電阻、電感、電容的交流特性詳解
發布時間:2018-09-17 責任編輯:xueqi
【導讀】交流電有以下性質:大小和方向均做周期性變化,平均值為零;有三要素:幅值、角頻率、初相位;描述交流電的方式有瞬時值表示法、波形圖、有效值、矢量法;不同的交流電之間可能同相、反相、正交,或者相差某個角度等。電阻、電感、電容的差別之處在以下6個方麵,我們逐一進行講解,對比。
我們已經知道交流電有以下性質:
1.大小和方向均做周期性變化,平均值為零;有三要素:幅值、角頻率、初相位;
2.描述交流電的方式有瞬時值表示法、波形圖、有效值、矢量法;
3.不同的交流電之間可能同相、反相、正交,或者相差某個角度;
4.交流電通過電阻、電感、電容以及它們的組合電路,所表現出來的性質不同,主要反映在相位、阻抗、功率上;
以上四點和直流電均不同,因此交流電在計算上有自己的公式、方法、性質。
好了,回顧了上述問題之後就可以進行以下學習了;電阻、電感、電容的差別之處在以下6個方麵,我們逐一進行講解,對比。
一. 電阻
1.瞬時值關係式:u=RI,也就是通過電阻的電壓等於通過的電流與電阻的乘積,注意這個公式裏麵的u、i均是小寫;這個公式中實際使用當中很少用到,它反映的是電壓和電流的瞬時值關係;
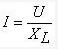
2.有效值關係:dianzudengyudianyayudianliudebizhi,zhuyizhelidedianyahedianliujunshiyouxiaozhi,zhegeshifeichangshiyongdegongshi,womenyinggaizhangwo,tahezhiliudianludejisuanfangshishiyiyangde;
3.阻抗:電阻的阻抗就是電阻,怎麼聽起來這麼別扭呢?我們前麵講過,阻抗包括電阻、感抗、容抗,是針對不同的電抗元件而言的,這是交流電特有的;
4.矢量圖,從圖上可以看出,加在電阻上的電壓和電流是同相關係;

5.功率,等於電壓與電流的積,或者電流的平方與電阻的積,P=UI,單位瓦特(W),這個功率叫有功功率,就是實實在在的消耗了電能的功率,這是電阻特有的,它就是一個耗能元件;
6.功率因數:我們知道功率因數就是電壓和電流相位差的餘弦,由於加在電阻上的電壓和電流同相,即相位差為零,那麼其功率因數就是cosφ=1,這是最大值;
二. 電感L
1.瞬時值關係
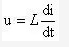
也就是加在交流電上的電壓與電流的變化率成正比,注意和電阻的瞬時值一樣u、i均是小寫;這個公式有價值,應記住;另外是與變化率成正比,不是變化量也不是固定值,這與電阻不同;
2.有效值關係:jiazaidianganshangdedianliuyudianyachengzhengbi,dengyugankang,zhuyidianyadianliujunshiyouxiaozhi,zhegeshifeichangshiyongdegongshi,womenyinggaizhangwo,tahedianzuzaixingshishangyizhi;
3.阻抗:電感對電流有阻礙作用,其值的大小用感抗表示XL=2πfL,f交流電的頻率,L電感;從該公式可以看出,交流電頻率越大,電感對其感抗越大,這就是交流電的通直隔交作用,用它的這個功能可以進行濾波;
4.矢量圖:從圖上可以看出,加在電感上的電壓超前於電流90°

5.功率,有功功率P=0,也就是電感的有功功率為零,它不是耗能元件,它是儲能元件,其儲能能力用無功功率表示QL=UI,等於電壓與電流的積,或者電流的平方與感抗的積,,單位乏爾(var),這是其重要特點;
6.功率因數:由於加在電感上的電壓超前於電流90°,也就是二者的相位差90°,那麼cosφ=0;
三. 電容C
1.瞬時值關係

也就是通過電容的電流與其兩端的電壓的變化率成正比,注意和電阻的瞬時值一樣u、i均是小寫;這個公式有價值,應記住;
2.有效值關係:加在電容上的電流與電壓成正比,等於容抗,注意這裏的電壓、電流均是有效值,這個是非常實用的公式,我們應該掌握,它和電阻、感抗的計算式在形式上一致;

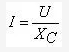
3.阻抗,電容和電阻、電感一樣,也對電流有阻礙作用,其值的大小用容抗表示,f交流電的頻率,C電容,通過這個公式我們可以看出,交流電的頻率越大,容抗越小,直流電頻率為零,容抗無限大,這就是電容的隔直通交作用。
4.矢量圖,從圖上可以看出,加在電容上的電壓滯後於電流90°

5.功率,P=0,也就是電容和電感的有功功率均為零,它也不是耗能元件,它和電感一樣是儲能元件,其儲能能力用無功功率表示QL=UI,等於電壓與電流的積,或者電流的平方與容抗的積,單位也是乏爾(var)。
6.功率因數,由於加在電容上的電壓超前於電流90°,也就是二者的相位差90°,那麼cosφ=0;
通過以上的分析,我們看出交流電通過電阻、電感、電(dian)容(rong)所(suo)表(biao)現(xian)出(chu)來(lai)的(de)性(xing)質(zhi)大(da)不(bu)相(xiang)同(tong),正(zheng)是(shi)這(zhe)種(zhong)差(cha)異(yi),使(shi)得(de)它(ta)們(men)的(de)組(zu)合(he)性(xing)質(zhi)多(duo)樣(yang)化(hua),表(biao)現(xian)出(chu)了(le)豐(feng)富(fu)多(duo)彩(cai)的(de)性(xing)質(zhi),在(zai)電(dian)子(zi)電(dian)路(lu)中(zhong)得(de)到(dao)了(le)廣(guang)泛(fan)的(de)應(ying)用(yong),比(bi)如(ru)選(xuan)頻(pin)、移相等。
特別推薦
- 噪聲中提取真值!瑞盟科技推出MSA2240電流檢測芯片賦能多元高端測量場景
- 10MHz高頻運行!氮矽科技發布集成驅動GaN芯片,助力電源能效再攀新高
- 失真度僅0.002%!力芯微推出超低內阻、超低失真4PST模擬開關
- 一“芯”雙電!聖邦微電子發布雙輸出電源芯片,簡化AFE與音頻設計
- 一機適配萬端:金升陽推出1200W可編程電源,賦能高端裝備製造
技術文章更多>>
- 一秒檢測,成本降至萬分之一,光引科技把幾十萬的台式光譜儀“搬”到了手腕上
- AI服務器電源機櫃Power Rack HVDC MW級測試方案
- 突破工藝邊界,奎芯科技LPDDR5X IP矽驗證通過,速率達9600Mbps
- 通過直接、準確、自動測量超低範圍的氯殘留來推動反滲透膜保護
- 從技術研發到規模量產:恩智浦第三代成像雷達平台,賦能下一代自動駕駛!
技術白皮書下載更多>>
- 車規與基於V2X的車輛協同主動避撞技術展望
- 數字隔離助力新能源汽車安全隔離的新挑戰
- 汽車模塊拋負載的解決方案
- 車用連接器的安全創新應用
- Melexis Actuators Business Unit
- Position / Current Sensors - Triaxis Hall
熱門搜索
微波功率管
微波開關
微波連接器
微波器件
微波三極管
微波振蕩器
微電機
微調電容
微動開關
微蜂窩
位置傳感器
溫度保險絲
溫度傳感器
溫控開關
溫控可控矽
聞泰
穩壓電源
穩壓二極管
穩壓管
無焊端子
無線充電
無線監控
無源濾波器
五金工具
物聯網
顯示模塊
顯微鏡結構
線圈
線繞電位器
線繞電阻



