dao濾lv波bo器qi我wo們men可ke能neng會hui聽ting到dao或huo看kan到dao濾lv波bo器qi的de階jie數shu,那na麼me什shen麼me是shi濾lv波bo器qi的de階jie數shu呢ne?我wo們men看kan以yi下xia最zui簡jian單dan的deRC濾波器,那是幾階?

答案是:一階,英文叫 First Order
那這種呢?

還有這種濾波器是幾階的呢?

答案都是二階,英文叫 Second Order
這樣說應該明白什麼是濾波器的階數了吧? 簡單講,有多少個儲能元件就是幾階,RC濾波器隻有一個電容則是一階,LC濾波器有兩個儲能元件則是二階,與前後關係無關。
如下最常見的PI濾波器就是三階的了
那麼一階、二階、三階濾波器性能上有何區別?
可以濾什麼頻段是電感電容取值問題,但不同階數的濾波器還有更重要的特性,就是衰減信號的斜率問題。
我們先弄清十倍頻這個概念:
十倍頻,這個應該不難理解,從數軸上看,十倍頻就是頻率增加10倍,比如 2 到 20Hz 就是一個十倍頻,那麼 50 到 5000Hz 是幾個十倍頻呢?

我們以一階和二階濾波器的衰減曲線為例,見圖

圖中橫坐標是頻率,用對數表示,縱坐標表示增益,單位為dB,注意圖中的圓點處,右麵一條是一階濾波器的衰減曲線,圓點從1 到 2 頻率增加了十倍,從縱坐標中可以看到增益下降了20dB,通常稱為10倍頻程衰減20dB,左麵一條曲線是二階濾波器,不難看出10倍頻程衰減40dB。
由此可知,濾波器每增加一階,十倍頻程衰減增加20dB,如下圖所示。

看點5 幾個疑問
小測驗:兩個電感,圈數一樣,直徑一樣,但繞製的長度不一樣,哪個電感量大?
小測驗:如圖,兩個電感圈數一樣,線圈高度一樣,直徑不一樣,哪個線圈電感量大?

線圈不同直徑 或 不同長度的形成的電感量參考以下截圖,式中 A 是線圈麵積,l 是線圈高度,(注意不是磁芯的長度),按公式可以看出,麵積越大電感量越大,線圈高度越小電感量越大。
需要注意的是,這個公式僅僅表示表示幾個量的相互關係,不能算出準確的電感量的。
如圖,一棒形電感(或工字形電感),在一端截去一部分磁芯,其電感量是增加了還是減小了?為什麼?

問題:你買了一批工字磁芯(或磁棒)要加工成1mH的電感,需要繞多少圈如何計算?
工字磁芯或磁棒做電感算是算不準的,通常的做法就是試繞一定的圈數(比如繞一層)然ran後hou測ce量liang一yi下xia電dian感gan量liang,算suan出chu每mei圈quan的de電dian感gan量liang然ran後hou再zai按an此ci算suan出chu總zong的de圈quan數shu,由you於yu內nei圈quan和he外wai圈quan的de直zhi徑jing不bu一yi樣yang每mei圈quan電dian感gan量liang也ye就jiu不bu一yi樣yang,因yin此ci繞rao好hao後hou還hai得de測ce量liang進jin行xing修xiu正zheng,有you時shi廠chang家jia會hui給gei出chu有you效xiao磁ci導dao率lv,可ke參can考kao,線xian圈quan在zai磁ci棒bang上shang的de位wei置zhi不bu一yi樣yang(靠近磁棒中心還是靠近兩端),疏密程度不一樣電感量均不一樣。
棒形電感有氣隙嗎?當然也有,棒形電感的氣隙就是端點到端點的距離,如圖所示棒形電感的氣隙是非常大的。

bangxingdiangandeqixixingzhiyucihuandeqixixingzhiyoumingxianbutong,rutu,cihuankaiqixihouqidengxiaocidaolvyumeiyouqixidecihuandecidaolvxiangbixiaohenduo,qixiyuedadengxiaocidaolvyuexiao,fanguolaishuoqixiyuexiaodengxiaocidaolvyueda。

namewentilaile,cibangjiequyiduanhouduanyuduandejulibianduanle,yejiushiqixibianxiaole,danshijidianganliangyebianxiaole,yizhongjieshishidengxiaocidaolvbianxiaole,rutusuoshi。

這(zhe)個(ge)圖(tu)是(shi)被(bei)各(ge)種(zhong)資(zi)料(liao)千(qian)萬(wan)遍(bian)引(yin)用(yong)的(de),屬(shu)於(yu)最(zui)經(jing)典(dian)的(de)。這(zhe)個(ge)曲(qu)線(xian)無(wu)非(fei)是(shi)實(shi)測(ce)以(yi)後(hou)得(de)出(chu)的(de)統(tong)計(ji)數(shu)據(ju),並(bing)未(wei)道(dao)出(chu)問(wen)題(ti)的(de)實(shi)質(zhi),而(er)我(wo)們(men)希(xi)望(wang)知(zhi)道(dao)為(wei)何(he)總(zong)得(de)磁(ci)路(lu)短(duan)了(le)電(dian)感(gan)量(liang)反(fan)而(er)變(bian)小(xiao)。
圖中橫坐標是磁棒的長度與直徑之比,隨長度變短氣隙變小等效磁導率也變小,這好像不合理,我們看磁環的電感計算公式:

MPL表示磁路。
我(wo)們(men)知(zhi)道(dao)磁(ci)環(huan)的(de)氣(qi)隙(xi)變(bian)小(xiao)電(dian)感(gan)量(liang)會(hui)變(bian)大(da)有(you)效(xiao)磁(ci)導(dao)率(lv)也(ye)變(bian)大(da)。因(yin)此(ci)磁(ci)棒(bang)的(de)氣(qi)隙(xi)變(bian)短(duan)了(le)其(qi)等(deng)效(xiao)磁(ci)導(dao)率(lv)應(ying)該(gai)變(bian)大(da)並(bing)且(qie)電(dian)感(gan)量(liang)也(ye)應(ying)該(gai)變(bian)大(da)才(cai)對(dui)啊(a),但(dan)事(shi)實(shi)相(xiang)反(fan),一(yi)定(ding)是(shi)哪(na)裏(li)有(you)問(wen)題(ti)了(le)。
原因其實很簡單。真正的磁力線的密度其實是很高的,不像我們平時那麼畫幾條意思意思的幾條。
可能這樣:

真zhen正zheng的de原yuan因yin是shi因yin為wei磁ci芯xin外wai部bu的de磁ci場chang會hui在zai磁ci芯xin上shang產chan生sheng感gan生sheng電dian流liu,此ci電dian流liu方fang向xiang與yu線xian圈quan電dian流liu反fan向xiang相xiang反fan,感gan生sheng電dian流liu同tong樣yang會hui產chan生sheng磁ci場chang,該gai磁ci場chang的de方fang向xiang與yu磁ci芯xin內nei原yuan來lai的de磁ci場chang方fang向xiang相xiang反fan,彼bi此ci互hu相xiang抵di消xiao一yi部bu分fen,當dang磁ci棒bang被bei截jie短duan後hou,外wai部bu磁ci場chang增zeng強qiang,磁ci芯xin上shang的de感gan應ying電dian流liu加jia大da從cong而er反fan向xiang磁ci場chang增zeng強qiang,於yu是shi削xue弱ruo了le線xian圈quan產chan生sheng的de磁ci場chang,最zui終zhong導dao致zhi電dian感gan量liang減jian小xiao。
看點6 共模電感設計的幾個經驗
共模電感的設計:共模電感設計很簡單,掌握以下步驟即可:
1) 盡可能選用磁導率高的磁芯以獲得最大的阻抗(對付30MHz以下的幹擾MnZn,30MHz- 1 GHz用NiZn),
2) 選擇適合飽和磁通的磁芯,確保最大共模電流時磁芯不會飽和,(通常共模飽和電流隻有3-5mA)
3) 選擇功率損耗小的磁芯
4) 在選定磁芯尺寸下繞盡可能多的圈數
5) 選用尺寸小的磁芯
6) 線間距盡可能大以減小雜散電容(避免高頻信號通過雜散電容耦合過去)
7) 由於繞線有電阻會發熱因此需要合適的線徑
電感的能量儲存在哪裏?
這是個頗有爭議性的話題,我們通過以下實例來研究一下:
如圖是一個電源、一個開關、一個電阻和一個電感串聯在一起。初始狀態開關打開,電路中沒有電流。
現在我們將開關合上,會發生什麼情況?這可以從兩個方麵看:
1)電路理論:當一個電感中有變化的電流流過時電感兩端會產生感生電動勢(V = L di/dt),這樣電感中不但有電流還有電壓則其功率為 P= IV,既然有功率毫無疑問變化的電流帶來了能量。
2)物理學: 變bian化hua的de磁ci場chang產chan生sheng電dian場chang,而er這zhe個ge電dian場chang力li則ze拚pin命ming將jiang電dian子zi推tui回hui去qu,在zai推tui的de過guo程cheng中zhong不bu斷duan獲huo取qu電dian子zi的de能neng量liang,而er電dian源yuan則ze不bu斷duan給gei電dian子zi增zeng加jia動dong能neng以yi通tong過guo電dian感gan,這zhe樣yang電dian感gan電dian流liu不bu斷duan加jia大da,電dian子zi的de動dong能neng越yue來lai越yue強qiang於yu是shi電dian場chang也ye越yue來lai越yue強qiang。
隨著電流最後達到最大值1A,電感中的磁場不再變化,於是電感兩端電壓為0,(di = 0,V = L*di/dt = 0),於是電場強度也變為零(變化的磁場才會產生電場)。
隨後我們將電源電壓突然調為0V,結果會怎樣?
隨著電壓調到0,dianzicongdianzushangliuguonengliangzhujianzaidianzushangxiaohaodiao,dianliudebianhuazaicijianliqibianhuadecichang,erbianhuadecichangzaicijianliqidianchang,ercishidedianchangligeiyudianzinengliangbingtuidongdianzijiasuliuchu,suizhenengliangdehaojin,dianliuzuihouweiling,cichangyezhujianxiaoshi。
如果在電流流動過程中我們突然打開開關,使電路呈開路狀態會發生什麼情況?
電(dian)子(zi)正(zheng)在(zai)有(you)序(xu)的(de)向(xiang)前(qian)流(liu)動(dong),此(ci)時(shi)開(kai)關(guan)突(tu)然(ran)斷(duan)開(kai),於(yu)是(shi)所(suo)有(you)電(dian)子(zi)不(bu)得(de)不(bu)緊(jin)急(ji)停(ting)止(zhi),電(dian)流(liu)於(yu)是(shi)突(tu)然(ran)就(jiu)變(bian)為(wei)零(ling)了(le),於(yu)是(shi)磁(ci)場(chang)瞬(shun)間(jian)崩(beng)潰(kui),磁(ci)場(chang)崩(beng)潰(kui)過(guo)程(cheng)中(zhong)在(zai)電(dian)感(gan)兩(liang)端(duan)感(gan)應(ying)出(chu)極(ji)高(gao)的(de)電(dian)壓(ya)(V = L*di/dt,dt趨於0),同時瞬間變化的磁場產生極強的電場,這強大的電場推動所有電子往前跑。不難想象這時在開關斷開處的電子的心裏那個急啊:別擠別擠,再擠掉下去了,然而後麵的電子不知道啊,在電場力的作用下如潮水般湧來,嗬嗬.
突然想起一句廣告詞叫做 “真的停不下來”。於是擠成一團的電子在強大的電場力下不得不一起衝出導線跑到空氣中,其電壓之高足以擊穿空氣(V = L*di/dt,dt趨於0),於是通過空氣向開關的另一端放電產生火花釋放能量或者看誰離得近不順眼的就向誰放電以釋放能量。
如圖是螺旋線圈中磁場和電場的關係示意圖,電場方向是沿線圈圓周的切線方向,而磁場在圖中是垂直穿過。

看點7 一些重要的基本概念
1 電磁場:電場和磁場總是聯係在一起的,電場和磁場的混合就是電磁場,英文也專門創建了這麼一個單詞(Electromagnetic Field 電磁場),以下圖為例,
圖中是一小段PCB銅(tong)箔(bo)的(de)截(jie)麵(mian),大(da)小(xiao)不(bu)斷(duan)變(bian)化(hua)的(de)電(dian)流(liu)麵(mian)向(xiang)正(zheng)麵(mian)流(liu)進(jin)或(huo)流(liu)出(chu),注(zhu)意(yi)是(shi)變(bian)化(hua)的(de)電(dian)流(liu),因(yin)此(ci)產(chan)生(sheng)了(le)變(bian)化(hua)的(de)磁(ci)場(chang),由(you)此(ci)也(ye)感(gan)應(ying)出(chu)電(dian)場(chang),注(zhu)意(yi)磁(ci)場(chang)的(de)方(fang)向(xiang)是(shi)環(huan)繞(rao)銅(tong)箔(bo)的(de),而(er)電(dian)場(chang)是(shi)從(cong)銅(tong)箔(bo)指(zhi)向(xiang)參(can)考(kao)麵(mian),參(can)考(kao)麵(mian)為(wei)地(di)平(ping)麵(mian)。磁(ci)場(chang)和(he)電(dian)場(chang)這(zhe)個(ge)方(fang)向(xiang)特(te)性(xing)要(yao)記(ji)住(zhu),在(zai)進(jin)行(xing)PCB布線線時為減小對其他電路的幹擾可適當注意與磁場方向其他導線或電路成某種角度。
2分貝(Decibel):分貝是基於對數的單位,EMI測量中都用分貝作為基本單位的,因此對分貝需要有所了解。
分貝的基本定義:10log10[測得的功率/單位功率]
比如,測得5000mW,則10 log10[5000mW/1mW] = 37dBmW = 37dBm
注意通常 dBmW 是寫成 dBm 的,其W是省略不寫的。
如果用dBW作為單位,則37dBm = 7dBW,注意換算關係。
而實際EMC測量中都是測量的電壓或電流,通常是微伏或微安,最常見的就是 dBuV,這時候的坐標就不是10log了,而是20log,需注意。
這張表需要大致知道了解一點的
特別是表中三個框中的關係要知道,比如信號強度增加一倍則功率增加3dB,電壓或電流增加了6dB。仔細體會一下,信號增加10倍功率增加多少倍,電壓或電流增加多少倍。
3 電流的返回路徑,這是非常重要的概念:
3.1,低頻電流按最小電阻路徑返回,高頻信號從最小阻抗路徑返回,這是因為每一段導線都包含電感和電容。通常頻率以50KHz為分界線。
3.2,差模電流返回一定有路徑,你把路徑切斷差模電流就沒有了。
3.3,共模電流你一定要給它路徑,你不給路徑它就亂竄,造成嚴重的EMI問題。好似流氓,你給他一條生路他就比較太平,你不給他生路他就攪天下不太平。這也是為什麼變壓器原邊和附件加Y電容給共模電流提供一條返回路徑。共模電流都是uA級或mA級,電流雖不大,但破壞力驚人。
3.4,差模電流返回路徑的包圍的麵積一定要小,麵經越大產生幹擾信號越大,吸收外界的幹擾也大。如圖所示
4 時域和頻域
時域是真實存在域,我們用示波器觀察到的波形就是典型的時域,所謂眼見為實。
頻域是一種數學構造,是假設用某種波形來構建不同的波形,通常是用正弦波,這不是我們這裏要討論的問題。
而EMC測量都是采用頻域的方式,例如用頻譜儀或EMI接收器等。為什麼要用頻域的方式測量EMC呢?我們知道,方波可有很多個(或無數個)正弦波構成,如下圖:
但(dan)每(mei)個(ge)正(zheng)弦(xian)波(bo)的(de)頻(pin)率(lv)額(e)幅(fu)值(zhi)是(shi)多(duo)少(shao)呢(ne)?用(yong)時(shi)域(yu)的(de)方(fang)式(shi)測(ce)量(liang)很(hen)難(nan),於(yu)是(shi)借(jie)助(zhu)於(yu)頻(pin)譜(pu)儀(yi),我(wo)們(men)可(ke)測(ce)得(de)每(mei)個(ge)波(bo)形(xing)的(de)幅(fu)值(zhi)及(ji)頻(pin)率(lv),而(er)這(zhe)些(xie)頻(pin)率(lv)正(zheng)是(shi)幹(gan)擾(rao)頻(pin)率(lv),稱(cheng)為(wei)諧(xie)波(bo),其(qi)幅(fu)值(zhi)反(fan)映(ying)了(le)幹(gan)擾(rao)的(de)強(qiang)度(du)。如(ru)圖(tu)所(suo)示(shi):
再次強調:諧波的頻率是基波的整數倍。比如100KHz的矩形波,其諧波為300KHz、500KHz等。
5 三種無源器件的高頻等效模型
5.1,電阻的高頻等效模型

5.2電容的高頻等效模型

5.3,電感的高頻等效模型
6 近場和遠場
顧名思義,近場就是靠近電磁場,遠場就是遠離電磁場。
對PCB來說,電流回路一般以磁場為主,而大麵積的金屬麵(例如鋪銅、散熱器表麵)yidianchangweizhu,huozheshuodadianliudelujingshangyicichangganraoweizhuergaoyabufenzeyidianchangganraoweizhu,huozheshuodizukanglujingyicichangweizhuergaozukanglujingyidianchangweizhu。yinciyoushidamianjiputongsanrexuyaokaolvgaisanremianshangshifouyougaoya,yougaoyazehuichanshengganraodianchang。erdadianliudaoxianzuihaolimingandianlulideyuanyidian。(恒定電流不會產生幹擾磁場,有幹擾一定是有變化的電流引起)。至於電磁場強度則通常借助於近場探頭來進行測量。
7 電感的品質因素 Q
Q 是 Quality的第一個字母,電感的品質因素定義為:
由上式可見品質因素是與頻率有關的量,在 r 不變的情況下,頻率越高則品質因素越高,然後通常我們不太使用Q這個量,而通常更關心的是Rdc,即電感的直流電阻,與電容類似,我們通常關心的是等效串聯電阻 ESR,而不是tgδ。電感線圈的直流電阻與電容的 ESR 一樣可通過電橋測得。
8如何數電感或變壓器的圈數?
問題看似很簡單,試試看如下線圈是幾圈?
9 近場探頭及探測原理
探測原理並不複雜,示意圖一看就明白

10 電感線圈的三種等效電路(忽略等效電阻)
電感線圈在低頻、諧xie振zhen及ji工gong作zuo頻pin率lv高gao於yu諧xie振zhen頻pin率lv時shi會hui呈cheng現xian不bu同tong的de特te性xing,特te別bie是shi當dang工gong作zuo頻pin率lv超chao過guo諧xie振zhen頻pin率lv是shi電dian感gan不bu再zai是shi電dian感gan而er變bian成cheng的de電dian容rong。圖tu中zhong的de電dian容rong是shi線xian圈quan的de匝za間jian電dian容rong。

11 為什麼MOS管腳上套個磁珠能起到抑製噪聲的作用?
雖然大家一直在這麼用,但估計很少人會問為什麼?我們先看看下麵這張圖,這個磁環中間穿了根導線,你說這導線是饒了幾圈?

可能有人會說沒有繞啊,哪來的圈數?
shishishang,daoxianchuanguocihuanjiushiraoleyiquan,weishenmene?daoliqishihenjiandan,zhegendaoxianruguomeiyoujierudianlunaqueshishimeiyourao,zhiyaoyijierudianlujiushiyiquan,tazongyaohedianlugouchenghuilu,biruwomenyongdianqiaoceliang,rutu,zhegendaoxianjiuhedianqiaogouchenglehuilu,yejiushixingchengleyiquan。

MOS管腳上套個磁環後,MOS管的腳總是和外電路構成閉合回路,也就相當於MOS管腳在磁環上饒了一圈。由此可見,磁環的磁導率越高濾波效果越好。
12 插入損耗
如何評價一個濾波器的性能?通常采用插入損耗來評價。如圖示意圖表示信號 V1 --> V20,V20 表示沒有濾波器時的輸出。
為了對V1進行濾波於是插入了一個濾波器,將V1信號損耗在濾波器上,於是就有了這個名詞叫插入損耗。V2 表示插入濾波器後的輸出。
插入濾波後,會有什麼結果?V2 一定小於 V20,也就是說插入濾波器後輸出變小了,為何輸出變小?一部分變成熱量、一部分被濾波器擋住返回了,如圖:

插入損耗按下式計算:
式中:V20為未加濾波器,V2 為加了濾波器。
13 傳導測試方法,
下圖是實驗室傳導測試的標準方法,建議各位花一分鍾時間看一下,了解實驗室是如何測試傳導幹擾的,終身受用。
14 輸入端L C濾波器設計注意事項:
輸入端LC濾波器的一般形式如下:

有you於yu濾lv波bo電dian路lu中zhong有you兩liang個ge儲chu能neng原yuan件jian因yin此ci是shi兩liang階jie濾lv波bo器qi,這zhe濾lv波bo器qi有you個ge很hen大da的de問wen題ti,由you於yu無wu阻zu尼ni,因yin此ci當dang幹gan擾rao信xin號hao的de頻pin率lv達da到dao濾lv波bo器qi的de截jie止zhi頻pin率lv時shi(Cut off),幹擾信號不但沒有被抑製反而被放大了,如圖所示:

從圖中可以看到,當阻尼係數為0.1時,幹擾頻率在 f0 處明顯被放大。阻尼為0.1時尚且被放大很多,沒有阻尼那更是不得了。
f0 = 1/2Π√LC, 為諧振頻率。
這可是事與願違啊,我們本想抑製幹擾但由於設計不當幹擾非但沒有被抑製反而被放大了,這可不是我們所希望的。
當(dang)然(ran),阻(zu)尼(ni)為(wei)零(ling)的(de)情(qing)況(kuang)是(shi)不(bu)存(cun)在(zai),電(dian)感(gan)電(dian)容(rong)總(zong)有(you)內(nei)阻(zu),因(yin)此(ci)總(zong)有(you)些(xie)阻(zu)尼(ni)作(zuo)用(yong)的(de),但(dan)這(zhe)遠(yuan)遠(yuan)不(bu)夠(gou),而(er)且(qie)不(bu)可(ke)控(kong)。通(tong)常(chang)采(cai)用(yong)以(yi)下(xia)幾(ji)種(zhong)方(fang)法(fa)解(jie)決(jue):
1)並聯阻尼法,如圖

加阻尼後的幅頻特性

可以看出,截止頻率處的尖峰被壓平,也就是說不再使得噪聲被放大。其中電容 Cd 對阻尼不起作用,隻是為了隔離輸入電壓以避免電阻產生
方法2:串聯阻尼法
如圖:在(zai)電(dian)感(gan)上(shang)並(bing)聯(lian)一(yi)個(ge)電(dian)阻(zu)與(yu)電(dian)感(gan)串(chuan)聯(lian)的(de)電(dian)路(lu),這(zhe)稱(cheng)為(wei)串(chuan)聯(lian)阻(zu)尼(ni)法(fa),效(xiao)果(guo)與(yu)並(bing)聯(lian)阻(zu)尼(ni)相(xiang)同(tong),不(bu)足(zu)之(zhi)處(chu)是(shi)由(you)於(yu)在(zai)原(yuan)電(dian)感(gan)上(shang)並(bing)聯(lian)電(dian)阻(zu)電(dian)感(gan)後(hou)對(dui)高(gao)頻(pin)幹(gan)擾(rao)信(xin)號(hao)的(de)衰(shuai)減(jian)差(cha)一(yi)點(dian),這(zhe)是(shi)顯(xian)而(er)易(yi)見(jian)的(de)。事(shi)實(shi)上(shang)大(da)部(bu)分(fen)的(de)實(shi)際(ji)應(ying)用(yong)中(zhong)Ld doubeishenglvele,jinjinzaidianganshangbinglianyigedianzu,zhegedianzuchengweizunidianzu,mudeyuqianshuyiyangfangzhizaijiezhipinlvchubaganraoxinhaofangda,shijishiyongzhongzunixiaoguohaishibucuode。

方法3:串並聯法:
這種方法用的人估計不多,了解一下即可,如圖:

方法4,Π 濾波器
這zhe是shi用yong的de最zui多duo的de一yi種zhong,如ru圖tu,通tong常chang都dou僅jin僅jin在zai電dian感gan上shang並bing聯lian一yi個ge阻zu尼ni電dian阻zu,這zhe個ge阻zu尼ni電dian阻zu不bu可ke少shao,曾zeng經jing看kan到dao有you些xie貼tie問wen這zhe個ge電dian阻zu幹gan什shen麼me用yong,有you各ge種zhong說shuo法fa,但dan很hen少shao有you說shuo對dui的de,請qing記ji住zhu這zhe個ge是shi阻zu尼ni電dian阻zu,為wei了le消xiao除chu幹gan擾rao信xin號hao在zai濾lv波bo器qi的de截jie止zhi頻pin率lv處chu產chan生sheng尖jian峰feng,達da到dao243樓的的幅頻特性的加阻尼後的效果。有人說前麵一個C1電容可以省去,這個說法不對的,我們前麵已講過,每加一個儲能元件 L 或 C,濾波器的階數並升高一階,對信號的衰減可以增加20dB/十倍頻程,pi 濾波器是三級濾波器,把C1拿掉後變成了二階,濾波效果會打折扣。

一個實例:

這是一個正激電源,請特別注意,輸入LC的EMI濾(lv)波(bo)器(qi)和(he)輸(shu)出(chu)的(de)紋(wen)波(bo)濾(lv)波(bo)器(qi)都(dou)有(you)一(yi)個(ge)電(dian)容(rong)串(chuan)聯(lian)電(dian)阻(zu)的(de)阻(zu)尼(ni)電(dian)路(lu),阻(zu)尼(ni)作(zuo)用(yong)前(qian)麵(mian)已(yi)多(duo)次(ci)提(ti)及(ji)。特(te)別(bie)注(zhu)意(yi)輸(shu)出(chu)端(duan)的(de)阻(zu)尼(ni)電(dian)路(lu),曾(zeng)經(jing)見(jian)過(guo)帖(tie)子(zi)問(wen)為(wei)何(he)在(zai)電(dian)解(jie)電(dian)容(rong)上(shang)串(chuan)聯(lian)一(yi)個(ge)電(dian)阻(zu),但(dan)似(si)乎(hu)都(dou)沒(mei)有(you)人(ren)知(zhi)道(dao)為(wei)什(shen)麼(me),請(qing)記(ji)住(zhu)這(zhe)是(shi)為(wei)了(le)改(gai)善(shan)紋(wen)波(bo)性(xing)能(neng)加(jia)上(shang)的(de)阻(zu)尼(ni)電(dian)路(lu),有(you)了(le)這(zhe)個(ge)阻(zu)尼(ni)電(dian)路(lu)課(ke)大(da)大(da)改(gai)善(shan)紋(wen)波(bo)性(xing)能(neng)。道(dao)理(li)同(tong)EMI濾波器的阻尼相同。
15 共模電流會經過負載嗎?
答案是否定的,共模噪聲電流對用戶的負載其實沒什麼影響,因為共模電流並不流過負載,如圖所示,由於共模電壓V3 = 0, 因此負載上並沒有共模電流流過,共模幹擾信號隻會以各種方式到 “地”。

16 濾波器的Q值
Q = Quality,Q 是取 Quality 的第一個字母,是一個無量綱的值,濾波器的 Q 值是一個相當重要的值,理解及取適當的 Q 值 相當重要。
濾波器的 Q 值大小表明了能量在濾波器上損耗的大小,並且對濾波器的帶寬有很大的影響。Q 值越大能量損耗越小,這與電感的 Q 值一樣道理一樣,Q 值越大則能量損耗越小於是振蕩衰減越慢,這與反激原邊RCD吸收電路一樣,能量的損耗主要依賴電阻。
有些電路我們需要高 Q 值,比如振蕩器,Q 值越高越容易起振,比如收音機機調諧回路,Q 值越高選台時越不容易串台,這主要是 Q 值高時-3dB帶寬變狹的緣故。如下圖所示:

Q 值定義:
Q 值定義如下:
分子為存在與濾波上的能量
分母為每周期消耗的能量
或
意義如下:

Q 值得意義:
雖然是老生常談,但還是要再提一下:
Q< 1/2,,過阻尼。係統損耗很大,施加階躍脈衝後,係統沒有過衝並很快穩定下來。
Q > 1/2,欠阻尼。係統損耗很小,如果Q 率大於1/2,在階躍脈衝作用下,係統會有1次 到 2次的振蕩,隨 Q 值得增大,係統的振蕩次數會越來越多,理論上如果 Q 值無窮大,則係統將永遠在振蕩。
Q = 1/2,臨界阻尼。係統沒有過衝,在階躍脈衝作用下,會很快趨於穩定。
關鍵的問題是 Q 取多大為好?
答案是 Q = 5-10
答案是引用以下資料(在文章的結尾),文章不錯,對於設計LC濾波器及pi濾波器有參考價值,值得一讀。LC Resonant Circuits.
17 分清紋波和噪聲
常有人描述問題時把紋波和噪聲混為一談。紋波是低頻的,噪聲是疊加在紋波的幹擾信號。如圖:

特別推薦
- 噪聲中提取真值!瑞盟科技推出MSA2240電流檢測芯片賦能多元高端測量場景
- 10MHz高頻運行!氮矽科技發布集成驅動GaN芯片,助力電源能效再攀新高
- 失真度僅0.002%!力芯微推出超低內阻、超低失真4PST模擬開關
- 一“芯”雙電!聖邦微電子發布雙輸出電源芯片,簡化AFE與音頻設計
- 一機適配萬端:金升陽推出1200W可編程電源,賦能高端裝備製造
技術文章更多>>
- 算力爆發遇上電源革新,大聯大世平集團攜手晶豐明源線上研討會解鎖應用落地
- 築基AI4S:摩爾線程全功能GPU加速中國生命科學自主生態
- 一秒檢測,成本降至萬分之一,光引科技把幾十萬的台式光譜儀“搬”到了手腕上
- AI服務器電源機櫃Power Rack HVDC MW級測試方案
- 突破工藝邊界,奎芯科技LPDDR5X IP矽驗證通過,速率達9600Mbps
技術白皮書下載更多>>
- 車規與基於V2X的車輛協同主動避撞技術展望
- 數字隔離助力新能源汽車安全隔離的新挑戰
- 汽車模塊拋負載的解決方案
- 車用連接器的安全創新應用
- Melexis Actuators Business Unit
- Position / Current Sensors - Triaxis Hall
熱門搜索



