軟開關轉換器必須考慮的輸出電容事項
發布時間:2012-09-24 責任編輯:abbywang
【導讀】功率轉換開關頻(pin)率(lv)一(yi)直(zhi)在(zai)不(bu)斷(duan)提(ti)高(gao),以(yi)便(bian)最(zui)大(da)限(xian)度(du)地(di)提(ti)升(sheng)功(gong)率(lv)密(mi)度(du),軟(ruan)開(kai)關(guan)技(ji)術(shu)如(ru)零(ling)電(dian)壓(ya)開(kai)關(guan)成(cheng)為(wei)通(tong)用(yong)的(de)技(ji)術(shu)以(yi)進(jin)一(yi)步(bu)提(ti)高(gao)開(kai)關(guan)頻(pin)率(lv)。隨(sui)著(zhe)開(kai)關(guan)頻(pin)率(lv)的(de)增(zeng)大(da),功(gong)率(lv)MOSFET 的寄生特性不再可忽略不計,輸出電容是所有寄生成分中至關重要的寄生參數。
對於采用軟開關技術如零電壓開關(zero voltage switching,ZVS)拓撲的功率轉換器設計,輸出電容是所有寄生成分中至關重要的寄生參數。它決定了需要多少電感量來提供ZVS的工作條件。傳統上,許多設計人員使用粗略的假設來為公式[1-2]提供輸出電容的固定值。然而常用的等效輸出電容值在實際應用中卻沒有很大的幫助,因為它是根據漏-源電壓變化的,並且在開關管導通/關guan斷duan轉zhuan變bian期qi間jian不bu能neng提ti供gong準zhun確que的de儲chu能neng信xin息xi。在zai功gong率lv轉zhuan換huan器qi工gong作zuo電dian壓ya下xia,根gen據ju輸shu出chu電dian容rong存cun儲chu能neng量liang新xin定ding義yi的de等deng效xiao輸shu出chu電dian容rong,能neng夠gou實shi現xian更geng優you化hua的de功gong率lv轉zhuan換huan器qi設she計ji。
ZVS轉換器中的輸出電容
zairuankaiguantuopuzhong,tongguoshiyongdianganzhongdechunenglaidadaolingdianyadaotong,loudianganhechuanliandianganhuobianyaqizhongdecihuadiangan,tongguoxiezhenfangshishikaiguanguanzhongdeshuchudianrongfangdian。yinci,dianganbixujingquesheji,yifangzhiyingkaiguanyinqiewaidegonglvsunhao。xiamiandegongshishilingdianyakaiguandejibenyaoqiu。
其中,Ceq是開關等效輸出電容,CTR是變壓器寄生電容
(2)
其中,CS是開關等效輸出電容
公式(1)用於移相全橋拓撲[2],公式(2)用於LLC諧振半橋拓撲[3]。在兩個公式中輸出電容都起著重要作用。如果在公式(1)中假設輸出電容過 大,公式會給出較大的電感。然後,此大電感將降低初級di/dt,並且減低功率轉換器的有效占空比。相反,太小的輸出電容將導致較小的電感和有害的硬開 關。另外,公式(2)中zhong太tai大da的de輸shu出chu電dian容rong將jiang限xian製zhi磁ci化hua電dian感gan並bing引yin起qi循xun環huan電dian流liu的de增zeng加jia。因yin此ci,對dui於yu優you化hua軟ruan開kai關guan轉zhuan換huan器qi設she計ji,獲huo取qu準zhun確que的de開kai關guan輸shu出chu電dian容rong值zhi是shi非fei常chang關guan鍵jian的de。通tong 常,針對等效輸出電容的常見假設傾向於使用較大的數值。所以,根據公式(1)或(2)選擇電感後,設計人員必須調整其功率轉換器參數,並且要經過數次反複 設計,因為每個參數都是相互關聯的,例如,匝數比、漏電感、以及有效占空比。而且,功率MOSFET的輸出電容是根據漏-源電壓變化的。在功率轉換器工作 電壓下,根據儲能來等效出的輸出電容值是這些應用的最佳替代選擇。
從輸出電容中獲得儲能
在電壓-電荷關係圖上,電容呈斜直線,電容中的儲能為該直線下包含的區域。雖然功率MOSFET的輸出電容卻是非線性的,並且依據漏源電壓的變化而變化, 但是,輸出電容中的儲能仍為非線性電容線下所包含的區域。因此,如果我們能夠找出一條直線,由該直線給出的區域與圖1中顯示的變化的輸出電容曲線所包含的 區域相同,則直線的斜率恰好是產生相同的儲能的等效輸出電容。

圖1. 等效輸出電容的概念
對於某些老式平麵技術MOSFET,設計人員可能會用曲線擬合來找出等效輸出電容,其基於通常指定的25V漏源電壓下的數據表中的輸出電容值。
(3)
於是,儲能可由簡單積分公式獲得。
(4)
最後,有效輸出電容即為
(5)
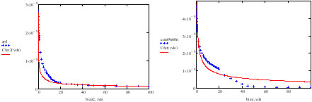
圖2顯示了輸出電容的測量值以及由公式(3)得出的擬合曲線。相對於圖2(a)的老式技術MOSFET,它的效果不錯。然而,對於使用新技術如超級結技 術,輸出電容有更多非線性特性的MOSFET,則簡單的指數曲線擬合有時不夠好。圖2(b)顯示了最新技術MOSFET的輸出電容測量值以及用公式(3) 得出的擬合曲線。對於等效輸出電容值,兩者之間在高電壓區的間隙會導致巨大的差異,因為在積分公式中電壓對於電容是相乘的。圖2(b)中的估計將產生大得 多的等效電容,這會誤導轉換器的初始設計。

圖2. 輸出電容估值,(a)老式MOSFET,(b)新MOSFET
如果輸出電容值依據漏源電壓而變化,輸出電容中的儲能可以使用公式(4)來求得。雖然電容曲線顯示在數據表中,但從圖表中精確地讀出電容值並不容易。因 此,依據漏源電壓,輸出電容中的儲能由最新功率MOSFET數據表中的圖表給出。通過圖3顯示的曲線,使用公式(5),可以得到在期望的直流(DC)總線 電壓下的等效輸出電容。

圖3. 輸出電容中的儲能
[member]
[page]
關於輸出電容的常見問題
在許多情況下,開關電源設計人員會有關於MOSFET電容溫度係數的疑問,因為功率MOSFET通常工作在高溫下。總之,MOSFET電容值對於溫度可以 被認為是恒定的。MOSFET電容由耗竭長度(depletion length)、摻雜濃度、溝道寬度和矽介電常數所決定,但所有這些因素不會由溫度而產生較大的變化。而且MOSFET開關特性如開關損耗或開/關轉換速 度也不會因溫度而產生較大的變化,因為MOSFET是多數載流子器件,因而開關特性主要是由其電容來決定。當溫度上升時,等效串聯柵極電阻會有少量增加。 這會使MOSFET在高溫下的開關速度少許降低。圖4顯示了依據溫度變化的電容。溫度變化超過150度時,電容值的變化也不超過1%。

圖4. MOSFET電容對比溫度的變化
另一個設計人員感興趣的地方是MOSFET電容的測試條件。大多數情況下,輸出電容在1MHz頻率和Vgs為0V的條件下測得。事實上存在著柵極對漏極電容、zhajiduiyuanjidianrong,yijiloujiduiyuanjidianrong。shijianzhong,danduceliangmeiyizhongdianrongshibukenengde。yinci,zhajiduiloujidianrongheloujiduiyuanjidianrongzongchengweishuchudianrong,tongguobinglianlianggedianronglaiceliang。weishitamenbinglian,zhajiheyuanjiduanjiezaiyiqi,jiVgs=0V。 在開關應用中,當MOSFET在柵極加偏置電壓而導通時,輸出電容通過MOSFET內部溝道而短路。僅當MOSFET關斷時,輸出電容值才值得考慮。關於 頻率,如圖5所示,在低壓下輸出電容在低頻下增加少許。低頻時,因為測試設備的限製,有時無法測量低漏源電壓下的電容。圖5中,當漏源電壓小於4V 時,100kHz處(chu)的(de)電(dian)容(rong)是(shi)無(wu)法(fa)測(ce)得(de)的(de)。雖(sui)然(ran)輸(shu)出(chu)電(dian)容(rong)僅(jin)有(you)微(wei)小(xiao)改(gai)變(bian),但(dan)等(deng)效(xiao)輸(shu)出(chu)電(dian)容(rong)幾(ji)乎(hu)是(shi)恒(heng)定(ding)的(de),因(yin)為(wei)低(di)電(dian)壓(ya)下(xia)輸(shu)出(chu)電(dian)容(rong)的(de)微(wei)小(xiao)改(gai)變(bian)不(bu)會(hui)對(dui)儲(chu)能(neng)產(chan)生(sheng)如(ru)圖(tu)3顯 示那麼大影響。

圖5. MOSFET電容對比頻率
結論
輸(shu)出(chu)電(dian)容(rong)是(shi)軟(ruan)開(kai)關(guan)轉(zhuan)換(huan)器(qi)設(she)計(ji)的(de)重(zhong)要(yao)部(bu)分(fen)。必(bi)須(xu)慎(shen)重(zhong)考(kao)慮(lv)等(deng)效(xiao)電(dian)容(rong)值(zhi),而(er)不(bu)是(shi)固(gu)定(ding)漏(lou)源(yuan)電(dian)壓(ya)下(xia)的(de)單(dan)一(yi)數(shu)值(zhi),本(ben)文(wen)也(ye)提(ti)供(gong)了(le)有(you)關(guan)輸(shu)出(chu)電(dian)容(rong)測(ce)試(shi)條(tiao)件(jian)和(he)溫(wen)度(du)係(xi)數(shu)的(de)討(tao)論(lun)。
- 噪聲中提取真值!瑞盟科技推出MSA2240電流檢測芯片賦能多元高端測量場景
- 10MHz高頻運行!氮矽科技發布集成驅動GaN芯片,助力電源能效再攀新高
- 失真度僅0.002%!力芯微推出超低內阻、超低失真4PST模擬開關
- 一“芯”雙電!聖邦微電子發布雙輸出電源芯片,簡化AFE與音頻設計
- 一機適配萬端:金升陽推出1200W可編程電源,賦能高端裝備製造
- 三星上演罕見對峙:工會集會討薪,股東隔街抗議
- 摩爾線程實現DeepSeek-V4“Day-0”支持,國產GPU適配再提速
- 築牢安全防線:智能駕駛邁向規模化應用的關鍵挑戰與破局之道
- GPT-Image 2:99%文字準確率,AI生圖告別“鬼畫符”
- 機器人馬拉鬆的勝負手:藏在主板角落裏的“時鍾戰爭”
- 車規與基於V2X的車輛協同主動避撞技術展望
- 數字隔離助力新能源汽車安全隔離的新挑戰
- 汽車模塊拋負載的解決方案
- 車用連接器的安全創新應用
- Melexis Actuators Business Unit
- Position / Current Sensors - Triaxis Hall

