運放正負端之間跨接電阻作用的分析(上)【原創】
發布時間:2014-09-28 責任編輯:sherryyu
【導讀】前幾天看到一篇求助帖,問運放構成的電壓跟隨器中運放正負端之間跨接電阻作用。最初我分析了一下,認為電阻R6沒有任何作用,後來受到啟發,有了點想法,請看客指出不足和可以進一步深入分析的地方。
新人求助:請幫忙看看這個電壓跟隨器R6的作用及多大合適?
電壓跟隨器為什麼要在同相輸入端與輸出端加上電阻R6,這樣做有什麼好處麼?阻值多大怎麼確定。謝謝。

有兩個人是這樣的回答的:
1、視頻信號裏有大量的高頻信號成份,清晰度越高,信號的頻率也越高,而運放是有頻率帶寬的,高頻信號經過運放情況很複雜,再加上PCB走線的電感影響,很難用理想的模型進行分析,這個電阻應該是提升頻率響應用的,一般在幾百歐,甚至幾十歐,要靠實驗來確定的,K級應該作用很小,M級沒意義的。
2、是擴展頻率響和穩定應用的. 4樓,11樓的說法是對的。如果運放的帶寬足夠,可以不接的。
基於這兩個回答,這裏重慶大學的老師有了自己的想法。最初我分析了一下,認為電阻R6meiyourenhezuoyong,houlaishoudaoqifa,faxianyonglixiangmoxingqufenxishibuduide,yushizaijinxingfenxi,dedaodaan。yingzhenglewodiercifenxidedaodedaan。xianzaijiangfenxiguochengliechu,qingkankezhichubuzuhekeyijinyibushenrufenxidedifang。

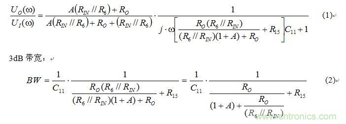
頻率響應:

其中,Ro為運放的輸出電阻,RIN為運放的輸入電阻,A為運放的增益。
若電阻R6很小,(R6//RIN)=R6,再假設運放增益A很大,運放輸出電阻RO很小,可進行化簡,如下:

可見,這就是一個低通濾波器,而且其頻率響應和R6無關。但是,我們得出這樣的結論是做了一係列的假設,實際的運放,由於其非理想,隨著頻率的升高,增益A會下降。

我們不妨假設A很小,利用(2)式,可得不加R6時,電路的帶寬為:


從上式看出,當A較小時,R6的加入確實有擴展帶寬的作用,但R6的取值不能太大。當R6取得很大時,x=R0/R6趨近於0,BW2/BW1趨近於1,也就不能擴展帶寬了。
結論:當運放本身的帶寬小於(3)式時,整個電路的帶寬受運放的限製,這時,電路加入R6應比不加R6帶寬要寬。當運放本身的帶寬大於(3)式時,電路帶寬由C11和R15決定。這種情況下,加入R6的意義不大。
特別推薦
- 噪聲中提取真值!瑞盟科技推出MSA2240電流檢測芯片賦能多元高端測量場景
- 10MHz高頻運行!氮矽科技發布集成驅動GaN芯片,助力電源能效再攀新高
- 失真度僅0.002%!力芯微推出超低內阻、超低失真4PST模擬開關
- 一“芯”雙電!聖邦微電子發布雙輸出電源芯片,簡化AFE與音頻設計
- 一機適配萬端:金升陽推出1200W可編程電源,賦能高端裝備製造
技術文章更多>>
- 築基AI4S:摩爾線程全功能GPU加速中國生命科學自主生態
- 一秒檢測,成本降至萬分之一,光引科技把幾十萬的台式光譜儀“搬”到了手腕上
- AI服務器電源機櫃Power Rack HVDC MW級測試方案
- 突破工藝邊界,奎芯科技LPDDR5X IP矽驗證通過,速率達9600Mbps
- 通過直接、準確、自動測量超低範圍的氯殘留來推動反滲透膜保護
技術白皮書下載更多>>
- 車規與基於V2X的車輛協同主動避撞技術展望
- 數字隔離助力新能源汽車安全隔離的新挑戰
- 汽車模塊拋負載的解決方案
- 車用連接器的安全創新應用
- Melexis Actuators Business Unit
- Position / Current Sensors - Triaxis Hall
熱門搜索
微波功率管
微波開關
微波連接器
微波器件
微波三極管
微波振蕩器
微電機
微調電容
微動開關
微蜂窩
位置傳感器
溫度保險絲
溫度傳感器
溫控開關
溫控可控矽
聞泰
穩壓電源
穩壓二極管
穩壓管
無焊端子
無線充電
無線監控
無源濾波器
五金工具
物聯網
顯示模塊
顯微鏡結構
線圈
線繞電位器
線繞電阻


