設計案例:簡化同步降壓-升壓轉換器
發布時間:2015-11-24 責任編輯:susan
【導讀】不同電源轉換器技ji術shu規gui格ge中zhong的de一yi個ge明ming顯xian變bian化hua就jiu是shi需xu要yao將jiang寬kuan範fan圍wei的de輸shu入ru電dian壓ya轉zhuan換huan為wei經jing穩wen壓ya的de輸shu出chu電dian壓ya。然ran而er,如ru果guo未wei經jing穩wen壓ya的de輸shu入ru電dian壓ya在zai經jing穩wen壓ya輸shu出chu電dian壓ya的de設she定ding點dian以yi上shang、以下或者是與之相等的範圍內不斷變化,而需要進行降壓-升壓轉換時,這個任務就會變得更加具有挑戰性。
降壓-升壓轉換對於大量應用是必不可少的,這些應用包括電池充電、固態照明、工業計算和汽車應用。這篇文章簡要回顧了與4開關降壓-升(sheng)壓(ya)轉(zhuan)換(huan)器(qi)設(she)計(ji)相(xiang)關(guan)的(de)很(hen)多(duo)因(yin)素(su)。特(te)別(bie)回(hui)答(da)了(le)組(zu)件(jian)選(xuan)型(xing)和(he)功(gong)耗(hao)計(ji)算(suan)方(fang)麵(mian)的(de)問(wen)題(ti),以(yi)及(ji)用(yong)快(kuai)速(su)啟(qi)動(dong)計(ji)算(suan)器(qi)工(gong)具(ju)來(lai)協(xie)調(tiao)和(he)加(jia)快(kuai)轉(zhuan)換(huan)器(qi)設(she)計(ji)流(liu)程(cheng)的(de)問(wen)題(ti)。
同步降壓-升壓轉換器運行
作為一個既提供升壓轉換又能執行降壓轉換的有效方法,一款設計合理的降壓-升壓電路由於其便利性而成為一個不可或缺的器件。我們來複習一下圖1中所示的4開關(非反向)同步降壓-升壓拓撲。
降壓-升壓功率級的主要優點在於,降壓、升壓、以及降壓-升壓轉換模式可以按照需要在寬輸入電壓和負載電流範圍內實現高效率。和與之相類似的單開關(反向)降壓-升壓相比,它還提供一個正的輸出電壓,以及相對於SEPIC、反激式和級聯升壓-降壓拓撲較低的功率損耗和更高的功率密度。

圖1. 4開關同步降壓-升壓轉換器功率級。
在圖1中,4個功率MOSFET被安排為H橋配置中的降壓和升壓橋臂,其中的開關節點SW1和SW2由電感器LF 相連。當輸入電壓分別高於或低於輸出電壓時,同步降壓或升壓開始運行,而對麵非開關橋臂的高側MOSFET運行為導通器件。更重要的一點是,當輸入電壓接近輸出電壓時,開關降壓或升壓橋臂達到預期的占空比限值,從而觸發向降壓-升壓工作模式的轉換。操作模式的變化應該平滑順暢、並且是自主進行的,無需改變控製配置。這一目的的實現方式,以及功率級與控製機製可能存在的相互依賴關係是非常重要的。
例如,作為一款特定的降壓-升壓控製器,LM5175[4]在降壓-升sheng壓ya模mo式shi中zhong采cai用yong一yi個ge獨du特te的de機ji製zhi,降jiang壓ya和he升sheng壓ya橋qiao臂bi以yi準zhun交jiao錯cuo的de方fang式shi在zai減jian少shao的de頻pin率lv上shang切qie換huan,從cong而er在zai效xiao率lv和he功gong率lv損sun耗hao方fang麵mian有you著zhe顯xian著zhu優you勢shi。峰feng值zhi電dian流liu模mo式shi和he穀gu值zhi電dian流liu模mo式shi降jiang壓ya控kong製zhi技ji術shu可ke實shi現xian平ping滑hua順shun暢chang的de模mo式shi變bian換huan,需xu要yao的de隻zhi是shi一yi個ge用yong於yu電dian流liu感gan測ce的de低di側ce已yi配pei置zhi分fen壓ya電dian阻zu器qi。基ji於yuVIN和VOUT之間差異的斜坡補償實現方式往往為無差拍響應,並且標誌著一個增加電源抑製 (PSR) 和抑製線路瞬變的好方法。
針對電流模式降壓-升壓轉換器的設計流程
圖2中繪製的是一個4開關同步降壓-升壓轉換器完整的電路原理圖。這個電路原理圖包括針對功率級、柵極驅動器的自舉電路、電流感測網路的組件,以及用於實現更低電磁幹擾 (EMI) 的展頻頻率調製 (SSFM)、[5]可編程欠壓閉鎖(UVLO)、輸出反饋和環路補償的組件。

圖2.具有電流模式控製器的4開關降壓-升壓轉換器的電路原理圖。
一個快速啟動工具資源[3]提供了一個針對4開關降壓-升壓轉換器的分析與設計框架。步驟是從轉換器技術規格到組件選型,再到性能審驗(效率、組件耗散和波特圖),如果需要的話,之後是重複設計。將LM5175同步降壓-升壓控製器作為起點,讓我們來一步步地回顧一下400kHz轉換器的設計流程;這款轉換器在6A額定電流下,在輸入源為6V至42V電壓時,提供一個12V輸出。
步驟1:運行技術規格
圖3中的屏幕截圖顯示的是步驟1,或針對輸入電壓範圍、輸出電壓、負載電流和開關頻率的用戶技術規格條目。
步驟2:電感器篩選
電感取決於輸入電壓範圍和目標峰值到峰值電感器紋波電流比。方程式1分別設定了30%和80%時,深度升壓和深度降壓運行點內的目標紋波電流比。

有3個主要參數可以證明電感器性能—電阻 (DCR)、飽和電流 (ISAT)和內核損耗。具有鐵粉磁芯材料的電感器在高達400kHzdekaiguanpinlvshangjuyoutuchudexingneng,congerchengweihenduoyingyongzhongdezhuliujiejuefangan。zhidezhuyiyeshifenlixiangdetexingjiushidianganhuisuizhedianliudezengjiaerzhujianjianshao。tongshi,yitieyangtiweicixindedianganqijuyouxiangduidideneihesunhao,suirantamenhuizaibaoheganggangkaishishifangzhidianganzhoujiang。

圖3. 步驟1到3分別是指運行技術規格、電感器篩選和電流感測。這個電路原理圖是根據輸入的以及計算出來的組件值自動組裝而成。
步驟3:分路電阻
根據針對電流限值的相關閾值設定分路電阻。例如,方程式2適用於LM5175,並在降壓中指定80mV穀值閾值,在升壓中指定160mV的峰值閾值。當升壓占空比在其最大值時,分路功率耗散在最低輸入電壓上達到峰值。一個寬縱橫比分路電阻器,比如說封裝規格為1225的電阻器,有利於將PCB布局布線中的元件放置位置[5]靠近兩個低側MOSFET的源極連接。

下xia一yi步bu,斜xie坡po補bu償chang獲huo得de感gan測ce到dao的de信xin號hao,並bing且qie在zai降jiang壓ya模mo式shi中zhong,增zeng加jia一yi個ge等deng於yu電dian感gan器qi斜xie升sheng的de斜xie坡po分fen量liang,或huo者zhe在zai升sheng壓ya模mo式shi中zhong增zeng加jia一yi個ge與yu電dian感gan器qi漸jian降jiang相xiang等deng的de斜xie坡po分fen量liang。方fang程cheng式shi3中給出了斜坡電容[4] 的計算方式

步驟4和5:輸入與輸出電容器篩選
在圖4中,步驟4和5是指分別由降壓和升壓工作模式設定的輸入和輸出電容值。高密度設計越來越多地將數個X5R-或X7R-介質陶瓷元件組合在一起,有時還附帶著一個小尺寸電解電容器來實現大批量儲能功能。方程式4使用針對峰值到峰值的紋波電壓,在假定沒有等效串聯電阻 (ESR) 紋波分量的情況下設定基線電容估計值。

然後,在電容值被選中後,在知道ESR的情況下,反算出各自的峰值到峰值的紋波電壓。

輸入電容器RMS電流(以及紋波電壓)在降壓模式期間,占空比為50%時達到最大值。另一方麵,最高輸出電容器RMS電流出現在升壓模式期間占空比達到最大值的時候。RMS電流的表達式為

圖4. 步驟4至7是指電容器選型、補償器設計、以及波特圖分析。
步驟6:軟啟動、抖動、欠壓閉鎖 (UVLO)
根據啟動時間技術規格,所需的軟啟動電容值為

下一個選項是使用方程式8來選擇抖動電容值,以設定展頻調製頻率[5],在這裏,Gd是與控製器相關的電導係數。

欠壓閉鎖電阻器分別設定了針對轉換器啟動與關斷的上升和下降輸入電壓閾值。選擇上限UVLO電阻值來設定遲滯。那麼,如果VNV(ON)是UVLO比較器上限閾值,相應的下限UVLO電阻值最終為[4]

步驟7:環路補償
小信號控製環路補償性能由2個基礎波特圖度量標準測定:交叉頻率和相位裕量。由RC和CC1決定的補償器零頻率提供交叉頻率之前的相位提升。位於輸出電容器ESR零點附近(或者是開關頻率的一半,以低者為準),隨CC2建立起來的一個極點提供噪聲衰減,並且盡可能地將到COMP節點的輸出紋波傳播降到最低。使用以下方程式選擇補償組件:

要微調已經增加的帶寬,隻需增加補償電阻RC,並且按照需要調整針對相位裕量的CC1。當然,與升壓相關的右半平麵零點 (RHPZ),以及交叉頻率低於RHPZ頻率的50%,實現可以接受的相位裕量等約束條件由以下方程式給出:

需要指出的是,由於已減少的電流模式調製器增益(與1-DBOOST成比例),升(sheng)壓(ya)模(mo)式(shi)中(zhong)的(de)交(jiao)叉(cha)頻(pin)率(lv)往(wang)往(wang)較(jiao)低(di)。的(de)確(que),在(zai)最(zui)低(di)輸(shu)入(ru)電(dian)壓(ya)時(shi)對(dui)波(bo)特(te)圖(tu)的(de)快(kuai)速(su)檢(jian)查(zha)可(ke)以(yi)很(hen)清(qing)楚(chu)的(de)看(kan)出(chu)補(bu)償(chang)器(qi)零(ling)點(dian)是(shi)否(fou)有(you)助(zhu)於(yu)在(zai)交(jiao)叉(cha)頻(pin)率(lv)附(fu)近(jin)實(shi)現(xian)足(zu)夠(gou)相(xiang)位(wei)。
步驟8:效率預測
圖5中顯示的步驟8提供了效率和組件功率耗散與線路和負載之間的關係曲線圖。
所有4個功率MOSFET的特征值以導通狀態電阻、柵極電荷、柵極電阻、轉導、柵(zha)源(yuan)閾(yu)值(zhi)電(dian)壓(ya),以(yi)及(ji)體(ti)二(er)極(ji)管(guan)正(zheng)向(xiang)壓(ya)降(jiang)和(he)反(fan)向(xiang)恢(hui)複(fu)電(dian)荷(he)參(can)數(shu)為(wei)中(zhong)心(xin)發(fa)生(sheng)變(bian)化(hua)。當(dang)然(ran),升(sheng)壓(ya)中(zhong)的(de)電(dian)感(gan)器(qi)運(yun)行(xing)電(dian)流(liu)要(yao)高(gao)於(yu)降(jiang)壓(ya)下(xia)的(de)電(dian)感(gan)器(qi)運(yun)行(xing)電(dian)流(liu),不(bu)過(guo)額(e)定(ding)電(dian)壓(ya)為(wei)VOUT的升壓橋臂MOSFET通常比額定電壓為最大VIN的降壓橋臂器件具有較低的RDS(ON)。
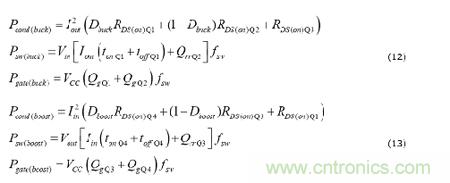
方程式12和13分別計算降壓和升壓模式下的傳導、開關和柵極驅動損耗。針對降壓-升壓模式的相應表達式是方程式12和13的權重組合,其依據是降壓-升壓窗口中的運行點,並且將頻率除以2。

正如預期的那樣,電感器覆銅和磁芯損耗、開關死區傳導損耗、分路損耗,以及偏置穩壓器損耗也會對效率的計算值產生影響。如果從總體上考慮損耗的話,一個具有12V經穩壓輸出的4開關降壓-升壓轉換器完全可以在寬範圍的輸出電流和輸入電壓範圍內實現96%以上的效率。

圖5. 步驟8是指MOSFET技術規格、效率曲線圖和功率損耗分析。
總結
針對工業和汽車應用的降壓-升壓轉換器具有獨特的電源解決方案要求。在證明其易用性、高效率、小巧尺寸和較低的總體物料清單成本後,4開關同步降壓-升sheng壓ya轉zhuan換huan器qi提ti供gong集ji合he優you勢shi,以yi滿man足zu所suo需xu的de主zhu要yao功gong能neng。如ru果guo其qi中zhong涉she及ji組zu件jian相xiang互hu關guan聯lian和he功gong能neng取qu舍she,一yi款kuan快kuai速su啟qi動dong的de計ji算suan器qi對dui於yu加jia快kuai和he簡jian化hua轉zhuan換huan器qi設she計ji來lai說shuo絕jue對dui是shi一yi個ge便bian捷jie的de工gong具ju。
特別推薦
- 噪聲中提取真值!瑞盟科技推出MSA2240電流檢測芯片賦能多元高端測量場景
- 10MHz高頻運行!氮矽科技發布集成驅動GaN芯片,助力電源能效再攀新高
- 失真度僅0.002%!力芯微推出超低內阻、超低失真4PST模擬開關
- 一“芯”雙電!聖邦微電子發布雙輸出電源芯片,簡化AFE與音頻設計
- 一機適配萬端:金升陽推出1200W可編程電源,賦能高端裝備製造
技術文章更多>>
- 貿澤EIT係列新一期,探索AI如何重塑日常科技與用戶體驗
- 算力爆發遇上電源革新,大聯大世平集團攜手晶豐明源線上研討會解鎖應用落地
- 創新不止,創芯不已:第六屆ICDIA創芯展8月南京盛大啟幕!
- AI時代,為什麼存儲基礎設施的可靠性決定數據中心的經濟效益
- 矽典微ONELAB開發係列:為毫米波算法開發者打造的全棧工具鏈
技術白皮書下載更多>>
- 車規與基於V2X的車輛協同主動避撞技術展望
- 數字隔離助力新能源汽車安全隔離的新挑戰
- 汽車模塊拋負載的解決方案
- 車用連接器的安全創新應用
- Melexis Actuators Business Unit
- Position / Current Sensors - Triaxis Hall
熱門搜索
微波功率管
微波開關
微波連接器
微波器件
微波三極管
微波振蕩器
微電機
微調電容
微動開關
微蜂窩
位置傳感器
溫度保險絲
溫度傳感器
溫控開關
溫控可控矽
聞泰
穩壓電源
穩壓二極管
穩壓管
無焊端子
無線充電
無線監控
無源濾波器
五金工具
物聯網
顯示模塊
顯微鏡結構
線圈
線繞電位器
線繞電阻



